You are currently on the new version of our website. Access the old version .
FibersFibers
  • Editor’s Choice
  • Article
  • Open Access

4 July 2019

Electrospun Nanofiber Mats with Embedded Non-Sintered TiO2 for Dye-Sensitized Solar Cells (DSSCs)

,
,
,
,
,
,
,
,
and
1
Faculty of Engineering and Mathematics, ITES, Bielefeld University of Applied Sciences, 33619 Bielefeld, Germany
2
Ecole Nationale d’Ingénieurs de Sfax, Sfax 3038, Tunisia
3
Silesian University of Technology, Institute of Physics–Center for Science and Education, 44-100 Gliwice, Poland
4
InovisCoat GmbH, 40789 Monheim am Rhein, Germany
This article belongs to the Special Issue Functional Fibers for Next-Generation Flexible Technologies

Abstract

TiO2 is a semiconductor that is commonly used in dye-sensitized solar cells (DSSCs). However, the necessity of sintering the TiO2 layer is usually problematic due to the desired temperatures of typically 500 °C in cells that are prepared on polymeric or textile electrodes. This is why textile-based DSSCs often use metal fibers or metallic woven fabrics as front electrodes on which the TiO2 is coated. Alternatively, several research groups investigate the possibilities to reduce the necessary sintering temperatures by chemical or other pre-treatments of the TiO2. Here, we report on a simple method to avoid the sintering step by using a nanofiber mat as a matrix embedding TiO2 nanoparticles. The TiO2 layer can be dyed with natural dyes, resulting in a similar bathochromic shift of the UV/Vis spectrum, as it is known from sintered TiO2 on glass substrates, which indicates an equivalent chemical bonding. Our results indicate a new possibility for producing textile-based DSSCs with TiO2, even on textile fabrics that are not high-temperature resistant.

1. Introduction

Dye-sensitized solar cells (DSSCs) offer the possibility to harvest solar energy, based on non-toxic and inexpensive materials. They include a semiconducting layer for which TiO2 is often used as a thin film or nanostructure, partly blended with other materials to increase the DSSC efficiencies [1,2,3]. This TiO2 layer is coated with a monolayer of a dye, e.g., the well-known N712 or N719, including ruthenium complexes or natural dyes, often based on anthocyanins. Dyeing is necessary, since TiO2 has a bandgap of 3.2 eV in case of the usually applied anatase modification [4] and could thus only be excited by UV light, while the applied dye must absorb most of the visible spectrum or even in the infrared to use most of the solar photons impinging on the solar cell [5]. This means that the energy distance between the lowest unoccupied molecular orbital (LUMO) and the highest occupied molecular orbital (HOMO) is necessarily much lower than the TiO2 band gap. In addition, the LUMO energy level must be higher than the lower edge of the conduction band of TiO2 to allow for the excited dye electrons to travel through the semiconductor. Alternatively, some research groups try to reduce the band gap of TiO2 by different means [6,7] or develop other semiconductors with lower band gaps [8,9,10] for possible application in DSSCs.
However, one problem of using TiO2 is related to the sintering step that is necessary to fix the ceramic and to form a porous surface on which a large number of dye molecules can be adsorbed. This is why several research groups aim at finding low-temperature sintering processes.
Ji et al., e.g., report on adding a TiO2 gel to a TiO2 nanoparticle paste, only enabling sintering at 150 °C and resulting in an increase from 0.02% for the pure TiO2 nanoparticle paste to 2.76% with additional TiO2 gel [11]. Holliman et al. used colloidal TiO2 films to reduce the sintering temperature to 120 °C [12]. Nguyen et al. investigated surface-disordered (“blue”) TiO2 for low-temperature sintering at 120 °C [13]. Diverse strategies were investigated specifically for the application on textile fabrics [14], from low-temperature sintering [15] to temperature-resistant metal wires or carbon yarns as electrodes in a textile structure [16,17].
In a former investigation by our group, we found another possibility to completely avoid the sintering step: By dip-coating a stainless steel nonwoven with fine pores into a TiO2 solution, drying was sufficient to allow for dyeing the TiO2 in the same way as after sintering [18,19]. However, such a stainless steel nonwoven does not reveal the typical textile properties, like a soft touch or a low bending stiffness, but behaves more like a steel sheet, despite the textile production process.
This is why we report here on investigations of a common cotton fabric as an example of a macroscopic textile and a nanofiber mat with fine pores as possible matrices to embed TiO2 from an aqueous solution. Nanofiber mats can be produced by electrospinning [20,21,22], typically using water-soluble [23] or waterproof polymers [24], partly with integrated ceramics, metals, or other materials [25,26,27]. Polyacrylonitrile (PAN), lignin, and other materials are of special interest since they can be stabilized and carbonized after electrospinning, in this way creating conductive carbon nanofiber mats that can be used in a broad variety of applications [28,29,30]. Conductivity is necessary to enable the use of nanofiber mat as an electrode in a DSSC. While this property can generally be added by dip-coating a nanofiber mat in a conductive polymer [31], here the pores should be filled with TiO2, making carbon a good choice for the nanofiber matrix under examination.

2. Materials and Methods

The spinning solution for the production of nanofiber mats contained 16% PAN that was dissolved in DMSO (min. 99.9%, purchased from S3 Chemicals, Bad Oeynhausen, Germany).
Nanofiber mats were produced on a polypropylene nonwoven as substrate while using the needleless electrospinning machine “Nanospider Lab” (Elmarco Ltd., Liberec, Czech Republic). The following spinning parameters were used for the production: high voltage 70 kV, nozzle diameter 0.8 mm, carriage speed 100 mm/s, bottom electrode/substrate distance 240 mm, ground electrode/substrate distance 50 mm, temperature in the chamber 22 °C, and relative humidity in the chamber 32%. Spinning was carried out for 30 min.
Parts of the nanofiber mats were stabilized in a muffle furnace B150 (Nabertherm, Lilienthal, Germany), approaching a typical stabilization temperature of 280 °C at a heating rate of 1 K/min, followed by isothermal treatment at this temperature for 1 h.
A furnace (Carbolite Gero, Neuhausen, Germany) was used for the carbonization process to approach a temperature of 500 °C with a heating rate of 10 K/min in a nitrogen flow of 150 mL/min (STP), followed by isothermal treatment for 1 h.
For comparison, a cotton fabric (thickness 0.19 mm, areal weight 84.49 g/m2) was used.
For the TiO2 solution, 15 g TiO2 (P25 Titanium IV oxide nanopowder, 21 nm primary particle size, Sigma Aldrich, Saint Louis, MO, USA) were mixed with 125 mL distilled water and then stirred at room temperature for 15 min. Some samples (raw, stabilized, and carbonized PAN) were dip-coated into the TiO2 solution for 5 min at room temperature and then dried.
Forest fruit tea (Mayfair, Wilken Tee GmbH, Fulda, Germany) was mixed in a ratio of 2.5 g tea:30 g distilled water for the tea solution. This tea contains anthocyanins, which are known to show a bathochromic shift when binding to TiO2, making the chemical binding visible by a color change with respect to the dye solution [19]. The dye was extracted for 30 min. The TiO2-coated and TiO2-free samples were then dyed for 30 min and then dried at room temperature. Some of the samples were rinsed with water after drying to investigate the water-fastness of the dye and the TiO2.
The DSSCs were prepared from the TiO2 coated carbon nanofiber mats as front electrodes and conductive plastic films containing PEDOT:PSS and graphite as counter electrodes, with non-conductive glass plates supporting both supported. The electrodes were pressed together and fixed with adhesive tape. Two drops of iodine/triiodide electrolyte (from Man Solar, Petten, The Netherlands) were added on both sides of the electrodes and spread into the cells due to capillary forces. The efficient area of the cells was 6 cm2.
The samples were investigated by a digital microscope VHX-600D (Keyence, Neu-Isenburg, Germany), while using a nominal magnification of 200× and a scanning electron microscope (SEM) 1450VPSE (Zeiss, Oberkochen, Germany) with energy dispersive X-ray spectroscopy (EDX) for more detailed examinations of the nanofiber mat surfaces after sputtering 20 nm gold on them to avoid the charging of the samples.
The spectra of the samples were measured using a spectrophotometer sph900 (ColorLite GmbH, Katlenburg-Lindau, Germany).
Current-voltage curves of the DSSCs prepared with dyed, TiO2 dip-coated carbon nanofiber mats were measured with a Keithley 2450 sourcemeter, while the samples were illuminated with a solar simulator LS0500 with AM 1.5 G spectrum (LOT-Quantum Design GmbH, Darmstadt, Germany).

3. Results and Discussion

Firstly, the cotton fabric and the PAN nanofiber fiber mat (without TiO2) were dyed and dried at room temperature. Afterwards, half of the samples was rinsed with water and dried again. Figure 1 depicts some typical results.
Figure 1. Microscopic images of (a) cotton fabric after dyeing; (b) cotton fabric after dyeing, drying and rinsing with water; (c) polyacrylonitrile (PAN) nanofiber mat after dyeing; and, (d) PAN nanofiber mat after dyeing, drying and rinsing with water.
After dyeing, both of the fabrics show the typical reddish color of the anthocyanins in the fruit tea. Rinsing with water reduces the color, in the case of the PAN nanofiber mat completely (Figure 1d), while the cotton fabric still shows a light reddish color (Figure 1b). Former experiments with natural dyes revealed that cotton can indeed be dyed, even without mordant [32]; however, the strong reduction of the color intensity suggests that after thorough washing not much color remains. What is more important is the finding that the raw PAN nanofiber mat does not allow the dye molecules to adhere.
Next, both of the fabrics were dip-coated in TiO2, as described above, and afterwards dyed. Again, half of the samples were rinsed with water after the first drying step. Figure 2 depicts the results. The difference between the mostly reddish color of the TiO2 coated cotton with some more lilac areas and the completely lilac color of the TiO2 coated PAN nanofiber mat indicates that more TiO2 is embedded in the nanofiber mat, while the dye molecules are not chemically bound to TiO2 in case of cotton, but physically bound between the fibers [19]. Washing the fabrics in both cases leads to a slight blue-shift of the color, indicating that the physically bound (red) dye molecules are more strongly washed off than the chemically bound ones. Especially, on the PAN nanofiber mat, the bluish color indicates that TiO2 is still embedded in the fabric in spite of washing. This is in strong contrast to former experiments on conductive glass or other textile fabrics on which an un-sintered TiO2 layer could not be dyed and it was even washed off partly during dyeing [18,19].
Figure 2. Microscopic images of (a) cotton fabric with TiO2 after dyeing; (b) cotton fabric with TiO2 after dyeing, drying and rinsing with water; (c) PAN nanofiber mat with TiO2 after dyeing; and, (d) PAN nanofiber mat with TiO2 after dyeing, drying, and rinsing with water.
Parts of the PAN nanofiber mats were also stabilized and carbonized at 500 °C, and afterwards dip-coated again in TiO2 and dyed. Figure 3 depicts the results.
Figure 3. Microscopic images of (a) stabilized PAN nanofiber mat with TiO2 after dyeing; (b) carbonized PAN nanofiber mat with TiO2 after dyeing.
While the color of the dyed TiO2 on stabilized PAN (Figure 3a) is even more intense and more blueish when compared to raw PAN (Figure 2c), the TiO2 layer on the carbonized nanofiber mat (Figure 3b) does not appear to penetrate completely into the mat, but partly stayed on top of the surface, which suggests that the dip-coating process has to be further improved for carbon nanofiber mats by modifying the coating time, the velocity at which the fabric is retracted from the TiO2 solution, and the solid content in the solution, to avoid an unnecessary excess layer of TiO2.
SEM images are depicted in Figure 4 for a more detailed examination of the TiO2 layer on the nanofiber mats. On the stabilized and the carbonized PAN nanofiber mats (Figure 4c,d), a relatively even TiO2 layer is visible, which clearly covers the nanofibers of the mat. This finding is consistent with the observation of an unnecessarily thick semiconducting layer in Figure 3b. Obviously, the TiO2 layer should also be reduced on the stabilized PAN nanofiber mat, if this material will be used for any application. On the raw PAN nanofiber mat (Figure 4a), the nanofibers are clearly visible, embedding the TiO2 nanoparticles. Interestingly, the surface of the PAN/TiO2 composite looks unchanged after rinsing with water (Figure 4b), which suggests that the TiO2 is really rigidly fixed inside the nanofiber mat.
Figure 4. Scanning electron microscope (SEM) images of (a) PAN nanofiber mat with TiO2; (b) PAN nanofiber mat with TiO2 after rinsing with water; (c) stabilized PAN nanofiber mat with TiO2; and, (d) carbonized PAN nanofiber mat with TiO2. In all images, a nominal magnification of 5000× was used.
Figure 5 additionally underlines this, showing an SEM image of the surface after rinsing with water and dyeing, i.e., after two treatments with water. While the SEM image again shows a homogeneous distribution of the TiO2 nanoparticles over the nanofiber mat, the EDX map does not even depict the fiber that is visible in the SEM image, revealing that the majority of the TiO2 is stored inside the nanofiber mat.
Figure 5. Surface of PAN nanofiber mat with TiO2 after rinsing with water and dyeing. (a) SEM image; (b) energy dispersive X-ray spectroscopy (EDX) map of the element Ti, taken on the identical surface spot. The fiber visible in the SEM image cannot be identified in the EDX map.
The remission spectra of the samples depicted in Figure 1 and Figure 2 are given in Figure 6 to more quantitatively investigate the dyeing process. For the stabilized and carbonized samples, these investigations were not performed due to the changing color of the fabric itself, which is superposed on the color of the dyed TiO2 and reduces the reliability of the corresponding spectra.
Figure 6. Remission spectra of (a) cotton (CO); (b) PAN nanofiber mats with and without TiO2 after dyeing and partly washing.
In general, the minima in the remission spectra correspond to the maxima in the correlated absorption spectra. A perfectly white fabric can be expected to show a high remission near 100% over the complete wavelength range, while a completely black one shows a remission of 0%.
When comparing the cotton and PAN fabrics dyed with tea (black lines) and washed afterwards (red lines), the fabrics become significantly lighter in both cases after washing, which indicates that the dye molecules are partly (in case of cotton) or nearly completely (in case of PAN) washed out. This is clearly different for TiO2 dip-coated fabrics. For cotton (Figure 6a), the dyeing of the TiO2 coated sample (green line) leads to a slight shift of the remission minimum (absorption maximum) to larger wavelengths, as expected for the desired chemical bond. A small further shift is visible after washing this sample (blue line), indicating that the physically bound (reddish) dye molecules were washed off to a larger extent than the TiO2 with the chemically bound (blueish) dye molecules. For PAN, the absolute increase in remission is larger, showing that more dye is washed off, which fits to Figure 2 showing the significant reduction in color intensity and which can be related to washing off excess dye that cannot be stored inside the nanofiber mat.
However, more interesting is the clearly increased bathochromic shift of the spectra measured on PAN with TiO2, as compared to the spectra measured on cotton. This can also be recognized in Figure 7, which shows the wavelengths of the absorption maxima (equivalent to remission minima) of the spectra depicted in Figure 5. The grey rectangle indicates the wavelength range of the bathochromic shift, as measured in a former examination for TiO2 on conductive glass with otherwise identical materials and equipment [33].
Figure 7. Wavelengths of the absorption maxima (=remission minima) of the dye spectra. No absorption maximum occurs for PAN + Tea washed.
The raw cotton and PAN show extremal wavelengths near the values that are expected at the lower border of the grey rectangle, correlated to the spectrum of the dye solution.
In all cases, the TiO2 coating before dyeing leads to a wavelength upshift that is larger for the washed samples, since the not chemically bound dye molecules are easily washed off. On the PAN/TiO2 nanofiber mats, this bathochromic shift is even larger than measured in the previous experiment, where a TiO2 layer on conductive glass was dyed, suggesting a good chemical bonding of the dye to the TiO2 in the recent experiment.
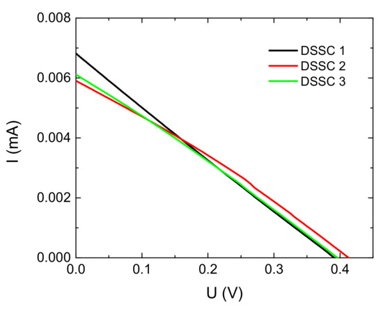
Finally, the TiO2 dip-coated and dyed carbon nanofiber mats were introduced as front electrodes into DSSCs. Figure 8 depicts the resulting current-voltage curves.
Figure 8. Current-voltage curves of dye-sensitized solar cells (DSSCs) with carbon nanofiber mats with dyed TiO2 as front electrodes.
While the open-circuit voltages around 0.4 V are typical for anthocyanin-based dyes, the short-circuit currents that are achieved here are significantly lower than for semi-textile DSSCs with nanofiber mats as counter electrodes [31] or for DSSCs with the same foil-based counter electrodes as used here and commercially available TiO2 coated conductive glass as front electrodes [33]. Typically efficiencies around 0.03% and 0.6% [34] are reached while using anthocyanin-based dyes without further optimization of the electrodes etc., while, in our tests we find short circuit current densities of JSC ~0.001 mA/cm2, open circuit voltages of VOC ~0.4 V, fill factors of ~0.25 (identical to a straight line) and thus an efficiency of only 0.0001%, which is two to three orders of magnitude lower than the typical literature values.
This can be attributed to the relatively low carbonization temperature that results in only a low conductivity of the carbon nanofiber mat. More specifically, commercial FTO glasses that are used for DSSC experiments have typical sheet resistances of 15 Ohm, while the average sheet resistance of the carbon nanofiber mats used here was approx. 800 Ohm, i.e., by a factor of more than 50 higher. This large resistance significantly reduced the possible current flow along the carbon nanofiber mat. There are two possible paths to solve this problem in the future: On the one hand, carbonization at higher temperatures should be optimized to avoid the possible breaking of the nanofiber mats during their use in DSSCs; it is well-known from the literature that the conductivity can be strongly increased by higher carbonization temperatures. On the other hand, it is possible to add a highly conductive textile on the back of the nanofiber mat to support the in-plane conductivity.
Nevertheless, for the first general proof-of-concept as to whether nanofiber mats can be used to embed TiO2 without a sintering step, tests with the more brittle nanofiber mats carbonized at higher temperatures, possibly leading to short circuits inside the DSSCs and thus requiring further research of the carbonization process, were avoided. Optimizing the interplay of electrospinning, carbonization, and dip-coating the nanofiber mats will be carried out in the near future.
It should be mentioned that, while only TiO2–as one of the most interesting semiconductors in DSSC production–was tested here, this proof-of-concept should be extended to other semiconductors or generally ceramics. Especially, ZnO, which is also used in DSSCs, or BaTiO3, which is interesting to be applied as a dielectric in capacitors, will be investigated in the near future. Other ceramics include Al2O3, which is isolating but nevertheless shows a high thermal conductivity, making a network of Al2O3 nanoparticles without binder interesting for heat conduction; WO3, which can also be used in DSSCs, similar to TiO2 and ZnO [35]; or, Nb2O5, which was also shown to work as a front electrode in DSSCs [36].
For these and other applications, it would be supportive to use a nanofiber mat as a matrix in which the ceramics are embedded, instead of applying them with a binder, which automatically means that they are separated from the neighboring nanoparticles, and thus destroys the possible percolation pathways. Thus, it is necessary to further investigate the possibility of using nanofiber mats as matrices for these and other ceramics and possibly further nanoparticles.

4. Conclusions

The embedding of TiO2 in PAN nanofiber mats was found to the enable dyeing of the semiconductor without the necessity of sintering the TiO2 layer, as it would be indispensable on glass or macroscopic textile surfaces. This allows for the use of TiO2 on fabrics that are not heat-resistant enough to allow for sintering at the typical temperature of 500 °C.
Integration into a highly-efficient textile-based DSSC requires further optimization of the dip-coating process to avoid excess TiO2 on the top of the carbon nanofiber mat surface and of the carbonization step to produce highly conductive, flexible carbon nanofiber mats are necessary.

Author Contributions

Conceptualization, T.B., L.S., and A.E.; formal analysis, L.S., A.E. and T.B.; investigation, A.M., M.T., M.K., L.S., C.G., G.G, C.C., and A.S.; writing—original draft preparation, L.S. and A.E.; writing—review and editing, all authors; visualization, C.G., L.S. and A.E.; supervision, L.S., A.E. and T.B.

Funding

This project was funded by Deutsche Bundesstiftung Umwelt DBU (German Federal Environmental Foundation), by the Erasmus+ program of the European Union, and by the SUT Rector Grant 14/990/RGJ18/0099.

Conflicts of Interest

The authors declare no conflict of interest. The funders had no role in the design of the study; in the collection, analyses, or interpretation of data; in the writing of the manuscript, or in the decision to publish the results.

References

  1. Motlak, M.; Hamza, A.M.; Hammed, M.G.; Barakat, N.A.M. Cd-doped TiO2 nanofibers as effective working electrode for the dye sensitized solar cells. Mater. Lett. 2019, 246, 206–209. [Google Scholar] [CrossRef]
  2. Desai, N.D.; Khot, K.V.; Dongale, T.; Musselman, K.P.; Bhosale, P.N. Development of dye sensitized TiO2 thin films for efficient energy harvesting. J. Alloys Comp. 2019, 790, 1001–1013. [Google Scholar] [CrossRef]
  3. Kumar, K.A.; Subalakshmi, K.; Senthilselvan, J. Effect of co-sensitization in solar exfoliated TiO2 functionalized rGO photoanode for dye-sensitized solar cell applications. Mater. Sci. Semicond. Process. 2019, 96, 104–115. [Google Scholar] [CrossRef]
  4. Tang, H.; Berger, H.; Schmid, P.E.; Lévy, F. Photoluminescence in TiO2 anatase single crystals. Solid State Commun. 1993, 87, 847–850. [Google Scholar] [CrossRef]
  5. Jauhari, H.; Grover, R.; Nanda, O.; Saxena, K. Development of quasi solid state dye sensitized solar cells. Adv. Mater. Proc. 2017, 2, 388–392. [Google Scholar] [CrossRef]
  6. Asahi, R.; Morikawa, T.; Ohwaki, T.; Aoki, K.; Taga, Y. Visible-light photocatalysis in nitrogen-doped titanium oxides. Science 2001, 293, 269–271. [Google Scholar] [CrossRef] [PubMed]
  7. Khan, M.M.; Ansari, S.A.; Pradhan, D.; Ansari, M.O.; Han, D.H.; Lee, J.; Cho, M.H. Band gap engineered TiO2 nanoparticles for visible light induced photoelectrochemical and photocatalytic studies. J. Mater. Chem. A 2014, 2, 637–644. [Google Scholar] [CrossRef]
  8. Ansari, S.A.; Cho, M.H. Growth of three-dimensional flower-like SnS2 on g-C3N4 sheets as an efficient visible-light photocatalyst, photoelectrode, and electrochemical supercapacitance material. Sust. Energy Fuels 2017, 1, 510–519. [Google Scholar] [CrossRef]
  9. Ansari, S.A.; Cho, M.H. Simple and Large Scale Construction of MoS2-g-C3N4 Heterostructures Using Mechanochemistry for High Performance Electrochemical Supercapacitor and Visible Light Photocatalytic Applications. Sci. Rep. 2017, 7, 43055. [Google Scholar] [CrossRef]
  10. Ansari, M.Z.; Ansari, S.A.; Parveen, N.; Cho, M.H.; Song, T. Lithium ion storage ability, supercapacitor electrode performance, and photocatalytic performance of tungsten disulfide nanosheets. New J. Chem. 2018, 42, 5859–5867. [Google Scholar] [CrossRef]
  11. Ji, S.H.; Park, H.; Kim, D.; Han, D.H.; Yun, H.W.; Kim, W.B. Flexible Dye-sensitized Solar Cell Using Titanium Gel at Low Temperature. Korean J. Mater. Res. 2019, 29, 183–188. [Google Scholar] [CrossRef]
  12. Holliman, P.J.; Connell, A.; Davies, M.; Carnie, M.; Bryant, D.; Jones, E.W. Low temperature sintering of aqueous TiO2 colloids for flexible, co-sensitized dye-sensitized solar cells. Mater. Lett. 2019, 236, 289–291. [Google Scholar] [CrossRef]
  13. Nguyen, H.H.; Gyawali, G.; Kim, T.H.; Bin Humam, S.; Lee, S.W. Blue TiO2 polymorph: An efficient material for dye-sensitized solar cells fabricated using a low-temperature sintering process. Prog. Nat. Sci. Mater. Inter. 2018, 28, 548–553. [Google Scholar] [CrossRef]
  14. Ehrmann, A.; Blachowicz, T. Recent coating materials for textile-based solar cells. AIMS Mater. Sci. 2019, 6, 234–251. [Google Scholar] [CrossRef]
  15. Liu, J.; Li, Y.; Arumugam, S.; Tudor, J.; Beeby, S. Investigation of Low Temperature Processed Titanium Dioxide (TiO2) Films for Printed Dye Sensitized Solar Cells (DSSCs) for Large Area Flexible Applications. Mater. Today Proc. 2018, 5, 13846–13854. [Google Scholar] [CrossRef]
  16. Yun, M.J.; Cha, S.I.; Seo, S.H.; Kim, H.S.; Lee, D.Y. Insertion of Dye-Sensitized Solar Cells in Textiles using a Conventional Weaving Process. Sci. Rep. 2015, 5, 11022. [Google Scholar] [CrossRef]
  17. Yun, M.J.; Cha, S.I.; Seo, S.H.; Lee, D.Y. Highly Flexible Dye-sensitized Solar Cells Produced by Sewing Textile Electrodes on Cloth. Sci. Rep. 2014, 4, 5322. [Google Scholar] [CrossRef]
  18. Herrmann, A.; Fiedler, J.; Ehrmann, A.; Grethe, T.; Schwarz-Pfeiffer, A.; Blachowicz, T. Examination of the sintering process dependent micro- and nanostructure of TiO2 on textile substrates. Proc. SPIE 2016, 9898, 98980S. [Google Scholar]
  19. Juhász Junger, I.; Homburg, S.V.; Grethe, T.; Herrmann, A.; Fiedler, J.; Schwarz-Pfeiffer, A.; Blachowicz, T.; Ehrmann, A. Examination of the sintering process dependent properties of TiO2 on glass and textile substrates. J. Phot. Energy 2017, 7, 015001. [Google Scholar] [CrossRef]
  20. Greiner, A.; Wendorff, J.H. Electrospinning: A fascinating method for the preparation of ultrathin fibers. Angew. Chem. Int. Ed. 2007, 46, 5670–5703. [Google Scholar] [CrossRef]
  21. Yalcinkaya, F. A review on advanced nanofiber technology for membrane distillation. J. Eng. Fiber. Fabr. 2019, 14, 1558925018824901. [Google Scholar] [CrossRef]
  22. Mamun, A. Review of Possible Applications of Nanofibrous Mats for Wound Dressings. Tekstilec 2019, 62, 89–100. [Google Scholar] [CrossRef]
  23. Seon-Lutz, M.; Couffin, A.C.; Vignoud, S.; Schlatter, G.; Hebraud, A. Electrospinning in water and in-situ crosslinking of hyaluronic acid/cyclodextrin nanofibers: Towards wound dressing with controlled drug release. Carbohydr. Polym. 2019, 207, 276–287. [Google Scholar] [CrossRef] [PubMed]
  24. Grothe, T.; Wehlage, D.; Böhm, T.; Remche, A.; Ehrmann, A. Needleless Electrospinning of PAN Nanofibre Mats. Tekstilec 2017, 60, 290–295. [Google Scholar] [CrossRef]
  25. Banitaba, S.N.; Semnani, D.; Rezaei, B.; Ensafi, A.A. Evaluating the electrochemical properties of PEO-based nanofibrous electrolytes incorporated with TiO2 nanofiller applicable in lithium-ion batteries. Polym. Adv. Technol. 2019, 30, 1234–1242. [Google Scholar] [CrossRef]
  26. Döpke, C.; Grothe, T.; Steblinski, P.; Klöcker, M.; Sabantina, L.; Kosmalska, D.; Blachowicz, T.; Ehrmann, A. Magnetic nanofiber mats for data storage and transfer. Nanomaterials 2019, 9, 92. [Google Scholar] [CrossRef] [PubMed]
  27. Andre, R.S.; Mercante, L.A.; Facure, M.H.M.; Mattoso, L.H.C.; Correa, D.S. Enhanced and selective ammonia detection using In2O3/reduced graphene oxide hybrid nanofibers. Appl. Surf. Sci. 2019, 473, 133–140. [Google Scholar] [CrossRef]
  28. García-Mateos, F.J.; Ruiz-Rosas, R.; Rosas, J.J.; Rodríguez-Mirasol, J.; Cordero, T. Controlling the Composition, Morphology, Porosity, and Surface Chemistry of Lignin-Based Electrospun Carbon Materials. Front. Mater. 2019, 6, 114. [Google Scholar] [CrossRef]
  29. Heo, Y.J.; Lee, H.I.; Lee, J.W.; Park, M.; Rhee, K.Y.; Park, S.J. Optimization of the pore structure of PAN-based carbon fibers for enhanced supercapacitor performances via electrospinning. Comp. Part B Eng. 2019, 161, 10–17. [Google Scholar] [CrossRef]
  30. Sabantina, L.; Rodriguez-Cano, M.A.; Klöcker, M.; Garcia-Mateos, F.J.; Ternero-Hidalgo, J.J.; Mamun, A.; Beermann, F.; Schwakenberg, M.; Voigt, A.L.; Rodriguez-Mirasol, J.; et al. Fixing PAN Nanofiber Mats during Stabilization for Carbonization and Creating Novel Metal/Carbon Composites. Polymers 2018, 10, 735. [Google Scholar] [CrossRef]
  31. Juhász Junger, I.; Wehlage, D.; Böttjer, R.; Grothe, T.; Juhász, L.; Grassmann, C.; Blachowicz, T.; Ehrmann, A. Dye-sensitized solar cells with electrospun nanofiber mat-based counter electrodes. Materials 2018, 11, 1604. [Google Scholar] [CrossRef]
  32. Fröse, A.; Schmidtke, K.; Sukmann, T.; Juhász Junger, I.; Ehrmann, A. Application of natural dyes on diverse textile materials. Optik 2019, 181, 215–219. [Google Scholar] [CrossRef]
  33. Kohn, S.; Großerhode, C.; Storck, J.L.; Grötsch, G.; Cornelißen, C.; Streitenberger, A.; Grassmann, C.; Schwarz-Pfeiffer, A.; Ehrmann, A. Commercially available teas as possible dyes for dye-sensitized solar cells. Optik 2019, 185, 178–182. [Google Scholar] [CrossRef]
  34. Ehrmann, A.; Blachowicz, T. Comment on ‘Dye-sensitized solar cells using Aloe Vera and Cladode of Cactus extracts as natural sensitizers’ [Chem. Phys. Lett. 679 (2017) 97–101]. Chem. Phys. Lett. 2019, 714, 227–229. [Google Scholar] [CrossRef]
  35. Zheng, H.D.; Tachibana, Y.; Kalantar-zadeh, K. Dye-Sensitized Solar Cells Based on WO3. Langmuir 2010, 26, 19148–19152. [Google Scholar] [CrossRef]
  36. Sayama, K.; Sugihara, H.; Arakawa, H. Photoelectrochemical Properties of a Porous Nb2O5 Electrode Sensitized by a Ruthenium Dye. Chem. Mater. 1998, 10, 3825–3832. [Google Scholar] [CrossRef]

Article Metrics

Citations

Article Access Statistics

Multiple requests from the same IP address are counted as one view.