Luminescent Properties of Oxazine 170 Perchlorate Doped PMMA Fiber
Abstract
:1. Introduction
1.1. Organic Dyes Doping
1.2. Organometallic Lanthanide Complexes
1.3. Lanthanide Ions-Doped Inorganic Nanoparticles
1.4. Oxazine 170 Perchlorate Doped PMMA
2. Materials and Methods
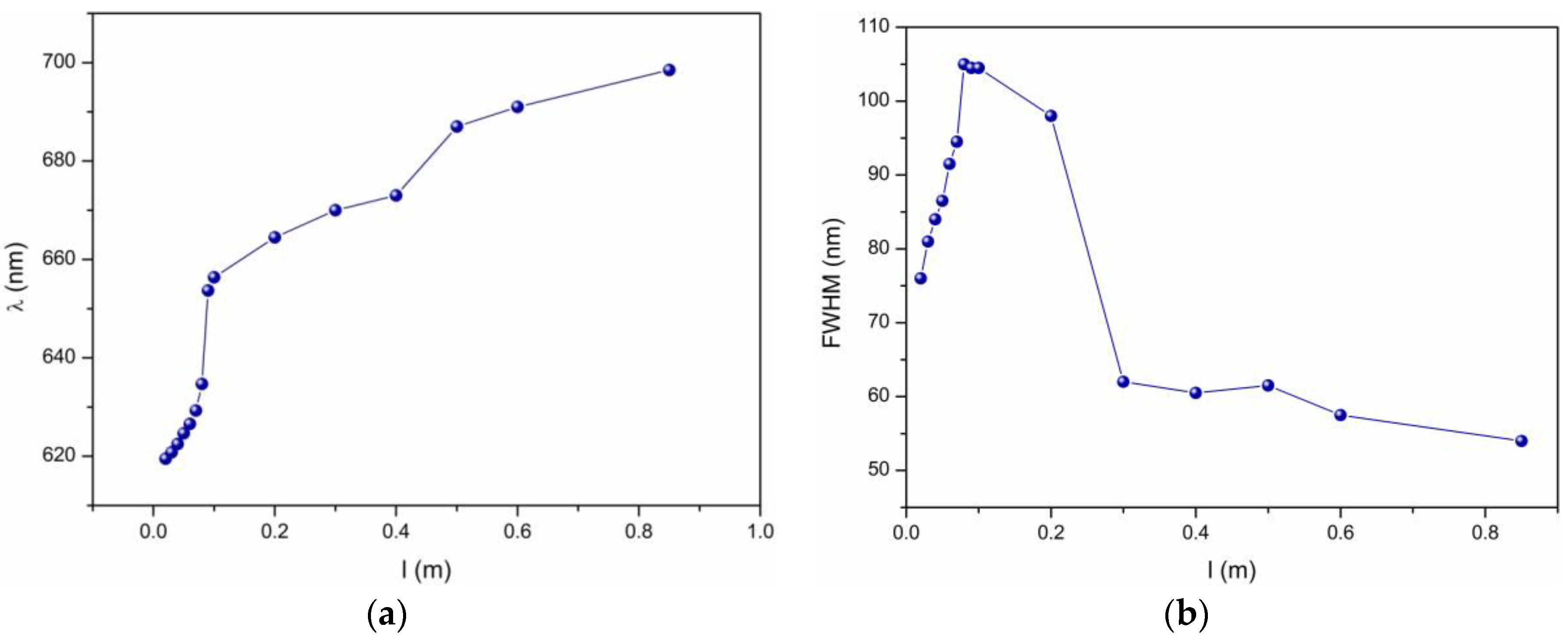
3. Results
4. Conclusions
Acknowledgments
Conflicts of Interest
References
- Williams, G.; Backhouse, C.; Aziz, H. Integration of organic light emitting diodes and organic photodetectors for lab-on-a-chip bio-detection systems. Electronics 2014, 3, 43–75. [Google Scholar] [CrossRef]
- Zardareh, S.Z.; Boroumand, F.A. Degradation in organic light emitting diodes. World Acad. Sci. Eng. Technol. 2009, 50, 274–277. [Google Scholar]
- Kwak, K.; Cho, K.; Kim, S. Analysis of thermal degradation of organic light emitting diodes with infrared imaging and impedance spectroscopy. Opt. Express 2013, 21, 29558–29566. [Google Scholar] [CrossRef] [PubMed]
- Zissis, G.; Bertoldi, P. 2014 Status report on organic light emitting diodes (OLED). Eur. Comm. Jt. Res. Cent. 2014. [Google Scholar] [CrossRef]
- Peng, G.-D.; Ji, N.P.; Wang, T. Development of special polymer optical fibres and devices. Proc. SPIE 2004, 5595, 138–152. [Google Scholar]
- Zubia, J. Plastic optical fibers: An introduction to their technological processes and applications. Opt. Fiber Technol. 2001, 7, 101–114. [Google Scholar] [CrossRef]
- Bilro, L.; Alberto, N.; Pinto, J.L.; Nogueira, R. Optical Sensors Based on Plastic Fibers. Sensors 2012, 12, 12184–12207. [Google Scholar] [CrossRef] [PubMed]
- Montero, D.S.; Vázquez, C.; Möllers, I.; Arrúe, J.; Jäger, D. A self-referencing intensity based polymer optical fiber sensor for liquid detection. Sensors 2009, 9, 6446–6455. [Google Scholar] [CrossRef] [PubMed]
- Grassini, S.; Ishtaiwi, M.; Parvis, M.; Vallan, A. Design and deployment of low-cost plastic optical fiber sensors for gas monitoring. Sensors 2015, 15, 485–498. [Google Scholar] [CrossRef] [PubMed]
- Moraleda, A.T.; García, C.V.; Zaballa, J.Z.; Arru, J. A temperature sensor based on a polymer optical fiber macro-bend. Sensors 2013, 13, 13076–13089. [Google Scholar] [CrossRef] [PubMed]
- Miluski, P.; Dorosz, D.; Żmojda, J.; Kochanowicz, M.; Dorosz, J. Luminescent polymer optical fibre sensor for temperature measurement. Acta Phys. Pol. A 2015, 127, 730–733. [Google Scholar] [CrossRef]
- Miluski, P.; Dorosz, D.; Kochanowicz, M.; Zmojda, J.; Dorosz, J. Luminescent optical fibre sensor for UV-A detection. Proc. SPIE 2014. [Google Scholar] [CrossRef]
- Wang, X.; Wolfbeis, O.S. Optical methods for sensing and imaging oxygen: Materials, spectroscopies and applications. Chem. Soc. Rev. 2014, 43, 3666–3761. [Google Scholar] [CrossRef] [PubMed]
- Miluski, P.; Dorosz, D.; Kochanowicz, M.; Zmojda, J.; Dorosz, J. The xanthene dyes doped PMMA microspheres for optical sensors applications. Proc. SPIE 2015. [Google Scholar] [CrossRef]
- Zmojda, J.; Kochanowicz, M.; Miluski, P.; Dorosz, D. Side-detecting optical fiber doped with Tb3+ for ultraviolet sensor application. Fibers 2014, 2, 150–157. [Google Scholar] [CrossRef]
- Eijkelenborg, M.A.; Argyros, A.; Barton, G.; Bassett, I.M.; Fellew, M.; Henry, G.; Issa, N.A.; Large, M.C.J.; Manos, S.; Padden, W.; et al. Recent progress in microstructured polymer optical fibre fabrication and characterisation. Opt. Fiber Technol. 2003, 9, 199–209. [Google Scholar] [CrossRef]
- Silva-López, M.; Fender, A.; MacPherson, W.N.; Barton, J.S.; Jones, J.D.C. Strain and temperature sensitivity of a single-mode polymer optical fiber. Opt. Lett. 2005, 30, 3129–3131. [Google Scholar] [CrossRef] [PubMed]
- Markos, C.; Kubat, I.; Bang, O. Hybrid polymer photonic crystal fiber with integrated chalcogenide glass nanofilms. Sci. Rep. 2014, 6057, 1–7. [Google Scholar] [CrossRef] [PubMed]
- Woliński, T.; Tefelska, M.; Mileńko, K.; Siarkowska, A.; Budaszewski, D.; Domański, A.; Ertman, S.; Orzechowski, K.; Rutkowska, K.; Sierakowski, M.; et al. Photonic liquid crystal fibers with polymers. Acta Phys. Pol. A 2013, 124, 613–616. [Google Scholar] [CrossRef]
- Argyros, A.; Eijkelenborg, M.A.; Large, M.C.J.; Bassett, I.M. Hollow-core microstructured polymer optical fiber. Opt. Lett. 2006, 31, 172–174. [Google Scholar] [CrossRef] [PubMed]
- Needles, H.L. Textile Fibers, Dyes, Finishes, and Processes: A Concise Guide; ISBN 0-8155-1076-4. Noyes Publications: Park Ridge, NJ, USA, 1986. [Google Scholar]
- Mignanelli, M.; Wani, K.; Ballato, J.; Foulger, S.; Brown, P. Polymer microstructured fibers by one-step extrusion. Opt. Lett. 2007, 15, 6183–6189. [Google Scholar] [CrossRef]
- Ebendorff-Heidepriem, H.; Monro, T.M. Extrusion of complex preforms for microstructured optical fibers. Opt. Lett. 2007, 15, 15086–15092. [Google Scholar] [CrossRef]
- Lethien, C.; Loyez, C.; Vilcot, J.P.; Rolland, N.; Rolland, P.A. Exploit the bandwidth capacities of the perfluorinated graded index polymer optical fiber for multi-services distribution. Polymers 2011, 3, 1006–1028. [Google Scholar] [CrossRef]
- Yeh, S.L.; Zhu, C.Y.; Kuo, S.W. Transparent heat-resistant PMMA copolymers for packing light-emitting diode materials. Polymers 2015, 7, 1379–1388. [Google Scholar] [CrossRef]
- Nespola, A.; Abrate, S.; Gaudino, R.; Zerna, C.; Offenbeck, B.; Weber, N. High-speed communications over polymer optical fibers for in-building cabling and home networking. IEEE Photonics J. 2010, 2, 347–358. [Google Scholar] [CrossRef]
- Tafur Monroy, I.; Boom, H.P.A.; Koonen, A.M.J.; Khoe, G.D.; Watanabe, Y.; Koike, Y.; Ishigure, T. Data transmission over polymer optical fibers. Opt. Fiber Technol. 2003, 9, 159–171. [Google Scholar] [CrossRef]
- Fischer, U.H.P.; Haupt, M.; Joncic, M. Optical Transmission Systems Using Polymeric Fibers. In Optoelectronics—Devices and Applications; ISBN 978-953-307-576-1. 2011; Available online: http://cdn.intechopen.com/pdfs/20494/InTech-Optical_transmission_systems_using_polymeric_fibers.pdf (accessed on 21 February 2017).
- Kuzyk, M.G. Polymer Fiber Optics. Materials, Physics, and Applications; ISBN 1-57444-7068-8. Taylor & Francis Group: Boca Raton, FL, USA, 2007. [Google Scholar]
- Khanarian, G.; Celanese, H. Optical properties of cyclic olefin copolymers. Opt. Eng. 2001, 40, 1024–1029. [Google Scholar] [CrossRef]
- Arrue, J.; Jiménez, F.; Ayesta, I.; Asunción Illarramendi, M.; Zubia, J. Polymer-optical-fiber lasers and amplifiers doped with organic dyes. Polymers 2011, 3, 1162–1180. [Google Scholar] [CrossRef]
- Karimi, M.; Granpayeh, N.; Morraveg Farshi, M.K. Analysis and design of a dye-doped polymer optical fiber amplifier. Appl. Phys. B 2004, 78, 387–396. [Google Scholar] [CrossRef]
- Drexhage, K.H. Fluorescence Efficiency of Laser Dyes. J. Res. Natl. Bur. Stand. A 1976, 3, 421–428. [Google Scholar] [CrossRef]
- Sheeba, M.; Rajesh, M.; Nampoorj, V.P.N.; Radhakrishnan, P. Fabrication and characterization of dye mixture doped polymer optical fiber as a broad wavelength optical amplifier. Appl. Opt. 2008, 47, 884–889. [Google Scholar] [CrossRef]
- Kailasnath, M.; Kumar, N.; Nampoori, V.P.N.; Vallabhan, C.P.G.; Radhakrishnan, P. Excitation wavelength dependence of energy transfer in dye mixture doped polymer optical fibre preforms. J. Photochem. Photobiol. A 2008, 199, 236–241. [Google Scholar] [CrossRef]
- Hammond, P.R. Laser Dye Technology; United States Department of Energy: Washington, DC, USA, 1999. [Google Scholar]
- Donovalová, J.; Cigáň, M.; Stankovičová, H.; Gašpar, J.; Danko, M.; Gáplovský, A.; Hrdlovič, P. Spectral properties of substituted coumarins in solution and polymer matrices. Molecules 2012, 17, 3259–3276. [Google Scholar] [CrossRef] [PubMed]
- Hrdlovic, P.; Donovalova, J.; Stankovicova, H.; Gaplovsky, A. Influence of polarity of solvents on the spectral properties of bichromophoric coumarins. Molecules 2010, 15, 8915–8932. [Google Scholar] [CrossRef] [PubMed]
- Bűnzli, J.C.G.; Piguet, C. Taking advantage of luminescent lanthanide ions. Chem. Soc. Rev. 2005, 34, 1048–1077. [Google Scholar] [CrossRef] [PubMed]
- Hebbink, G. Luminescent Materials Based on Lanthanide Ions. Ph.D. Thesis, University of Twente, G.A. Hebbink, Enschede, The Netherlands, 2002. [Google Scholar]
- Kai, J.; Parra, D.F.; Brito, H.F. Polymer matrix sensitizing effect on photoluminescence properties of Eu3+-β-diketonate complex doped into poly-b-hydroxybutyrate (PHB) in film form. J. Mater. Chem. 2008, 18, 4549–4554. [Google Scholar] [CrossRef]
- Chen, B.; Dong, N.; Xu, J.; Liang, H.; Luo, Y.; Wang, C.; Wu, W.; Wang, H. Optical properties and spectroscopic parameters of Sm(TTA)3(TPPO)2 doped PMMA. Optoelectron. Adv. Mater. Rapid Commun. 2007, 1, 609–613. [Google Scholar]
- Escribano, P.; Julián-López, B.; Planelles-Aragó, J.; Cordoncillo, E.; Viana, B.; Sanchez, C. Photonic and nanobiophotonic properties of luminescent lanthanide-doped hybrid organic–inorganic materials. J. Mater. Chem. 2008, 18, 23–40. [Google Scholar] [CrossRef]
- Liang, H.; Yang, Z.; Xiao, L.; Xie, F. Radiative transition probability of a europium (III) chelating polymer. Optoelectron. Adv. Mater. Rapid Commun. 2010, 4, 1396–1399. [Google Scholar]
- Jiu, H.; Ding, J.; Sun, Y.; Bao, J.; Gao, C.; Zhang, Q. Fluorescence enhancement of europium complex co-doped with terbium complex in a poly(methyl methacrylate) matrix. J. Non-Cryst. Solids 2006, 352, 197–202. [Google Scholar] [CrossRef]
- Chen, X.; Yan, B. In situ composition and photoluminescence of Tb, Eu centers/PMMA hybrid polymeric thick films. J. Optoelectron. Adv. Mater. 2006, 8, 1931–1934. [Google Scholar]
- Stouwdam, J.W. Lanthanide-Doped Nanoparticles As the Active Optical Medium in Polymer-Based Devices. Ph.D. Thesis, Netherlands Organisation for Scientific Research, Hague, The Netherlands, 2004. [Google Scholar]
- Kumar, G.A.; Chen, C.W.; Riman, R.; Chen, S.; Smith, D.; Ballato, J. Optical properties of a transparent CaF2:Er3+ fluoropolymer nanocomposite. Appl. Phys. Lett. 2005, 86. [Google Scholar] [CrossRef]
- Fischer, S.; Johnson, N.J.J.; Pichaandi, J.; Goldschmidt, J.C.; van Veggel, F.C.J.M. Upconverting core-shell nanocrystals with high quantum yield under low irradiance: On the role of isotropic and thick shells. J. Appl. Phys. 2015, 188. [Google Scholar] [CrossRef]
- Du, H.; Fuh, R.A.; Li, J.; Corkan, L.A.; Lindsey, J.S. PhotochemCAD: A computer-aided design and research tool in photochemistry. Photochem. Photobiol. 1998, 68, 141–142. [Google Scholar]
- Miluski, P.; Dorosz, D.; Kochanowicz, M.; Żmojda, J. Fluorescent polymeric optical fibre illuminator. Electron. Lett. 2016, 52, 1550–1552. [Google Scholar] [CrossRef]






© 2017 by the author. Licensee MDPI, Basel, Switzerland. This article is an open access article distributed under the terms and conditions of the Creative Commons Attribution (CC BY) license (http://creativecommons.org/licenses/by/4.0/).
Share and Cite
Miluski, P. Luminescent Properties of Oxazine 170 Perchlorate Doped PMMA Fiber. Fibers 2017, 5, 15. https://doi.org/10.3390/fib5020015
Miluski P. Luminescent Properties of Oxazine 170 Perchlorate Doped PMMA Fiber. Fibers. 2017; 5(2):15. https://doi.org/10.3390/fib5020015
Chicago/Turabian StyleMiluski, Piotr. 2017. "Luminescent Properties of Oxazine 170 Perchlorate Doped PMMA Fiber" Fibers 5, no. 2: 15. https://doi.org/10.3390/fib5020015
APA StyleMiluski, P. (2017). Luminescent Properties of Oxazine 170 Perchlorate Doped PMMA Fiber. Fibers, 5(2), 15. https://doi.org/10.3390/fib5020015

