Surface Free Energy Analysis Using the Washburn Capillary Rise Method to Improve the Accuracy of Measuring Carbon Fiber Interfacial Properties †
Highlights
- The Washburn capillary rise method was optimized by selecting a capillary-rise interval with minimal deviation to improve the reliability of carbon fiber wettability measurements;
- Among various fiber lengths, 2-inch carbon fibers showed the smallest deviation in contact angle and surface free energy due to favorable axial alignment and reduced pore heterogeneity.
- Controlling the carbon fiber length and packing structure is critical for obtaining accurate and reproducible surface free energy measurements using the Washburn method.
- The proposed measurement strategy provides a reliable criterion for evaluating carbon fiber surface wettability, contributing to improved understanding and optimization of fiber–matrix interfacial interactions in composites.
Abstract
1. Introduction
2. Materials and Methods
2.1. Materials
2.2. Carbon Fiber Contact Angle Measurement
3. Results
3.1. Evaluation of Capillary Constant Using Complete Wetting Liquid
3.2. Contact Angle Measurement and Surface Free Energy Calculation According to Carbon Fiber Length
4. Conclusions
Supplementary Materials
Author Contributions
Funding
Data Availability Statement
Conflicts of Interest
References
- Sreejith, M.; Rajeev, R.S. 25-Fiber Reinforced Composites for Aerospace and Sports Applications. Fiber Reinf. Compos. 2021, 45, 821–859. [Google Scholar] [CrossRef]
- Forintos, N.; Czigany, T. Multifunctional Application of Carbon Fiber Reinforced Polymer Composites: Electrical Properties of the Reinforcing Carbon Fibers–A Short Review. Compos. Part B Eng. 2019, 162, 331–343. [Google Scholar] [CrossRef]
- Kim, D.-K.; Kang, S.H.; Han, W.; Kim, K.-W.; Kim, B.-J. Facile Method to Enhance the Mechanical Interfacial Strength between Carbon Fibers and Polyamide 6 Using Modified Silane Coupling Agents. Carbon Lett. 2022, 32, 1463–1472. [Google Scholar] [CrossRef]
- Jeong, J.S.; Kim, K.-W.; Chung, D.C.; An, K.H.; Kim, B.-J. A Study on the Correlation between Microstructure Change and the Mechanical Strength of a Single CF Modified by Electron Beam. Carbon Lett. 2022, 32, 567–579. [Google Scholar] [CrossRef]
- Lan, D.S.; Xiong, L.; Wanyan, H.T.; Yuan, Y.M.; Fan, Q.; Zeng, X.K. Poly(glycidyl methacrylate) Grafted to Carbon Fiber Surface by RAFT Polymerization for Enhancing Interface Adhesion and Mechanical Properties of Carbon Fiber/Epoxy Composites. Polym. Polym. Compos. 2017, 25, 113–118. [Google Scholar] [CrossRef]
- Sun, J.F.; Zhao, F.; Yao, Y.; Jin, Z.; Liu, X.; Huang, Y.D. High Efficient and Continuous Surface Modification of Carbon Fibers with Improved Tensile Strength and Interfacial Adhesion. Appl. Surf. Sci. 2017, 412, 424–435. [Google Scholar] [CrossRef]
- Moosburger-Will, J.; Lachner, E.; Loffler, M.; Kunzmann, C.; Greisel, M.; Ruhland, K. Adhesion of Carbon Fibers to Amine Hardened Epoxy Resin: Influence of Ammonia Plasma Functionalization of Carbon Fibers. Appl. Surf. Sci. 2018, 453, 141–152. [Google Scholar] [CrossRef]
- Tominaga, Y.; Shimamoto, D.; Hotta, Y. Quantitative Evaluation of Interfacial Adhesion between Fiber and Resin in Carbon Fiber/Epoxy Composite Cured by Semiconductor Microwave Device. Compos. Interfaces 2016, 23, 395–404. [Google Scholar] [CrossRef]
- Yavuz, Z.; Khaligh, A.; Öz, Y.; Tuncel, D. Effects of Thermoplastic Coating on Interfacial Interactions in Advanced Engineering Composites for Aerospace Applications. Carbon Lett. 2024, 81, 2223–2245. [Google Scholar] [CrossRef]
- Kim, J.H.; Kwon, D.J.; DeVries, L.K.; Park, J.M. Innovative Wicking and Interfacial Evaluation of Carbon Fiber (CF)/Epoxy Composites by CF Tow Capillary Glass Tube Method (TCGTM) with Tripe-CF Fragmentation Test. Compos. Sci. Technol. 2022, 225, 109495. [Google Scholar] [CrossRef]
- Kim, K.-W.; Jeong, J.S.; An, K.H.; Kim, B.-J. A Study on the Microstructural Changes and Mechanical Behaviors of Carbon Fibers Induced by Optimized Electrochemical Etching. Compos. Part B Eng. 2019, 165, 764–771. [Google Scholar] [CrossRef]
- Kim, D.-K.; Han, W.; Kim, B.-J.; Kim, K.-W. Surface-free energy analysis using Washburn capillary rise method to improve the accuracy of measuring carbon-fiber interfacial properties. In Proceedings of the 2024 Spring Conference of the Korean Society for Composite Materials, Jeju, Republic of Korea, 24–26 April 2024; p. 332. [Google Scholar]
- Muster, T.H.; Prestidge, C.A. Application of Time-Dependent Sessile Drop Contact Angles on Compacts to Characterize the Surface Energetics of Sulfathiazole Crystals. Int. J. Pharm. 2002, 234, 43–54. [Google Scholar] [CrossRef] [PubMed]
- Song, B.; Springer, J. Determination of Interfacial Tension from the Profile of a Pendant Drop Using Computer-Aided Image Processing: 1. Theoretical. J. Colloid Interface Sci. 1996, 184, 64–76. [Google Scholar] [CrossRef]
- Fechter, T.; Villablanca, R.; Leontijevic, V.; Martin, A.; Jaeger, P.; Cocero, M.J. Interfacial Tension of Water near Critical Conditions by Using the Pendant Drop Method: New Experimental Data and a Correlation Based on the Parachor Method. J. Supercrit. Fluids 2023, 196, 105899. [Google Scholar] [CrossRef]
- Chawla, A.; Buckton, G.; Taylor, K.G.M.; Newton, J.M.; Johnson, M.C.R. Wilhelmy plate contact angle data on powder compacts: Considerations of plate perimeter. Eur. J. Pharm. Sci. 1994, 2, 253–258. [Google Scholar] [CrossRef]
- Krishnan, A.; Liu, Y.H.; Cha, P.; Woodward, R.; Allara, D.; Vogler, E.A. An evaluation of methods for contact angle measurement. Colloids Surf. B 2005, 43, 95–98. [Google Scholar] [CrossRef]
- Bracco, G.; Holst, B. Surface Science Techniques; Springer: Berlin/Heidelberg, Germany, 2013. [Google Scholar]
- Awan, I.S.; Xiaoqun, W.; Pengcheng, H.; Shanyi, D. Developing an approach to calculate carbon fiber surface energy using molecular simulation and its application to real carbon fibers. J. Compos. Mater. 2012, 46, 707–715. [Google Scholar] [CrossRef]
- Dilsiz, N.; Wightman, J.P. Surface analysis of unsized and sized carbon fibers. Carbon 1999, 37, 1105–1114. [Google Scholar] [CrossRef]
- Neirinck, B.; Van Deursen, J.; Van Der Biest, O.; Vleugels, J. Wettability assessment of submicrometer alumina powder using a modified Washburn method. J. Am. Ceram. Soc. 2010, 93, 2515–2518. [Google Scholar] [CrossRef]
- Susana, L.; Campaci, F.; Santomaso, A.C. Wettability of mineral and metallic powders: Applicability and limitations of sessile drop method and Washburn’s technique. Powder Technol. 2012, 226, 68–77. [Google Scholar] [CrossRef]
- Kirdponpattara, S.; Phisalaphong, M.; Newby, B.Z. Applicability of Washburn capillary rise for determining contact angles of powders/porous materials. J. Colloid Interface Sci. 2013, 397, 169–176. [Google Scholar] [CrossRef]
- Meng, L.; Fan, D.; Zhang, C.; Jiang, Z.; Huang, Y. The effect of oxidation treatment by KClO3/H2SO4 system on intersurface performance of carbon fibers. Appl. Surf. Sci. 2013, 268, 225–230. [Google Scholar] [CrossRef]
- Dilsiz, N.; Erinç, N.K.; Bayramli, E.; Akovali, G. Surface energy and mechanical properties of plasma-modified carbon fibers. Carbon 1995, 33, 853–858. [Google Scholar] [CrossRef]
- Bismarck, A.; Pfeifer, G.; Springer, J. Study on surface and mechanical fiber characteristics and their effect on epoxy composite properties tuned by continuous anodic carbon fiber oxidation. J. Adhes. Sci. Technol. 2000, 14, 661–690. [Google Scholar] [CrossRef]
- Bismarck, A.; Kumru, M.E.; Springer, J. Influence of oxygen plasma treatment of PAN-based carbon fibers on their electrokinetic and wetting properties. J. Colloid Interface Sci. 1999, 210, 60–72. [Google Scholar] [CrossRef]
- Wang, J.; Fuentes, C.A.; Zhang, D.; Wang, X.; Van Vuure, A.W.; Seveno, D. Wettability of carbon fibres at micro- and mesoscales. Carbon 2017, 120, 438–446. [Google Scholar] [CrossRef]
- Qiu, S.; Wang, J.; Zhang, D.; Van Vuure, A.W.; Seveno, D.; Fuentes, C.A. Wetting dynamics and surface energy components of single carbon fibers. J. Colloid Interface Sci. 2019, 557, 349–356. [Google Scholar] [CrossRef] [PubMed]
- Qiu, S.; Fuentes, C.A.; Zhang, D.; Van Vuure, A.W.; Seveno, D. Wettability of a single carbon fiber. Langmuir 2016, 32, 9697–9705. [Google Scholar] [CrossRef]
- Voinov, O. Hydrodynamics of wetting. Fluid Dyn. 1976, 11, 714–721. [Google Scholar] [CrossRef]
- Tanner, L. The spreading of silicone oil drops on horizontal surfaces. J. Phys. D Appl. Phys. 1979, 12, 1473. [Google Scholar] [CrossRef]
- Cox, R. The dynamics of the spreading of liquids on a solid surface. Part 1. Viscous flow. J. Fluid Mech. 1986, 168, 169–194. [Google Scholar] [CrossRef]
- Mitra, S.; Mitra, S.K. Understanding the early regime of drop spreading. Langmuir 2016, 32, 8843–8848. [Google Scholar] [CrossRef]
- Tretinnikov, O.N.; Ikada, Y. Dynamic wetting and contact angle hysteresis of polymer surfaces studied with the modified Wilhelmy balance method. Langmuir 1994, 10, 1606–1614. [Google Scholar] [CrossRef]
- Singhal, A.K.; Dranchuk, P.M. The use of modified threshold pressure for determining the wettability of packs of equal spheres. Powder Technol. 1975, 11, 45–50. [Google Scholar] [CrossRef]
- Lazghab, M.; Saleh, K.; Pezron, I.; Guigon, P.; Komunjer, L. Wettability assessment of finely divided solids. Powder Technol. 2005, 157, 79–91. [Google Scholar] [CrossRef]
- Pepin, X.; Blanchon, S.; Couarraze, G. A new approach for determination of powder wettability. Int. J. Pharm. 1997, 152, 1–5. [Google Scholar] [CrossRef]
- Siebold, A.; Walliser, A.; Nardin, M.; Oppliger, M.; Schultz, J. Capillary rise for thermodynamic characterization of solid particle surface. J. Colloid Interface Sci. 1997, 186, 60–70. [Google Scholar] [CrossRef]
- Pucci, M.F.; Liotier, P.J.; Drapier, S. Capillary wicking in a fibrous reinforcement–Orthotropic issues to determine the capillary pressure components. Compos. Part A Appl. Sci. Manuf. 2015, 77, 133–141. [Google Scholar] [CrossRef]
- Duchoslav, J.; Unterweger, C.; Steinberger, R.; Fürst, C.; Stifter, D. Investigation on the Thermo-Oxidative Stability of Carbon Fiber Sizings for Application in Thermoplastic Composites. Polym. Degrad. Stab. 2016, 125, 33–42. [Google Scholar] [CrossRef]
- Park, S.-J.; Kim, M.-H.; Lee, J.-R.; Choi, S. Effect of Fiber–Polymer Interactions on Fracture Toughness Behavior of Carbon Fiber-Reinforced Epoxy Matrix Composites. J. Colloid Interface Sci. 2000, 228, 287–291. [Google Scholar] [CrossRef]
- Washburn, E.W. The dynamics of capillary flow. Phys. Rev. 1921, 17, 273–283. [Google Scholar] [CrossRef]
- Owens, D.K.; Wendt, R.C. Estimation of the surface free energy of polymers. J. Appl. Polym. Sci. 1969, 13, 1741–1747. [Google Scholar] [CrossRef]







| Test Liquid | (mN/m) | (mN/m) | (mN/m) |
|---|---|---|---|
| n-hexane | 18.4 | 18.4 | 0 |
| Distilled water | 72.8 | 21.8 | 51 |
| Diiodomethane | 50.8 | 50.42 | 0.38 |
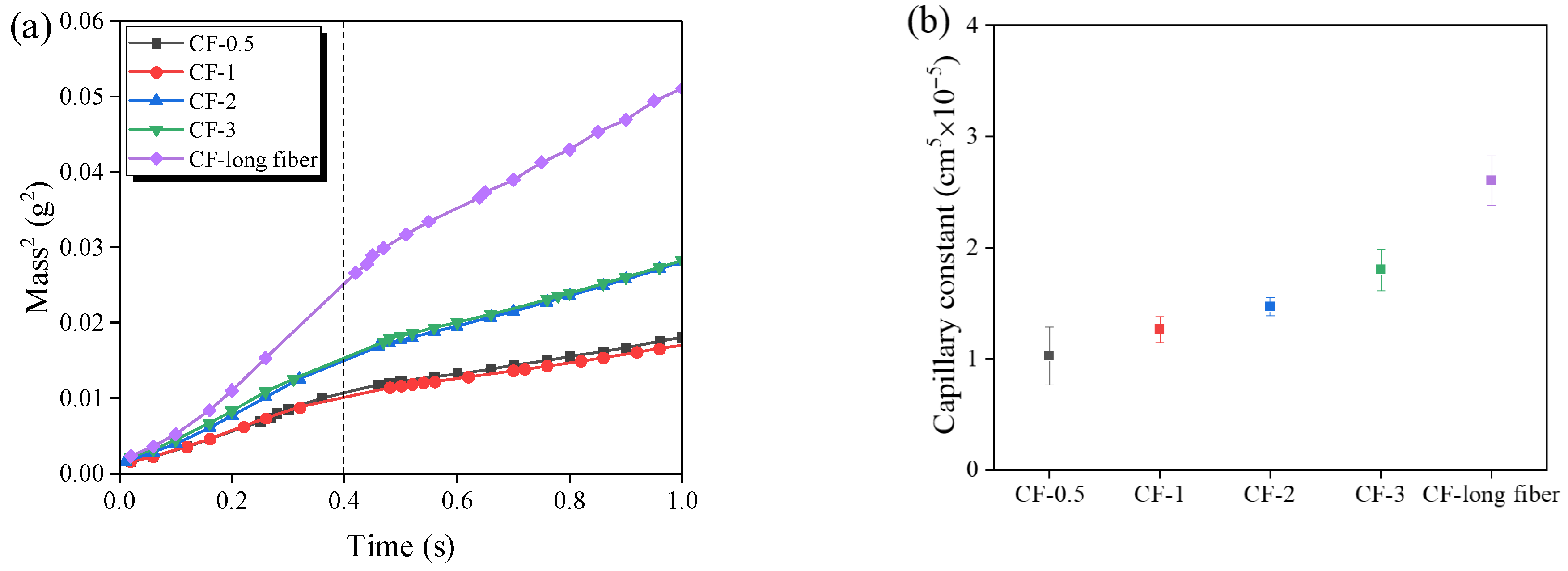
| Sample Name | Capillary Constant (cm5 × 10−5) | Contact Angle (°) | |
|---|---|---|---|
| Distilled Water | Diiodomethane | ||
| CF-0.5 | 1.02 | 59.36 ± 7.63 | 22.42 ± 6.76 |
| CF-1 | 1.26 | 68.96 ± 6.27 | 24.31 ± 5.15 |
| CF-2 | 1.47 | 76.28 ± 5.38 | 28.81 ± 3.62 |
| CF-3 | 1.80 | 78.92 ± 6.34 | 39.11 ± 6.46 |
| CF-long fiber | 2.60 | 81.48 ± 7.42 | 41.69 ± 6.95 |
| Sample Name | (mN/m) | (mN/m) | |
|---|---|---|---|
| CF-0.5 | 39.19 ± 3.98 | 13.10 ± 4.01 | 52.29 ± 6.71 |
| CF-1 | 43.17 ± 2.16 | 7.25 ± 3.41 | 50.42 ± 3.05 |
| CF-2 | 42.25 ± 1.98 | 4.52 ± 2.50 | 46.77 ± 2.38 |
| CF-3 | 37.67 ± 3.66 | 4.73 ± 3.02 | 42.40 ± 3.57 |
| CF-long fiber | 36.61 ± 4.34 | 4.18 ± 3.27 | 40.79 ± 4.13 |
Disclaimer/Publisher’s Note: The statements, opinions and data contained in all publications are solely those of the individual author(s) and contributor(s) and not of MDPI and/or the editor(s). MDPI and/or the editor(s) disclaim responsibility for any injury to people or property resulting from any ideas, methods, instructions or products referred to in the content. |
© 2026 by the authors. Licensee MDPI, Basel, Switzerland. This article is an open access article distributed under the terms and conditions of the Creative Commons Attribution (CC BY) license.
Share and Cite
Kim, D.-K.; Han, W.; Choi, Y.C.; Kim, K.-W.; Kim, B.-J. Surface Free Energy Analysis Using the Washburn Capillary Rise Method to Improve the Accuracy of Measuring Carbon Fiber Interfacial Properties. Fibers 2026, 14, 16. https://doi.org/10.3390/fib14020016
Kim D-K, Han W, Choi YC, Kim K-W, Kim B-J. Surface Free Energy Analysis Using the Washburn Capillary Rise Method to Improve the Accuracy of Measuring Carbon Fiber Interfacial Properties. Fibers. 2026; 14(2):16. https://doi.org/10.3390/fib14020016
Chicago/Turabian StyleKim, Dong-Kyu, Woong Han, Young Chul Choi, Kwan-Woo Kim, and Byung-Joo Kim. 2026. "Surface Free Energy Analysis Using the Washburn Capillary Rise Method to Improve the Accuracy of Measuring Carbon Fiber Interfacial Properties" Fibers 14, no. 2: 16. https://doi.org/10.3390/fib14020016
APA StyleKim, D.-K., Han, W., Choi, Y. C., Kim, K.-W., & Kim, B.-J. (2026). Surface Free Energy Analysis Using the Washburn Capillary Rise Method to Improve the Accuracy of Measuring Carbon Fiber Interfacial Properties. Fibers, 14(2), 16. https://doi.org/10.3390/fib14020016

