Influence of Nanoparticles and PVA Fibers on Concrete and Mortar on Microstructural and Durability Properties
Abstract
1. Introduction
2. Material and Methods
2.1. Materials and Mix Proportions
2.2. Nanoparticles and Fibers
3. Experimental Program
3.1. Mixing of Nanoparticles
3.2. Test Procedure
4. Results and Discussions
4.1. Compressive Strength
4.2. Microstructural Properties
4.3. EDX
4.4. Rapid Chloride Penetration Test (RCPT)
5. Conclusions
- Amongst all mixtures of cement mortar using GGBS, it has been observed that the maximum compressive strength acquired for MCG2 is 25.21 MPa and 33.86 MPa at the age of 14 and 28 days, respectively. The percentage increment of the specimens was about 3.87% and 5.35% at the age of 14 and 28 days, respectively. The reason may be attributed to the filing effect of GGBS particles into the voids.
- For the addition of nano alumina in the mortar mixtures with different percentage combinations of GGBS, the maximum compressive strength was achieved for the mix MCG2A2 as 34.63 MPa at 28 days with the percentage increment of 7.75% when compared to that of the conventional mortar mixture.
- The maximum strength required for the mixture MCG2A2PVA is 35.08 MPa with the addition of 2% of NA, 15% of GGBS, and 0.3% of PVA fibers. The maximum percentage increase was about 9.15% when compared with a conventional mortar mixture. The percentage increase has been accompanied due to the confinement effect of the fiber and the restriction of the propagation of micro cracks in all stress levels.
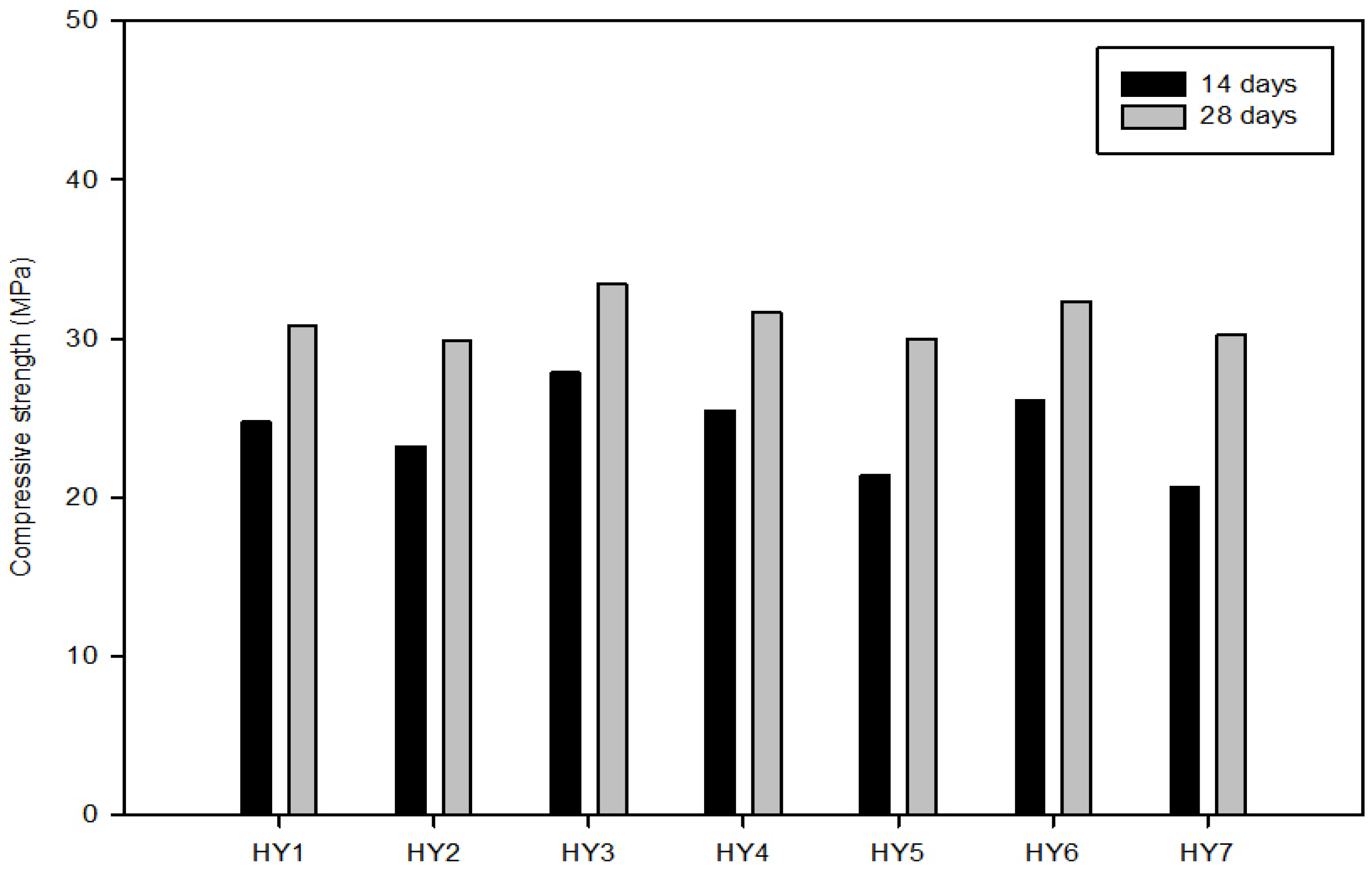
- From the mechanical property results of the hybrid nanoparticle mortar mixtures, it has been clearly observed that the highest compressive is achieved for MH6 with the combination of 2.5% NS and 0.5% NA as 32.34 MPa with an increment of 7.4% as compared with the conventional mixture with the effect of the extremely lesser confinement of the pores.
- The maximum compressive strength of the obtained dosage of nanoparticle concrete is 44.33 MPa, which is attributed to the reduction in the pore size in the system.
- From the durability test, it is observed that the conductivity is much less due to the low porosity of the concrete with the addition of nanoparticles and PVA fibers.
- From the microstructural results, it is observed that an excess of CSH has been formed, which gives a further increase in the compressive strength for the mixture MCG2.
- Based on the mechanical properties and microstructural properties for the optimized dosage MCG2A2PVA specimen, the strength development has been clearly visible in the SEM image, i.e., (1) reduction in pore size due to the presence of unhydrated cement particle and NA. (2) Increase in CSH gel in the structure.
Author Contributions
Funding
Data Availability Statement
Acknowledgments
Conflicts of Interest
References
- Mohseni, E.; Naseri, F.; Amjadi, R.; Khotbehsara, M.M.; Ranjbar, M.M. Microstructure and durability properties of cement mortars containing nano-TiO2 and rice husk ash. Constr. Build. Mater 2016, 114, 656–664. [Google Scholar] [CrossRef]
- Wang, X.Q.; Chow, C.L.; Lau, D. A review on modelling techniques of cementitious materials under different length scales: Development and future prospects. Adv. Theory Simul. 2019, 2, 1900047. [Google Scholar] [CrossRef]
- Chae, S.R.; Moon, J.; Yoon, S.; Bae, S.; Levitz, P.; Winarski, R.; Monteiro, P.J. Advanced nanoscale characterization of cement-based materials using X-ray synchrotron radiation: A review. Int. J. Concr. Struct. Mater. 2013, 7, 95–110. [Google Scholar] [CrossRef]
- Li, Z.; Wang, H.; He, S.; Lu, Y.; Wang, M. Investigations on the preparation and mechanical properties of the nano-alumina reinforced cement composite. Mater. Lett. 2006, 60, 356–359. [Google Scholar] [CrossRef]
- Ramezanianpour, A.A.; Esmaeili, M.; Ghahari, S.A.; Najafi, M.H. Laboratory study on the effect of polypropylene fibre on durability, and physical and mechanical characteristics of concrete for application in sleepers. Constr. Build. Mater. 2013, 44, 411–418. [Google Scholar] [CrossRef]
- Kefyalew, F.; Imjai, T.; Garcia, R.; Khanh Son, N.; Chaudhary, S. Performance of recycled aggregate concrete composite metal decks under elevated temperatures: A comprehensive review. J. Asian Archit. Build. Eng. 2024, 1–23. [Google Scholar] [CrossRef]
- Tomoshige, R.; Ashitani, T.; Yatsukawa, H.; Nagase, R.; Kato, A.; Sakai, K. Synthesis of ceramic compounds utilizing woody waste materials and rice husk. In Materials Science Forum; Trans Tech Publications Ltd.: Zurich-Uetikon, Switzerland, 2003; Volume 437, pp. 411–414. [Google Scholar]
- Ng, D.S.; Paul, S.C.; Anggraini, V.; Kong, S.Y.; Qureshi, T.S.; Rodriguez, C.R.; Liu, Q.F.; Šavija, B. Influence of SiO2, TiO2 and Fe2O3 nanoparticles on the properties of fly ash blended cement mortars. Constr. Build. Mater. 2020, 258, 119627. [Google Scholar]
- Zhang, P.; Sha, D.; Li, Q.; Zhao, S.; Ling, Y. Effect of nano-silica particles on impact resistance and durability of concrete containing coal fly ash. Nanomaterials 2021, 11, 1296. [Google Scholar] [CrossRef]
- Neupane, R.P.; Imjai, T.; Makul, N.; Garcia, R.; Kim, B.; Chaudhary, S. Use of recycled aggregate concrete in structural members: A review focused on Southeast Asia. J. Asian Archit. Build. Eng. 2023, 1–24. [Google Scholar] [CrossRef]
- Imjai, T.; Garcia, R.; Rassameekobkul, W.; Sofri, L.A.; Wicaksono, S. Service Performance of Porous Asphalt Mixtures in Thailand: Laboratory and Full-Scale Field Tests. Int. J. Pavement Res. 2024, 1–18. [Google Scholar]
- Jo, B.W.; Kim, C.H.; Tae, G.H.; Park, J.B. Characteristics of cement mortar with nano-SiO2 particles. Constr. Build. Mater. 2007, 21, 1351–1355. [Google Scholar] [CrossRef]
- Senff, L.; Hotza, D.; Repette, W.L.; Ferreira, V.M.; Labrincha, J.A. Mortars with nano-SiO2 and micro-SiO2 were investigated by experimental design. Constr. Build. Mater. 2010, 24, 1432–1437. [Google Scholar] [CrossRef]
- Basha, E.A.; Hashim, R.; Mahmud, H.B.; Muntohar, A.S. Stabilization of residual soil with rice husk ash and cement. Constr. Build. Mater. 2005, 19, 448–453. [Google Scholar] [CrossRef]
- Imjai, T.; Kefyalew, F.; Garcia, R.; Kim, B.; Bras, A.; Sukontasukkul, P. Performance of a novel structural insulated panel in tropical climates: Experimental and numerical studies. Constr. Build. Mater. 2024, 421, 135568. [Google Scholar] [CrossRef]
- Mindess, S. Resistance of concrete to destructive agencies. Lea’s Chem. Cem. Concr. 2019, 2019, 251–283. [Google Scholar]
- Najigivi, A.; Abdul Rashid, S.; Nora, A.; Aziz, F.; Mohd Salleh, M.A. Water absorption control of ternary blended concrete with nano-SiO2 in presence of rice husk ash. Mater. Struct. 2012, 45, 1007–1017. [Google Scholar] [CrossRef]
- Srimuang, K.; Imjai, T.; Kefyalew, F.; Raman, S.N.; Garcia, R.; Chaudhary, S. Thermal and acoustic performance of masonry walls with phase change materials: A comparison of scaled-down houses in tropical climates. J. Build. Eng. 2024, 82, 108315. [Google Scholar] [CrossRef]
- Mohseni, E.; Khotbehsara, M.; Naseri, F.; Monazami, M.; Sarker, P. Polypropylene fiber reinforced cement mortars containing rice husk ash and nano-alumina. Constr. Build. Mater. 2016, 111, 429–439. [Google Scholar] [CrossRef]
- Gonçalves, M.R.F.; Bergmann, C.P. Thermal insulators made with rice husk ashes: Production and correlation between properties and microstructure. Constr. Build. Mater. 2007, 21, 2059–2065. [Google Scholar] [CrossRef]
- Ismail, M.S.; Waliuddin, A.M. Effect of rice husk ash on high strength concrete. Constr. Build. Mater. 1996, 10, 521–526. [Google Scholar] [CrossRef]
- Imjai, T.; Aosai, P.; Garcia, R.; Raman, S.N.; Chaudhary, S. Deflections of high-content recycled aggregate concrete beams reinforced with GFRP bars and steel fibres. Eng. Struct. 2024, 312, 118247. [Google Scholar] [CrossRef]
- Kefyalew, F.; Imjai, T.; Garcia, R.; Kim, B. Structural and Service Performance of Composite Slabs with High Recycled Aggregate Concrete Contents. Eng. Sci. 2023, 27, 2024. [Google Scholar] [CrossRef]
- Yuan, Z.; Jia, Y. Mechanical properties and microstructure of glass fiber and polypropylene fiber reinforced concrete: An experimental study. Constr. Build. Mater. 2021, 266, 121048. [Google Scholar] [CrossRef]
- Balta, B. Combined Effects of TiO2 Nanoparticles and Waste Plastic Fiber to Enhance Mechanical Properties of Concrete Materials. IEEE-SEM J. 2021, 9. [Google Scholar]
- Du, H.; Du, S.; Liu, X. Durability performances of concrete with nano-silica. Constr. Build. Mater. 2014, 73, 705–712. [Google Scholar] [CrossRef]
- Flores Nicolás, A.; Menchaca Campos, E.C.; Flores Nicolás, M.; Martínez González, J.J.; González Noriega, O.A.; Uruchurtu Chavarín, J. Influence of Recycled High-Density Polyethylene Fibers on the Mechanical and Electrochemical Properties of Reinforced Concrete. Fibers 2024, 12, 24. [Google Scholar] [CrossRef]
- Norhasri, M.M.; Hamidah, M.S.; Fadzil, A.M. Applications of using nano material in concrete: A review. Constr. Build. Mater. 2017, 133, 91–97. [Google Scholar] [CrossRef]
- Younis, K.H.; Mustafa, S.M. Feasibility of using nanoparticles of SiO2 to improve the performance of recycled aggregate concrete. Adv. Mater. Sci. Eng. 2018, 2018, 1512830. [Google Scholar] [CrossRef]
- Zhang, P.; Li, Q.; Chen, Y.; Shi, Y.; Ling, Y.F. Durability of steel fiber-reinforced concrete containing SiO2 nano-particles. Materials 2019, 12, 2184. [Google Scholar] [CrossRef]
- Batiston, E.; de Matos, P.R.; Gleize, P.J.P.; Fediuk, R.; Klyuev, S.; Vatin, N.; Karelina, M. Combined functionalization of carbon nanotubes (CNT) fibers with H2SO4/HNO3 and Ca(OH)2 for addition in cementitious matrix. Fibers 2021, 9, 14. [Google Scholar] [CrossRef]
- Signorini, C.; Volpini, V. Mechanical performance of fiber reinforced cement composites including fully-recycled plastic fibers. Fibers 2021, 9, 16. [Google Scholar] [CrossRef]
- Hassan Noorvand, H.N.; Abang Abdullah, A.A.; Ramazan Demirboga, R.D.; Nima Farzadnia, N.F.; Hossein Noorvand, H.N. Incorporation of nano TiO2 in black rice husk ash mortars. Constr. Build. Mater. 2013, 47, 1350–1361. [Google Scholar] [CrossRef]
- Joshaghani, A.; Balapour, M.; Mashhadian, M.; Ozbakkaloglu, T. Effects of nano-TiO2, nano-Al2O3, and nano-Fe2O3 on rheology, mechanical and durability properties of self-consolidating concrete (SCC): An experimental study. Constr. Build. Mater. 2020, 245, 118444. [Google Scholar] [CrossRef]
- Al-Khalaf, M.N.; Yousif, H.A. Use of rice husk ash in concrete. Int. J. Cem. Compos. Lightweight Concr. 1984, 6, 241–248. [Google Scholar] [CrossRef]
- Choi, J.I.; Lee, B.Y.; Ranade, R.; Li, V.C.; Lee, Y. Ultra-high-ductile behavior of a polyethylene fiber-reinforced alkali-activated slag-based composite. Cem. Concr. Compos. 2016, 70, 153–158. [Google Scholar] [CrossRef]
- Rong, Z.; Sun, W.; Xiao, H.; Jiang, G. Effects of nano-SiO2 particles on the mechanical and microstructural properties of ultra-high performance cementitious composites. Cem. Concr. Compos. 2015, 56, 25–31. [Google Scholar] [CrossRef]
- Althoey, F.; Zaid, O.; Martínez-García, R.; Alsharari, F.; Ahmed, M.; Arbili, M.M. Impact of Nano-silica on the hydration, strength, durability, and microstructural properties of concrete: A state-of-the-art review. Case Stud. Constr. Mater. 2023, 18, e01997. [Google Scholar] [CrossRef]
- Rahman, F.; Adil, W.; Raheel, M.; Saberian, M.; Li, J.; Maqsood, T. Experimental investigation of high replacement of cement by pumice in cement mortar: A mechanical, durability and microstructural study. J. Build. Eng. 2022, 49, 104037. [Google Scholar] [CrossRef]
- Zheng, S.; Liu, T.; Qu, B.; Fang, C.; Li, L.; Feng, Y.; Jiang, G.; Yu, Y. Experimental investigation on the effect of nano silica fume on physical properties and microstructural characteristics of lightweight cement slurry. Constr. Build. Mater. 2022, 329, 127172. [Google Scholar] [CrossRef]
- Loginova, E.; Schollbach, K.; Proskurnin, M.; Brouwers, H.J.H. Mechanical performance and microstructural properties of cement mortars containing MSWI BA as a minor additional constituent. Case Stud. Constr. Mater. 2023, 18, e01701. [Google Scholar] [CrossRef]
- IS 12269; Indian Standard for Ordinary Portland Cement 53 Grade. Bureau of Indian Standards: New Delhi, India, 2013.
- IS 2720-3-1; Methods of Test for Soils, Part 3: Determination of Specific Gravity, Section 1: Fine Grained Soils. Bureau of Indian Standards: New Delhi, India, 1980.
- IS 4031-1; Indian Standard Code for Method of Physical Tests for Hydraulic Cement. Bureau of Indian Standards: New Delhi, India, 1996.
- IS 4031-4; Indian Standard Code for Method of Physical Tests for Hydraulic Cement. Bureau of Indian Standards: New Delhi, India, 1988.
- IS 4031-5; Indian Standard Code for Method of Physical Tests for Hydraulic Cement. Bureau of Indian Standards: New Delhi, India, 1988.
- IS 516; Indian Standard Code for Methods of Tests for Strength of Concrete. Bureau of Indian Standards: New Delhi, India, 2004.
- ASTM C1202-12; Standard Test Method for Electrical Indication of Concrete’s Ability to Resist Chloride Ion Penetration Annual. Book of ASTM Standards: West Conshohocken, PA, USA, 2012.







| Material | Calcium Oxide (CaO) | Silica (SiO2) | Ferric Oxide (Fe2O3) | Sulfuric Anhydride (SO3) | Alumina (Al2O3) | Magnesium Oxide (MgO) |
|---|---|---|---|---|---|---|
| Cement | 64.85 | 19.30 | 3.67 | 2.83 | 5.02 | 2.09 |
| GGBS | 36.98 | 34.57 | 0.49 | - | 18.62 | 7.76 |
| Material | Consistency (%) | Initial Setting Time (min) | Specific Gravity | Fineness (%) |
|---|---|---|---|---|
| Cement | 32% | 34 | 3.09 | 5.5% |
| GGBS | 40% | 2.32 | 54 | 34.5% |
| Material | (Al2O3) | (Fe2O3) | (SiO2) | (NaO2) | Carbon Content (%) | Chloride Content (%) | TiO2 |
|---|---|---|---|---|---|---|---|
| Nano Alumina (NA) | 99.0% | 0.012% | 0.013% | 0.37% | - | - | - |
| Nano Silica (NS) | 0.005 | 0.001 | 99.88 | - | 0.06 | 0.06 | 0.004 |
| Material | Specific Gravity | Particle Size (nm) |
|---|---|---|
| Nano Alumina (NA) | 3.4–3.6 | 70–85 |
| Nano Silica (NS) | 2.2–2.4 | 17 |
| S. No | Property | Value |
|---|---|---|
| 1 | Aspect ratio (L/D) | 166.67 |
| 3 | Specific gravity | 1.3 |
| 4 | Tensile strength (MPa) | 1600 |
| Mix Designations | Cement (kg/m3) | GGBS (kg/m3) | PVA (kg/m3) | NA (kg/m3) | Sand (kg/m3) | Water (kg/m3) | SP (kg/m3) |
|---|---|---|---|---|---|---|---|
| MC | 445 | - | - | - | 1366.5 | 217.8 | 0.9 |
| MCG1 | 400.5 | 44.50 | - | - | 1366.5 | 217.8 | 0.9 |
| MCG2 | 387.25 | 66.75 | - | - | 1366.5 | 217.8 | 1 |
| MCG1A1 | 396.05 | 44.50 | - | 4.45 | 1366.5 | 217.8 | 1 |
| MCG1A2 | 391.59 | 44.50 | - | 8.91 | 1366.5 | 217.8 | 1 |
| MCG1A3 | 387.15 | 44.50 | - | 13.35 | 1366.5 | 217.8 | 1 |
| MCG2A1 | 373.80 | 66.75 | - | 4.45 | 1366.5 | 217.8 | 1 |
| MCG2A2 | 369.34 | 66.75 | - | 8.91 | 1366.5 | 217.8 | 1 |
| MCG2A3 | 364.90 | 66.75 | - | 13.35 | 1366.5 | 217.8 | 1 |
| MCG1A1PVA | 396.05 | 44.50 | 1.33 | 4.45 | 1366.5 | 217.8 | 2 |
| MCG1A2PVA | 390.26 | 44.50 | 1.33 | 8.91 | 1366.5 | 217.8 | 2 |
| MCG1A3PVA | 385.82 | 44.50 | 1.33 | 13.35 | 1366.5 | 217.8 | 2 |
| MCG2A1PVA | 372.47 | 66.75 | 1.33 | 4.45 | 1366.5 | 217.8 | 2 |
| MCG2A2PVA | 368.01 | 66.75 | 1.33 | 8.91 | 1366.5 | 217.8 | 2 |
| MCG2A3PVA | 363.62 | 66.75 | 1.33 | 13.35 | 1366.5 | 217.8 | 2 |
| Mix Designation | Cement (kg/m3) | FA (kg/m3) | CA (kg/m3) | GGBS (kg/m3) | NA (kg/m3) | Water (kg/m3) | SP (kg/m3) | Compressive Strength (MPa)—14D | Compressive Strength (MPa)—28D |
|---|---|---|---|---|---|---|---|---|---|
| MC | 410.0 | 640 | 1220 | - | - | 201 | 6.12 | 28.71 | 39.56 |
| MCG1A1PVA | 372.4 | 640 | 1220 | 66.5 | 4.1 | 201 | 8.12 | 33.87 | 41.65 |
| MCG2A2PVA | 368.0 | 640 | 1220 | 66.5 | 8.2 | 201 | 10.12 | 36.82 | 44.33 |
| Mix Designations | Cement (kg/m3) | GGBS (kg/m3) | NA (%) | NS (%) | Fine Aggregate (kg/m3) | Water (kg/m3) | SP (kg/m3) |
|---|---|---|---|---|---|---|---|
| HY1 | 396.05 | 66.75 | 0.5 | 0.5 | 1361.15 | 217.6 | 1.7 |
| HY2 | 391.60 | 66.75 | 1 | 1 | 1361.15 | 217.6 | 1.9 |
| HY3 | 391.60 | 66.75 | 1.5 | 0.5 | 1361.15 | 217.6 | 1.9 |
| HY4 | 387.15 | 66.75 | 0.5 | 1.5 | 1361.15 | 217.6 | 1.9 |
| HY5 | 387.15 | 66.75 | 0.5 | 2.5 | 1361.15 | 217.6 | 2.1 |
| HY6 | 387.15 | 66.75 | 2.5 | 0.5 | 1361.15 | 217.6 | 2.1 |
| HY7 | 387.15 | 66.75 | 1.5 | 1.5 | 1361.15 | 217.6 | 2.1 |
| S. No | Mix Designation | RCPT Values (Coulombs)—14 D | RCPT Values (Coulombs)—14 D |
|---|---|---|---|
| 1 | MC | 2846 | 2516 |
| 3 | MCG2A1PVA | 1982 | 1726 |
| 4 | MCG2A1PVA | 1823 | 1602 |
Disclaimer/Publisher’s Note: The statements, opinions and data contained in all publications are solely those of the individual author(s) and contributor(s) and not of MDPI and/or the editor(s). MDPI and/or the editor(s) disclaim responsibility for any injury to people or property resulting from any ideas, methods, instructions or products referred to in the content. |
© 2024 by the authors. Licensee MDPI, Basel, Switzerland. This article is an open access article distributed under the terms and conditions of the Creative Commons Attribution (CC BY) license (https://creativecommons.org/licenses/by/4.0/).
Share and Cite
Sridhar, R.; Aosai, P.; Imjai, T.; Setkit, M.; Shirkol, A.; Laory, I. Influence of Nanoparticles and PVA Fibers on Concrete and Mortar on Microstructural and Durability Properties. Fibers 2024, 12, 54. https://doi.org/10.3390/fib12070054
Sridhar R, Aosai P, Imjai T, Setkit M, Shirkol A, Laory I. Influence of Nanoparticles and PVA Fibers on Concrete and Mortar on Microstructural and Durability Properties. Fibers. 2024; 12(7):54. https://doi.org/10.3390/fib12070054
Chicago/Turabian StyleSridhar, Radhika, Pakjira Aosai, Thanongsak Imjai, Monthian Setkit, Anoop Shirkol, and Irwanda Laory. 2024. "Influence of Nanoparticles and PVA Fibers on Concrete and Mortar on Microstructural and Durability Properties" Fibers 12, no. 7: 54. https://doi.org/10.3390/fib12070054
APA StyleSridhar, R., Aosai, P., Imjai, T., Setkit, M., Shirkol, A., & Laory, I. (2024). Influence of Nanoparticles and PVA Fibers on Concrete and Mortar on Microstructural and Durability Properties. Fibers, 12(7), 54. https://doi.org/10.3390/fib12070054

