Visible to Mid-IR Supercontinuum Generation in Cascaded PCF-Germanate Fiber Using Femtosecond Yb-Fiber Pump
Abstract
:1. Introduction
2. Materials and Methods
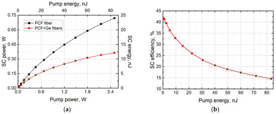
3. Results
4. Discussion
5. Conclusions
Author Contributions
Funding
Data Availability Statement
Conflicts of Interest
References
- Alfano, R.R.; Shapiro, S.L. Emission in the Region 4000 to 7000 Å Via Four-Photon Coupling in Glass. Phys. Rev. Lett. 1970, 24, 584–587. [Google Scholar] [CrossRef]
- Holzwarth, R.; Udem, T.; Hänsch, T.W.; Knight, J.C.; Wadsworth, W.J.; Russell, P.S.J. Optical Frequency Synthesizer for Precision Spectroscopy. Phys. Rev. Lett. 2000, 85, 2264–2267. [Google Scholar] [CrossRef] [PubMed]
- Schliesser, A.; Picqué, N.; Hänsch, T.W. Mid-Infrared Frequency Combs. Nat. Photon 2012, 6, 440–449. [Google Scholar] [CrossRef]
- Tu, H.; Boppart, S.A. Coherent Fiber Supercontinuum for Biophotonics: Coherent Fiber Supercontinuum for Biophotonics. Laser Photonics Rev. 2013, 7, 628–645. [Google Scholar] [CrossRef]
- Liu, S.; Liu, W.; Niu, H. Supercontinuum Generation with Photonic Crystal Fibers and Its Application in Nano-Imaging. In Photonic Crystals; Bananej, A., Ed.; InTech: Houston, TX, USA, 2015; ISBN 978-953-51-2121-3. [Google Scholar]
- Marks, D.L.; Oldenburg, A.L.; Reynolds, J.J.; Boppart, S.A. Study of an Ultrahigh-Numerical-Aperture Fiber Continuum Generation Source for Optical Coherence Tomography. Opt. Lett. 2002, 27, 2010. [Google Scholar] [CrossRef]
- Sharma, U.; Chang, E.W.; Yun, S.H. Long-Wavelength Optical Coherence Tomography at 17 Μm for Enhanced Imaging Depth. Opt. Express 2008, 16, 19712. [Google Scholar] [CrossRef]
- Ohara, T.; Takara, H.; Yamamoto, T.; Masuda, H.; Morioka, T.; Abe, M.; Takahashi, H. Over-1000-Channel Ultradense WDM Transmission with Supercontinuum Multicarrier Source. J. Light. Technol. 2006, 24, 2311–2317. [Google Scholar] [CrossRef]
- Xiao, L.; Demokan, M.S.; Jin, W.; Wang, Y.; Zhao, C.-L. Fusion Splicing Photonic Crystal Fibers and Conventional Single-Mode Fibers: Microhole Collapse Effect. J. Light. Technol. 2007, 25, 3563–3574. [Google Scholar] [CrossRef]
- Xiao, L.; Jin, W.; Demokan, M.S. Fusion Splicing Small-Core Photonic Crystal Fibers and Single-Mode Fibers by Repeated Arc Discharges. Opt. Lett. 2007, 32, 115. [Google Scholar] [CrossRef]
- Chen, K.K.; Alam, S.; Price, J.H.V.; Hayes, J.R.; Lin, D.; Malinowski, A.; Codemard, C.; Ghosh, D.; Pal, M.; Bhadra, S.K.; et al. Picosecond Fiber MOPA Pumped Supercontinuum Source with 39 W Output Power. Opt. Express 2010, 18, 5426. [Google Scholar] [CrossRef]
- Qi, X.; Chen, S.; Li, Z.; Liu, T.; Ou, Y.; Wang, N.; Hou, J. High-Power Visible-Enhanced All-Fiber Supercontinuum Generation in a Seven-Core Photonic Crystal Fiber Pumped at 1016 Nm. Opt. Lett. 2018, 43, 1019. [Google Scholar] [CrossRef] [PubMed]
- Klimczak, M.; Michalik, D.; Stępniewski, G.; Karpate, T.; Cimek, J.; Forestier, X.; Kasztelanic, R.; Pysz, D.; Stępień, R.; Buczyński, R. Coherent Supercontinuum Generation in Tellurite Glass Regular Lattice Photonic Crystal Fibers. J. Opt. Soc. Am. B 2019, 36, A112. [Google Scholar] [CrossRef]
- Picot-Clemente, J.; Strutynski, C.; Amrani, F.; Désévédavy, F.; Jules, J.-C.; Gadret, G.; Deng, D.; Cheng, T.; Nagasaka, K.; Ohishi, Y.; et al. Enhanced Supercontinuum Generation in Tapered Tellurite Suspended Core Fiber. Opt. Commun. 2015, 354, 374–379. [Google Scholar] [CrossRef]
- Yang, L.; Li, Y.; Zhang, B.; Wu, T.; Zhao, Y.; Hou, J. 30-W Supercontinuum Generation Based on ZBLAN Fiber in an All-Fiber Configuration. Photon. Res. 2019, 7, 1061. [Google Scholar] [CrossRef]
- Yang, L.; Zhang, B.; He, X.; Deng, K.; Liu, S.; Hou, J. 20.6 W Mid-Infrared Supercontinuum Generation in ZBLAN Fiber With Spectrum of 1.9–4.3 Μm. J. Light. Technol. 2020, 38, 5122–5127. [Google Scholar] [CrossRef]
- Dai, S.; Wang, Y.; Peng, X.; Zhang, P.; Wang, X.; Xu, Y. A Review of Mid-Infrared Supercontinuum Generation in Chalcogenide Glass Fibers. Appl. Sci. 2018, 8, 707. [Google Scholar] [CrossRef]
- Adamu, A.I.; Habib, M.S.; Petersen, C.R.; Lopez, J.E.A.; Zhou, B.; Schülzgen, A.; Bache, M.; Amezcua-Correa, R.; Bang, O.; Markos, C. Deep-UV to Mid-IR Supercontinuum Generation Driven by Mid-IR Ultrashort Pulses in a Gas-Filled Hollow-Core Fiber. Sci. Rep. 2019, 9, 4446. [Google Scholar] [CrossRef]
- Le, H.V.; Hoang, V.T.; Nguyen, H.T.; Long, V.C.; Buczynski, R.; Kasztelanic, R. Supercontinuum Generation in Photonic Crystal Fibers Infiltrated with Tetrachloroethylene. Opt. Quant. Electron. 2021, 53, 187. [Google Scholar] [CrossRef]
- Anashkina, E.A.; Andrianov, A.V.; Koptev, M.Y.; Muravyev, S.V.; Kim, A.V. Towards Mid-Infrared Supercontinuum Generation with Germano-Silicate Fibers. IEEE J. Select. Top. Quantum Electron. 2014, 20, 643–650. [Google Scholar] [CrossRef]
- Yin, K.; Zhang, B.; Yao, J.; Yang, L.; Liu, G.; Hou, J. 19–36 Μm Supercontinuum Generation in a Very Short Highly Nonlinear Germania Fiber with a High Mid-Infrared Power Ratio. Opt. Lett. 2016, 41, 5067. [Google Scholar] [CrossRef]
- Jain, D.; Sidharthan, R.; Moselund, P.M.; Yoo, S.; Ho, D.; Bang, O. Record Power, Ultra-Broadband Supercontinuum Source Based on Highly GeO_2 Doped Silica Fiber. Opt. Express 2016, 24, 26667. [Google Scholar] [CrossRef]
- Yang, L.; Zhang, B.; Yin, K.; Yao, J.; Liu, G.; Hou, J. 06-32 Μm Supercontinuum Generation in a Step-Index Germania-Core Fiber Using a 44 KW Peak-Power Pump Laser. Opt. Express 2016, 24, 12600. [Google Scholar] [CrossRef] [PubMed]
- Wang, X.; Yao, C.; Li, P.; Wu, Y.; Yang, L.; Ren, G.; Wang, C. All-Fiber High-Power Supercontinuum Laser Source over 3.5 Μm Based on a Germania-Core Fiber. Opt. Lett. 2021, 46, 3103. [Google Scholar] [CrossRef] [PubMed]
- Zhang, M.; Kelleher, E.J.R.; Runcorn, T.H.; Mashinsky, V.M.; Medvedkov, O.I.; Dianov, E.M.; Popa, D.; Milana, S.; Hasan, T.; Sun, Z.; et al. Mid-Infrared Raman-Soliton Continuum Pumped by a Nanotube-Mode-Locked Sub-Picosecond Tm-Doped MOPFA. Opt. Express 2013, 21, 23261. [Google Scholar] [CrossRef]
- Bobkov, K.K.; Levchenko, A.E.; Salganskii, M.Y.; Ganin, D.V.; Lyashedko, A.D.; Khudyakov, D.V.; Likhachev, M.E. Triple-Clad Optical Fibre for Pulse Stretching. Quantum Electron. 2021, 51, 894–900. [Google Scholar] [CrossRef]
- Bobkov, K.; Andrianov, A.; Koptev, M.; Muravyev, S.; Levchenko, A.; Velmiskin, V.; Aleshkina, S.; Semjonov, S.; Lipatov, D.; Guryanov, A.; et al. Sub-MW Peak Power Diffraction-Limited Chirped-Pulse Monolithic Yb-Doped Tapered Fiber Amplifier. Opt. Express 2017, 25, 26958. [Google Scholar] [CrossRef]
- Kosolapov, A.F.; Semjonov, S.L.; Denisov, A.N. Mechanical Properties of Microstructured High-Purity Silica Fibers. Inorg. Mater. 2007, 43, 310–314. [Google Scholar] [CrossRef]
- Denisov, A.N.; Semjonov, S.L. Microstructured Optical Fibres with a Wide Single-Mode Range. Quantum Electron. 2021, 51, 240–247. [Google Scholar] [CrossRef]
- Muraviev, S.V.; Dorofeev, V.V.; Motorin, S.E.; Koptev, M.Y.; Kim, A.V. Broadband Gain Performance in the Mid-IR Using Supercontinuum: 2.7 Μm Gain in High-Purity Er3+ Doped Tungsten Tellurite Glass Fibers. Appl. Opt. 2022, 61, 9701. [Google Scholar] [CrossRef]






| Nonlinear Fiber [Reference] | Pump Source | SC Range |
|---|---|---|
| Silica PCF [11] | Yb-fiber laser | 0.4–2.25 μm |
| Silica PCF [12] | Yb-fiber laser | 0.35–2.4 μm |
| GeO2-doped fiber [20] | Er- and Tm-fiber lasers | 1–2.6 μm, 1.9–3 μm |
| GeO2-doped fiber [22] | Er-fiber laser | 0.7–3.2 μm |
| GeO2-doped fiber [23] | Er-fiber laser | 0.6–3.2 μm |
| GeO2-doped fiber [24] | Tm-fiber laser | 1.74–3.5 μm |
| GeO2-doped fiber [25] | Tm-fiber laser | 1.9–3 μm |
| ZBLAN fiber [15] | Tm-fiber laser | 1.9–3.3 μm |
| ZBLAN fiber [16] | Tm-fiber laser | 1.9–4.3 μm |
| Silica PCF-GeO2 cascade 1 | Yb-fiber laser | 0.45–2.95 μm |
Disclaimer/Publisher’s Note: The statements, opinions and data contained in all publications are solely those of the individual author(s) and contributor(s) and not of MDPI and/or the editor(s). MDPI and/or the editor(s) disclaim responsibility for any injury to people or property resulting from any ideas, methods, instructions or products referred to in the content. |
© 2023 by the authors. Licensee MDPI, Basel, Switzerland. This article is an open access article distributed under the terms and conditions of the Creative Commons Attribution (CC BY) license (https://creativecommons.org/licenses/by/4.0/).
Share and Cite
Koptev, M.Y.; Zaprialov, A.E.; Kosolapov, A.F.; Denisov, A.N.; Muravyeva, M.S.; Semjonov, S.L.; Muravyev, S.V.; Kim, A.V. Visible to Mid-IR Supercontinuum Generation in Cascaded PCF-Germanate Fiber Using Femtosecond Yb-Fiber Pump. Fibers 2023, 11, 72. https://doi.org/10.3390/fib11090072
Koptev MY, Zaprialov AE, Kosolapov AF, Denisov AN, Muravyeva MS, Semjonov SL, Muravyev SV, Kim AV. Visible to Mid-IR Supercontinuum Generation in Cascaded PCF-Germanate Fiber Using Femtosecond Yb-Fiber Pump. Fibers. 2023; 11(9):72. https://doi.org/10.3390/fib11090072
Chicago/Turabian StyleKoptev, Maksim Yu., Alexander E. Zaprialov, Alexey F. Kosolapov, Alexander N. Denisov, Maria S. Muravyeva, Sergey L. Semjonov, Sergey V. Muravyev, and Arkady V. Kim. 2023. "Visible to Mid-IR Supercontinuum Generation in Cascaded PCF-Germanate Fiber Using Femtosecond Yb-Fiber Pump" Fibers 11, no. 9: 72. https://doi.org/10.3390/fib11090072
APA StyleKoptev, M. Y., Zaprialov, A. E., Kosolapov, A. F., Denisov, A. N., Muravyeva, M. S., Semjonov, S. L., Muravyev, S. V., & Kim, A. V. (2023). Visible to Mid-IR Supercontinuum Generation in Cascaded PCF-Germanate Fiber Using Femtosecond Yb-Fiber Pump. Fibers, 11(9), 72. https://doi.org/10.3390/fib11090072

