Numerical Study on the Influence of Shaping Air Holes on Atomization Performance in Pneumatic Atomizers
Abstract
1. Introduction
2. Numerical Setup
2.1. Pneumatic Atomizer Geometry
2.2. Mathematical Model
2.2.1. Gas Phase
2.2.2. Discrete Phase
2.3. Computational Domain and Initial Conditions
3. Results and Discussion
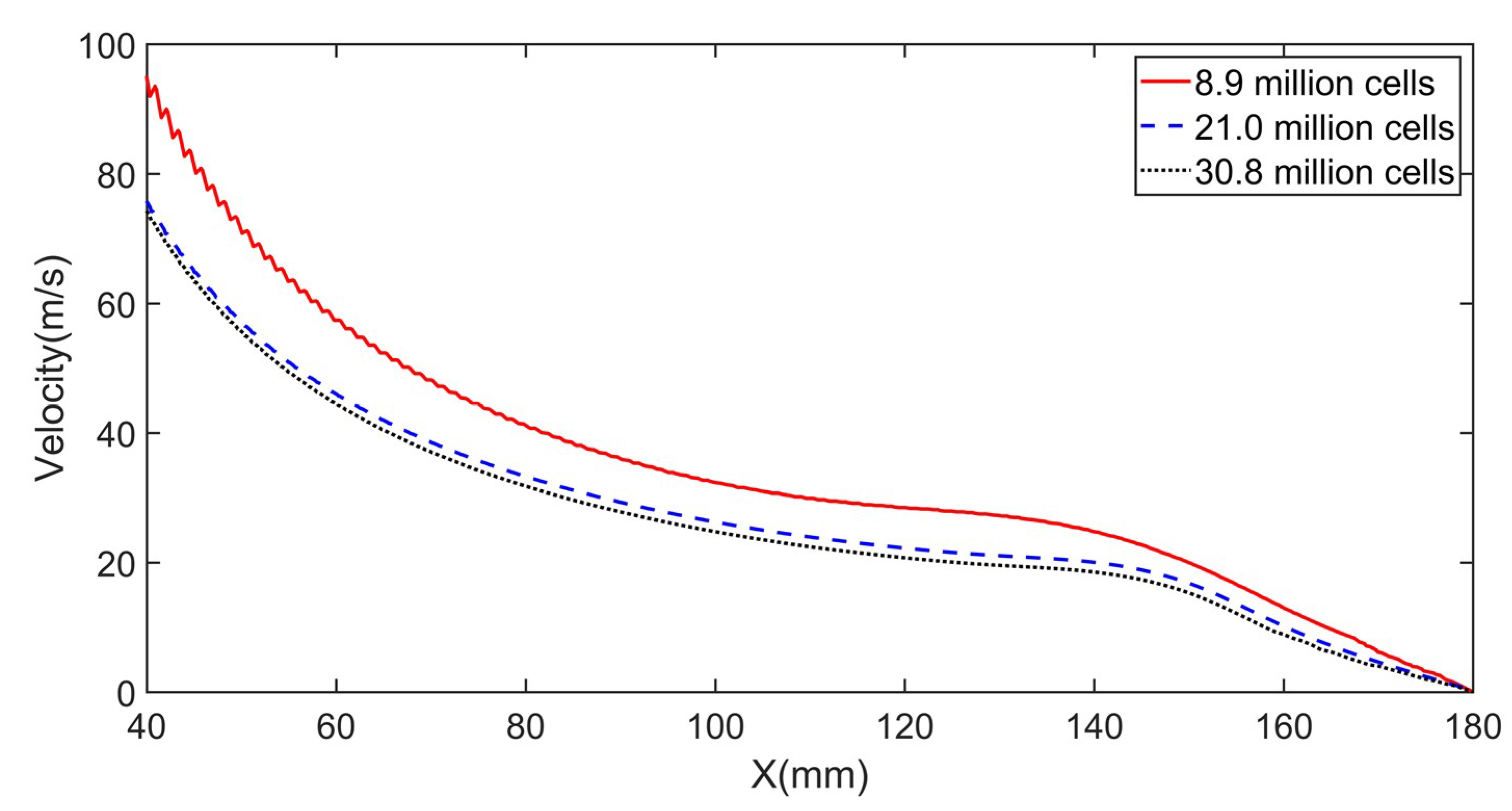
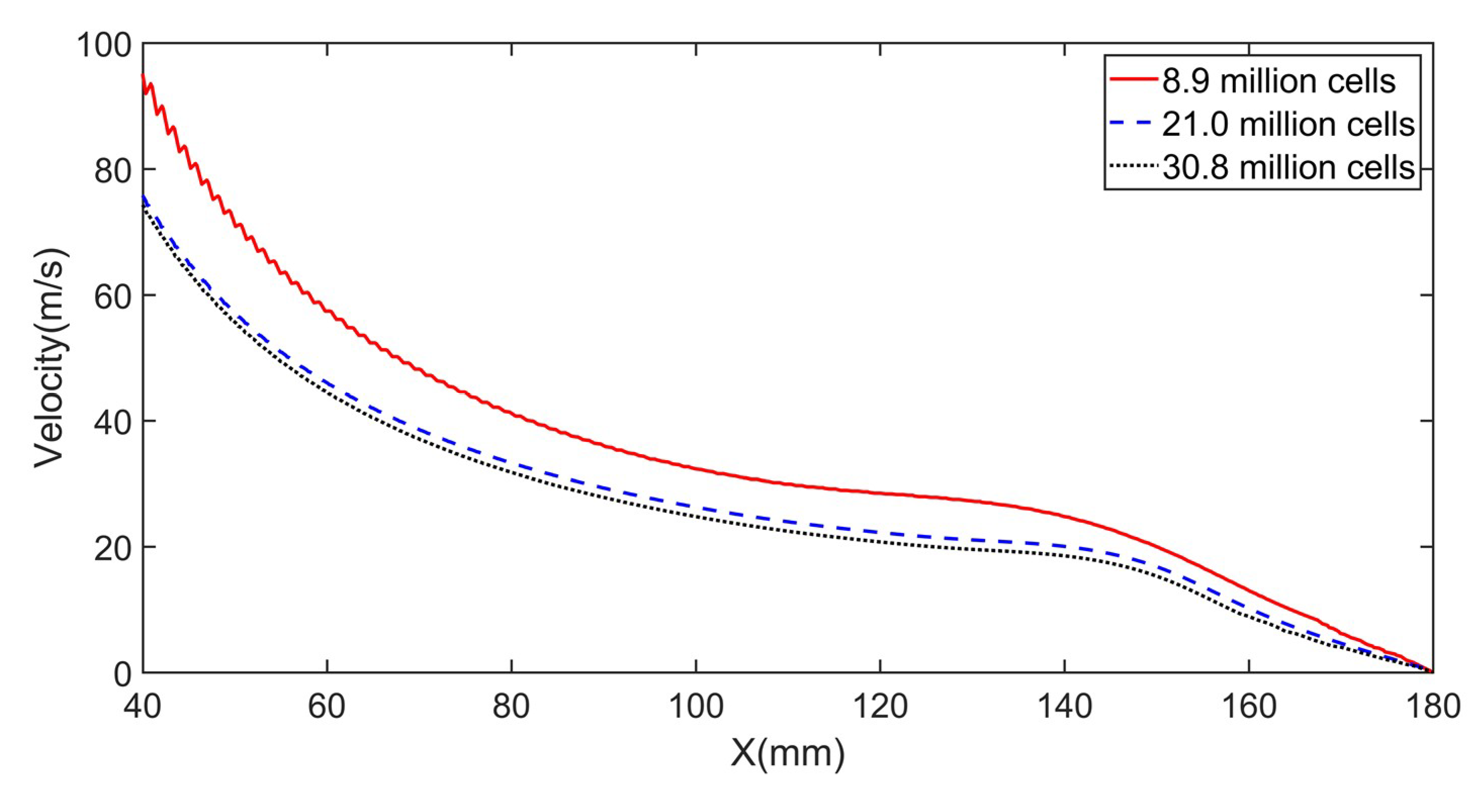
3.1. Experimental Verification
3.2. Simulation Results of the Gas Phase
3.2.1. Gas Flow Field
3.2.2. Target Surface
3.3. Simulation Results of Gas-Liquid Phase
3.4. The Pressure of Shaping Air Holes
4. Conclusions
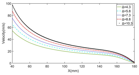
- The nozzle that had the largest distance between intersection and paint hole shows the strongest overspray characteristics. In the case that Δ = 10.3, the high-pressure area and droplet distribution were more concentrated on the target surface, and droplet diameter was large. Therefore, the nozzle that had small Δ could achieve better atomization characteristics. However, if Δ was too small, 4.3 for example, the maximum pressure on the target surface was low due to the large dissipation of energy at the intersection. The result of this was a spraying pattern with fuzzy edges.
- Upon increasing shaping air pressure, the spraying pattern on the target surface became narrow and the maximum pressure on the target surface was smaller. However, ovality was more easily affected in nozzle spraying with small Δ.
- When the above two factors were combined for the spray-coating process, small Δ with large shaping air pressure could reduce overspray. In the case that the nozzle had large Δ but small shaping air pressure, such as Δ = 10.3 and 30,000 Pa, the atomization characteristics were poor because central pressure and ovality were 360.83 Pa and 3.3, respectively, which means a round and concentrated spraying pattern.
Author Contributions
Funding
Conflicts of Interest
References
- Ye, Q.; Domnick, J.; Khalifa, E. Simulation of the spray coating process using a pneumatic atomizer. In Proceedings of the ILASS-Europe, Zaragoza, Spain, 9–11 September 2002. [Google Scholar]
- Schäfer, W.; Rosenkranz, S.; Brinckmann, F.; Tropea, C. Analysis of pneumatic atomizer spray profiles. Particuology 2016, 29, 80–85. [Google Scholar] [CrossRef]
- Ye, Q.; Pulli, K. Numerical and experimental investigation on the spray coating process using a pneumatic atomizer: Influences of operating conditions and target geometries. Coatings 2017, 7, 13. [Google Scholar] [CrossRef]
- Qian, L.; Song, S.; Li, X. A new spray approach to produce uniform ultrafine coatings. J. Nanotechnol. 2018, 2018, 8978541. [Google Scholar] [CrossRef]
- Ye, Q.; Domnick, J. Analysis of droplet impingement of different atomizers used in spray coating processes. J. Coat. Technol. Res. 2017, 14, 467–476. [Google Scholar] [CrossRef]
- Fogliati, M.; Fontana, D.; Garbero, M.; Vanni, M.; Baldi, G.; Dondè, R. CFD simulation of paint deposition in an air spray process. J. Coat. Technol. Res. 2006, 3, 117–125. [Google Scholar] [CrossRef]
- Liu, B.Y.H.; Kwok, K.C.; Liu, B.Y.H. How atomization affects transfer efficiency. Ind. Finish. May 1992, 28–32. [Google Scholar]
- Lee, I.; Kim, D.; Koo, J. Liquid jet breakup structure and transfer efficiency of a two-stage air-blast injector. Atomization Spray. 2012, 22, 561–579. [Google Scholar] [CrossRef]
- Qian, L.; Lin, J.; Xiong, H. Simulation of droplet-gas flow in the effervescent atomization spray with an impinging plate. Chin. J. Chem. Eng. 2009, 17, 8–19. [Google Scholar] [CrossRef]
- Hicks, P.G.; Senser, D.W. Simulation of paint transfer in an air spray process. J. Fluids Eng. 1995, 117, 713. [Google Scholar] [CrossRef]
- Mlkvik, M.; Stähle, P.; Schuchmann, H.P.; Gaukel, V.; Jedelsky, J.; Jicha, M. Twin-fluid atomization of viscous liquids: The effect of atomizer construction on breakup process, spray stability and droplet size. Int. J. Multiphase Flow 2015, 77, 19–31. [Google Scholar] [CrossRef]
- Ashgriz, N. Handbook of Atomization and Sprays: Theory and Applications; Springer: New York, NY, USA, 2011; ISBN 978-1-4419-7264-4. [Google Scholar]
- Chen, S.K.; Lefebvre, A.H. Spray Cone Angles of Effervescent Atomizers. Atomization Spray. 1994, 4, 291–301. [Google Scholar] [CrossRef]
- Jedelský, J.; Jícha, M. Spray characteristics and liquid distribution of multi-hole effervescent atomisers for industrial burners. Appl. Therm. Eng. 2016, 96, 286–296. [Google Scholar] [CrossRef]



















| Materials | Density (kg/m3) | Surface Tension (mN/m) | Viscosity (Pa·s) | Temperature (°C) |
|---|---|---|---|---|
| Water | 998.2 | 73.5 | 0.89 × 10−3 | 20 ± 2 |
| Air | 1.185 | – | 1.83 × 10−5 | 20 ± 2 |
| Liquid flow rate | 316 mL/min |
| Annual air flow rate | 90.5 L/min |
| Assisting air flow rate | 31.8 L/min |
| Shaping air flow rate | 71.2 L/min |
| Case Number | 1 | 2 | 3 | 4 | 5 |
|---|---|---|---|---|---|
| Δ | 4.3 | 5.8 | 7.3 | 8.8 | 10.3 |
© 2019 by the authors. Licensee MDPI, Basel, Switzerland. This article is an open access article distributed under the terms and conditions of the Creative Commons Attribution (CC BY) license (http://creativecommons.org/licenses/by/4.0/).
Share and Cite
Li, W.; Qian, L.; Song, S.; Zhong, X. Numerical Study on the Influence of Shaping Air Holes on Atomization Performance in Pneumatic Atomizers. Coatings 2019, 9, 410. https://doi.org/10.3390/coatings9070410
Li W, Qian L, Song S, Zhong X. Numerical Study on the Influence of Shaping Air Holes on Atomization Performance in Pneumatic Atomizers. Coatings. 2019; 9(7):410. https://doi.org/10.3390/coatings9070410
Chicago/Turabian StyleLi, Wentao, Lijuan Qian, Shaobo Song, and Xiaokai Zhong. 2019. "Numerical Study on the Influence of Shaping Air Holes on Atomization Performance in Pneumatic Atomizers" Coatings 9, no. 7: 410. https://doi.org/10.3390/coatings9070410
APA StyleLi, W., Qian, L., Song, S., & Zhong, X. (2019). Numerical Study on the Influence of Shaping Air Holes on Atomization Performance in Pneumatic Atomizers. Coatings, 9(7), 410. https://doi.org/10.3390/coatings9070410
