Electrochromic Properties of Lithium-Doped Tungsten Oxide Prepared by Electron Beam Evaporation
Abstract
:1. Introduction
2. Experimental
2.1. Preparation of Materials
2.2. Preparation of Electrochromic Devices
2.3. Characterization and Analysis of Electrochromic Properties
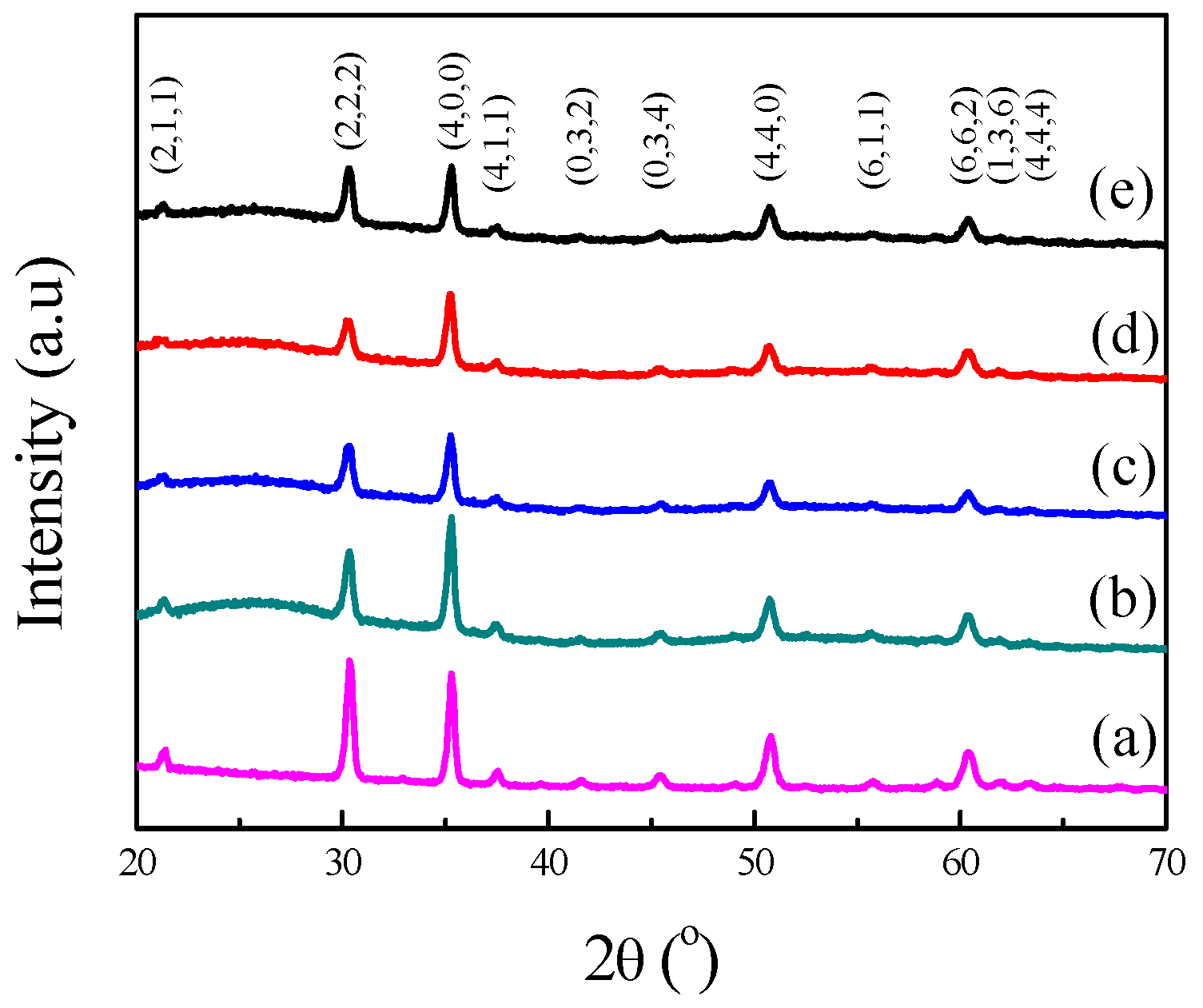
3. Results and Discussion
4. Conclusions
Author Contributions
Funding
Conflicts of Interest
References
- Lin, S.C. Low-E glass building materials market development. Materialsnet 2014, 332, 135–141. (In Chinese) [Google Scholar]
- Platt, J.R. Electrochromism, a possible change of color producible in dyes by an electric field. J. Chem. Phys. 1961, 34, 862–863. [Google Scholar] [CrossRef]
- Deb, S.K. A novel electrophotographic system. Appl. Opt. 1969, 3, 192–195. [Google Scholar] [CrossRef]
- Inaba, H.; Iwaku, M.; Tatsuma, T.; Oyama, N. Electrochemical intercalation of cations into an amorphous WO3 film and accompanying changes in mass and surface properties. J. Electroanal. Chem. 1995, 387, 71–77. [Google Scholar] [CrossRef]
- Avellaneda, C.O.; Bueno, P.R.; Bulhões, L.O. Synthesis and electrochromic behavior of lithium-doped WO3 films. J. Non-Cryst. Solids 2001, 290, 115–121. [Google Scholar] [CrossRef]
- Porqueras, U.; Bertran, E. Efficiency of Li doping on electrochromic WO3 thin films. Thin Solid Films 2000, 377, 129–133. [Google Scholar] [CrossRef]
- Samad, B.A.; Ashrit, P.V. Temperature dependence of the electrical conductivity of dry lithiated Tungsten trioxide thin films. Solid State Ion. 2015, 283, 52–55. [Google Scholar] [CrossRef]
- Lin, S.Y.; Wang, C.M.; Hsieh, P.T.; Chen, Y.C.; Shih, S.C.; Liu, C.C. A novel gel polymer electrolyte based on lithium salt with an ethyl cellulose. Colloid Polym. Sci. 2009, 287, 1355–1358. [Google Scholar] [CrossRef]
- Lin, S.Y.; Chen, Y.C.; Wang, C.M.; Wen, C.Y.; Shih, T.Y. Study of MoO3–NiO complementary electrochromic devices using a gel polymer electrolyte. Solid State Ion. 2012, 212, 81–87. [Google Scholar] [CrossRef]
- Hercules, D.M. Electron spectroscopy: Applications for chemical analysis. J. Chem. Educ. 2004, 81, 1751–1766. [Google Scholar] [CrossRef]
- Bange, K.; Gambke, T. Electrochromic materials for optical switching devices. Adv. Mater. 1990, 2, 10–16. [Google Scholar] [CrossRef]
- Chen, Y.C.; Wen, C.Y.; Wang, C.M.; Ho, C.W.; Lin, S.Y.; Chen, Y.L. Characterization of transition-metal oxide deposition on carbon electrodes for supercapacitor. Appl. Sci. 2016, 6, 413–420. [Google Scholar] [CrossRef]
- Avellaneda, C.O.; Bulhões, L.O.S. Intercalation in WO3 and WO3: Li films. Solid State Ion. 2003, 165, 59–64. [Google Scholar] [CrossRef]
- Yang, J.; Chen, R.; Fan, X.; Bao, S.; Zhu, W. Thermoelectric properties of silver-doped n-type Bi2Te3-based material prepared by mechanical alloying and subsequent hot pressing. J. Alloy. Compd. 2006, 407, 330–333. [Google Scholar] [CrossRef]
- Stafström, S.; Brédas, J.L.; Epstein, A.J.; Woo, H.S.; Tanner, D.B.; Huang, W.S.; MacDiarmid, A.G. Polaron lattice in highly conducting polyaniline: Theoretical and optical studies. Phys. Rev. Lett. 1987, 59, 1464–1467. [Google Scholar] [CrossRef] [PubMed]
- Zhou, J.; Luo, G.; Wei, Y.; Zheng, J.; Xu, C. Enhanced electrochromic performances and cycle stability of Nio-based thin films via Li-Ti co-doping prepared by sol-gel method. Electrochim. Acta 2015, 186, 182–191. [Google Scholar] [CrossRef]










| Li2O (wt.%) | Name | LixW1−xO |
|---|---|---|
| 0 | WO3 | WO3 |
| 0.71 | LW1 | Li0.1W0.9O2.75 |
| 1.58 | LW2 | Li0.2W0.8O2.5 |
| 2.68 | LW3 | Li0.3W0.7O2.25 |
| Material | WO3 LWO |
|---|---|
| Substrate | ITO/Glass (ITO: 7 Ω, 250 nm) |
| Accelerating voltage (kV) | 4 |
| Deposition rate (nm/s) | 0.5 |
| Rotation speed (rpm) | 40 |
| Base pressure (mPa) | 0.65 |
| Deposition temperature (K) | R.T. |
| Film thickness (nm) | 530 |
| Oxygen pressure (mPa) | none |
| Film | Bleaching Transmittance (Tb. %) | Coloring Transmittance (Tc. %) | Transmittance Change (ΔT %) | Intercalation Charge (Q, mC/cm2) | Optical Density (ΔOD) | Coloration Efficiency (η, cm2/C) |
|---|---|---|---|---|---|---|
| WO3 | 71.1 | 35.9 | 35.2 | 10.8 | 0.297 | 27.4 |
| LW1 | 78.5 | 34.6 | 43.9 | 9.2 | 0.356 | 38.7 |
| LW2 | 77.5 | 24.4 | 53.1 | 12.1 | 0.502 | 41.6 |
| LW3 | 77.5 | 28.9 | 48.6 | 11.2 | 0.428 | 38.2 |
| Name | Li (at.%) | W (at.%) | O (at.%) | LixW1−xO |
|---|---|---|---|---|
| WO3 | 0 | 25.6 | 74.4 | WO2.9 |
| LW2 | 4.9 | 22.7 | 72.4 | Li0.18W0.82O2.6 |
© 2019 by the authors. Licensee MDPI, Basel, Switzerland. This article is an open access article distributed under the terms and conditions of the Creative Commons Attribution (CC BY) license (http://creativecommons.org/licenses/by/4.0/).
Share and Cite
Chang, J.-Y.; Chen, Y.-C.; Wang, C.-M.; Wang, W.-N.; Wen, C.-Y.; Lin, J.-M. Electrochromic Properties of Lithium-Doped Tungsten Oxide Prepared by Electron Beam Evaporation. Coatings 2019, 9, 191. https://doi.org/10.3390/coatings9030191
Chang J-Y, Chen Y-C, Wang C-M, Wang W-N, Wen C-Y, Lin J-M. Electrochromic Properties of Lithium-Doped Tungsten Oxide Prepared by Electron Beam Evaporation. Coatings. 2019; 9(3):191. https://doi.org/10.3390/coatings9030191
Chicago/Turabian StyleChang, Jui-Yang, Ying-Chung Chen, Chih-Ming Wang, Wen-Nan Wang, Chih-Yu Wen, and Jyun-Min Lin. 2019. "Electrochromic Properties of Lithium-Doped Tungsten Oxide Prepared by Electron Beam Evaporation" Coatings 9, no. 3: 191. https://doi.org/10.3390/coatings9030191
APA StyleChang, J.-Y., Chen, Y.-C., Wang, C.-M., Wang, W.-N., Wen, C.-Y., & Lin, J.-M. (2019). Electrochromic Properties of Lithium-Doped Tungsten Oxide Prepared by Electron Beam Evaporation. Coatings, 9(3), 191. https://doi.org/10.3390/coatings9030191
