Electrochemical and Surface Analysis of 2-Phenylimidazole Adsorbed on Copper from Chloride Solution
Abstract
1. Introduction
2. Materials and Methods
3. Results and Discussion
3.1. Immersion Tests
3.2. Cyclic Voltammetry (CV) Measurements
3.3. Chronopotentiometry Measurements
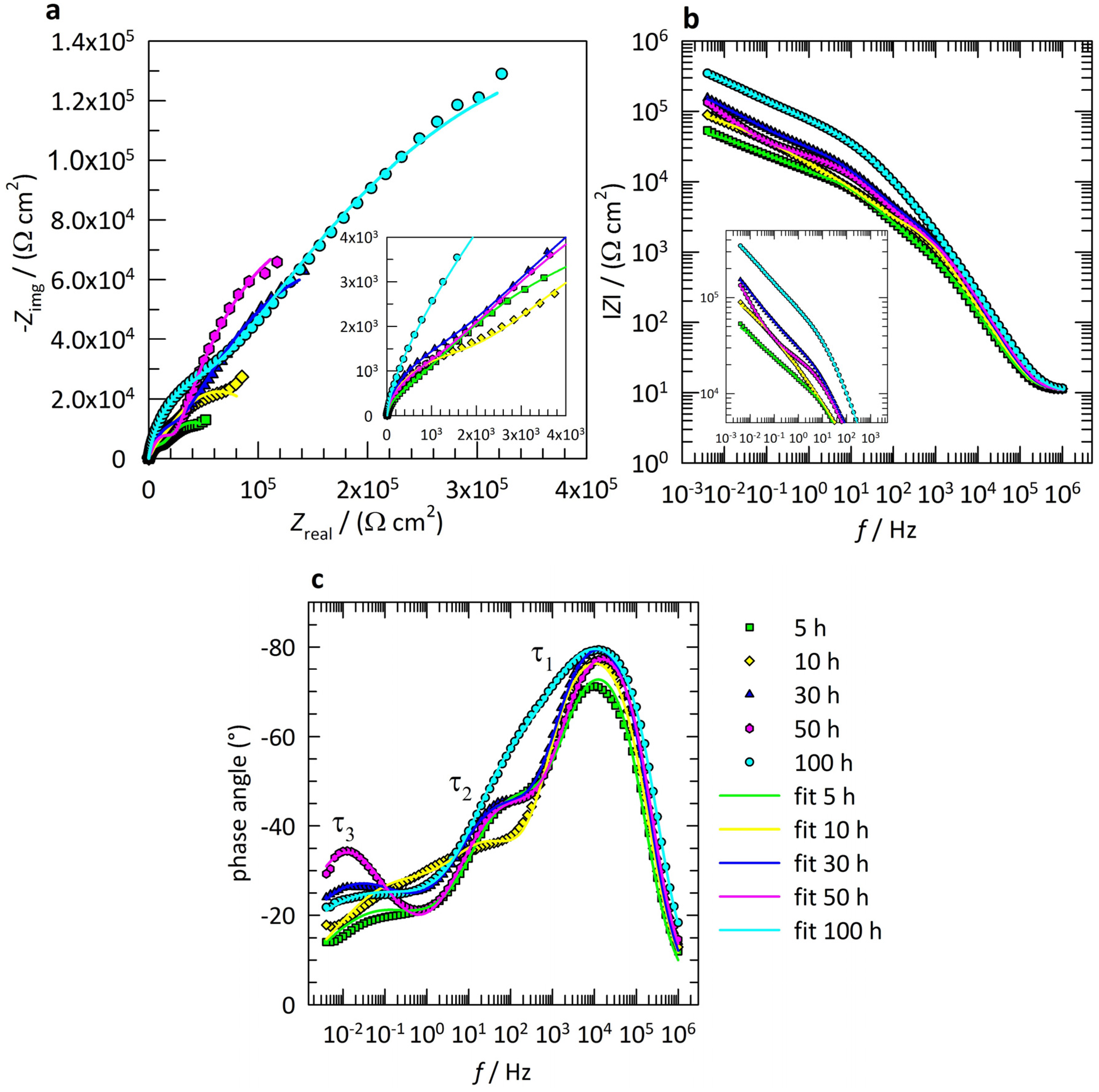
3.4. Electrochemical Impedance Spectroscopy (EIS) Measurements
3.5. Potentiodynamic Curve Measurements
3.6. Surface Characterization
3.6.1. Attenuated Total Reflectance Fourier Transform Infrared (ATR-FTIR) Measurements
3.6.2. Contact Angle Measurements
3.6.3. 3D-Profilometry Measurements
3.6.4. Field Emission Scanning Electron Microscopy (FE-SEM) Analysis
4. Conclusions
Author Contributions
Funding
Conflicts of Interest
References
- Koch, G.H.; Brongers, M.P.H.; Thompson, N.G. Corrosion Cost and Preventive Strategies in the Unites States; NACE International: Houston, TX, USA, 2014. [Google Scholar]
- Revie, R.W.; Uhlig, H.H. Corrosion and Corrosion Control: An Introduction to Corrosion Science and Engineering, 4th ed.; John Wiley & Sons Inc.: Hoboken, NJ, USA, 2008. [Google Scholar]
- McCafferty, E. Introduction to Corrosion Science; Springer Science+Bussiness Media, LLC: New York, NY, USA, 2010. [Google Scholar]
- Ahmad, Z. Principles of Corrosion Engineering and Corrosion Control, 1st ed.; Butterworth-Heinemann: Oxford, UK, 2006. [Google Scholar]
- Xhanari, K.; Finsgar, M. The first electrochemical and surface analysis of 2-aminobenzimidazole as a corrosion inhibitor for copper in chloride solution. New J. Chem. 2017, 41, 7151–7161. [Google Scholar] [CrossRef]
- Finšgar, M. Electrochemical analysis of 4-methyl-2-phenyl-imidazole adsorbed on Cu. Int. J. Electrochem. Sci. 2016, 11, 6775–6790. [Google Scholar] [CrossRef]
- Finšgar, M.; Kek Merl, D. 2-mercaptobenzoxazole as a copper corrosion inhibitor in chloride solution: Electrochemistry, 3D-profilometry, and XPS surface analysis. Corros. Sci. 2014, 80, 82–95. [Google Scholar] [CrossRef]
- Finšgar, M.; Kek Merl, D. An electrochemical, long-term immersion, and XPS study of 2-mercaptobenzothiazole as a copper corrosion inhibitor in chloride solution. Corros. Sci. 2014, 83, 164–175. [Google Scholar] [CrossRef]
- Finšgar, M. 2-mercaptobenzimidazole as a copper corrosion inhibitor: Part I. Long-term immersion, 3D-profilometry, and electrochemistry. Corros. Sci. 2013, 72, 82–89. [Google Scholar] [CrossRef]
- Finšgar, M.; Milošev, I. Corrosion study of copper in the presence of benzotriazole and its hydroxy derivative. Mater. Corros. 2011, 62, 956–966. [Google Scholar] [CrossRef]
- Finšgar, M.; Lesar, A.; Kokalj, A.; Milošev, I. A comparative electrochemical and quantum chemical calculation study of BTAH and BTAOH as copper corrosion inhibitors in near neutral chloride solution. Electrochim. Acta 2008, 53, 8287–8297. [Google Scholar] [CrossRef]
- Finšgar, M.; Milošev, I.; Pihlar, B. Inhibition of copper corrosion studied by electrochemical and EQCN techniques. Acta Chim. Slov. 2007, 54, 591–597. [Google Scholar]
- Finšgar, M. The first X-ray photoelectron spectroscopy surface analysis of 4-methyl-2-phenyl-imidazole adsorbed on copper. Anal. Methods 2015, 7, 6496–6503. [Google Scholar] [CrossRef]
- Massart, D.L.; Vandeginste, B.G.M.; Buydens, L.M.C.; Jong, S.D.; Lewi, P.J.; Smeyers-Verbeke, J. Handbook of Chemometrics and Qualimetrics: Part A; Elsevier: Amsterdam, The Netherlands, 1997. [Google Scholar]
- Lee, H.P.; Nobe, K. Kinetics and mechanisms of Cu electrodissolution in chloride media. J. Electrochem. Soc. 1986, 133, 2035–2043. [Google Scholar] [CrossRef]
- Kologo, S.; Eyraud, M.; Bonou, L.; Vacandio, F.; Massiani, Y. Voltametry and EQCM study of copper oxidation in acidic solution in presence of chloride ions. Electrochim. Acta 2007, 52, 3105–3113. [Google Scholar] [CrossRef]
- Crousier, J.; Pardessus, L.; Crousier, J.P. Voltammetry study of copper in chloride solution. Electrochim. Acta 1988, 33, 1039–1042. [Google Scholar] [CrossRef]
- Otmačić, H.; Telegdi, J.; Papp, K.; Stupnišek-Lisac, E. Protective properties of an inhibitor layer formed on copper in neutral chloride solution. J. Appl. Electrochem. 2004, 34, 545–550. [Google Scholar] [CrossRef]
- Van Ingelgem, Y.; Tourwé, E.; Vereecken, J.; Hubin, A. Application of multisine impedance spectroscopy, FE-AES and FE-SEM to study the early stages of copper corrosion. Electrochim. Acta 2008, 53, 7523–7530. [Google Scholar] [CrossRef]
- Silverman, D.C. Practical corrosion prediction using electrochemical techniques. In Uhlig Corrosion Handbook; Revie, R.W., Ed.; John Wiley and Sons: New York, NY, USA, 2000. [Google Scholar]
- Raistrick, I.D.; Franceschetti, D.R.; Macdonald, J.R. Impedance Spectroscopy Theory, Experiment and Application, 2nd ed.; John Wiley & Sons Inc.: Hoboken, NJ, USA, 2005. [Google Scholar]
- Kek Merl, D.; Panjan, P.; Kovač, J. Corrosion and surface study of sputtered Al–W coatings with a range of tungsten contents. Corros. Sci. 2013, 69, 359–368. [Google Scholar] [CrossRef]
- Tromans, D.; Sun, R.H. Anodic polarization of copper in aqueous chloride/benzotriazole solutions. J. Electrochem. Soc. 1991, 138, 3235–3244. [Google Scholar] [CrossRef]
- Bacarella, A.L.; Griess, J.C. The anodic dissolution of copper in flowing sodium chloride solutions between 25 °C and 175 °C. J. Electrochem. Soc. 1973, 120, 459–465. [Google Scholar] [CrossRef]
- Finšgar, M. 2-mercaptobenzimidazole as a copper corrosion inhibitor: Part II. Surface analysis using X-ray photoelectron spectroscopy. Corros. Sci. 2013, 72, 90–98. [Google Scholar] [CrossRef]
- Gerakines, P.A.; Schutte, W.A.; Greenberg, J.M.; van Dishoeck, E.F. The infrared band strengths of H2O, CO and CO2 in laboratory simulations of astrophysical ice mixtures. Astron. Astrophys. 1994, 296, 810–826. [Google Scholar]
- Bellamy, L.J. The Infrared Spectra of Complex Molecules, 3rd ed.; Wiley: New York, NY, USA, 1975. [Google Scholar]
- Sudha, S.; Karabacak, M.; Kurt, M.; Cinar, M.; Sundaraganesan, N. Molecular structure, vibrational spectroscopic, first-order hyperpolarizability and HOMO, LUMO studies of 2-aminobenzimidazole. Spectrochim. Acta Part A 2011, 84, 184–195. [Google Scholar] [CrossRef] [PubMed]
- Erdogdu, Y.; Eskioǧlu, B.; Güllüoǧlu, M.T. Theoretical investigations on the molecular structure and vibrational spectral analysis of 4-methyl 2-phenylimidazole. Opt. Spectrosc. 2012, 113, 596–606. [Google Scholar] [CrossRef]
- Koglin, E.; Witte, E.G.; Meier, R.J. The vibrational spectra of metabolites of methabenzthiazuron: 2-amino-benzothiazole and 2-(methylamino)benzothiazole. Vib. Spectrosc. 2003, 33, 49–61. [Google Scholar] [CrossRef]
- Böhlig, H.; Ackermann, M.; Billes, F.; Kudra, M. Vibrational analysis of benzothiazoline-2-thione. Spectrochim. Acta Part A 1999, 55, 2635–2646. [Google Scholar] [CrossRef]
- El-Azhary, A.A. A DFT study of the geometries and vibrational spectra of indene and some of its heterocyclic analogues, benzofuran, benzoxazole, bensothiophene, benzothiazole, indole and indazole. Spectrochim. Acta Part A 1999, 55, 2437–2446. [Google Scholar] [CrossRef]
- Güllüoğlu, M.T.; Erdogdu, Y.; Karpagam, J.; Sundaraganesan, N.; Yurdakul, Ş. DFT, FT-Raman, FT-IR and FT-NMR studies of 4-phenylimidazole. J. Mol. Struct. 2011, 990, 14–20. [Google Scholar] [CrossRef]











| Immersion Time (h) | χ2 | RΩ | n1 | R1 | Q1 | n2 | R2 | Q2 | n3 | R3 | Q3 |
|---|---|---|---|---|---|---|---|---|---|---|---|
| 5 | 1.06 | 10.78 | 0.93 | 1.08 | 0.25 | 0.67 | 10.86 | 4.79 | 0.47 | 59.98 | 67.45 |
| 10 | 0.68 | 10.56 | 0.93 | 2.34 | 0.21 | 0.66 | 13.74 | 6.91 | 0.47 | 105.10 | 32.00 |
| 30 | 0.16 | 10.74 | 0.97 | 2.30 | 0.12 | 0.65 | 28.09 | 3.57 | 0.48 | 308.70 | 30.56 |
| 50 | 0.16 | 10.54 | 0.95 | 1.69 | 0.12 | 0.64 | 24.13 | 4.17 | 0.62 | 275.70 | 61.95 |
| 100 | 0.16 | 10.28 | 0.94 | 5.07 | 0.12 | 0.64 | 48.78 | 1.01 | 0.41 | 785.30 | 9.94 |
| Sample Description | Average Contact Angle and Confidence Interval | Figure of the Drop Shapes on the Surface of the Samples |
|---|---|---|
| Ground copper sample immersed for 1 h in 3 wt.% NaCl solution | 43.0° ± 4.4° | ![]() |
| Ground copper sample immersed for 1 h in 3 wt.% NaCl solution containing 1 mM 2PhI | 76.0° ± 4.3° | ![]() |
© 2018 by the authors. Licensee MDPI, Basel, Switzerland. This article is an open access article distributed under the terms and conditions of the Creative Commons Attribution (CC BY) license (http://creativecommons.org/licenses/by/4.0/).
Share and Cite
Finšgar, M.; Xhanari, K. Electrochemical and Surface Analysis of 2-Phenylimidazole Adsorbed on Copper from Chloride Solution. Coatings 2018, 8, 234. https://doi.org/10.3390/coatings8070234
Finšgar M, Xhanari K. Electrochemical and Surface Analysis of 2-Phenylimidazole Adsorbed on Copper from Chloride Solution. Coatings. 2018; 8(7):234. https://doi.org/10.3390/coatings8070234
Chicago/Turabian StyleFinšgar, Matjaž, and Klodian Xhanari. 2018. "Electrochemical and Surface Analysis of 2-Phenylimidazole Adsorbed on Copper from Chloride Solution" Coatings 8, no. 7: 234. https://doi.org/10.3390/coatings8070234
APA StyleFinšgar, M., & Xhanari, K. (2018). Electrochemical and Surface Analysis of 2-Phenylimidazole Adsorbed on Copper from Chloride Solution. Coatings, 8(7), 234. https://doi.org/10.3390/coatings8070234


