Ultra-High-Performance Concrete Prepared with Manufactured Sand: Effects of Stone Powder Content on Fresh-State Fluidity and Mechanical Properties
Abstract
1. Introduction
2. Materials and Methods
2.1. Material
2.2. Design for the Gradation of Manufactured Sand and Cementitious Material Mix Proportion Based on the Compressible Packing Model (CPM)
2.2.1. A Concise Overview of Compressible Packing Model (CPM)
2.2.2. Design Steps Based on Compressible Packing Model
2.3. Test Methods
2.3.1. Measurement of Fluidity of Fresh UHPC Mixture
2.3.2. Assessment of Compressive, Tensile, Flexural, and Shear Strength of UHPC
2.3.3. Microstructure Examination
3. Results and Discussion
3.1. Optimal Mix Proportion Design for UHPC Incorporating Manufactured Sand
3.1.1. Gradation Design of Manufactured Sand and Optimization of Cementitious Material Composition
3.1.2. Orthogonal Design of Mix Proportions for Manufactured Sand-Based UHPC
3.2. Effect of Stone Powder Content on Fluidity and Mechanical Properties of UHPC Containing Manufactured Sand
3.2.1. Effect on Fluidity of UHPC
3.2.2. Effect on Mechanical Properties of UHPC
3.3. Influence of Stone Powder Content on the Microstructure of Manufactured Sand-Based UHPC
3.3.1. XRD Analysis
3.3.2. SEM Analysis
3.3.3. MIP Analysis
4. Conclusions
- (1)
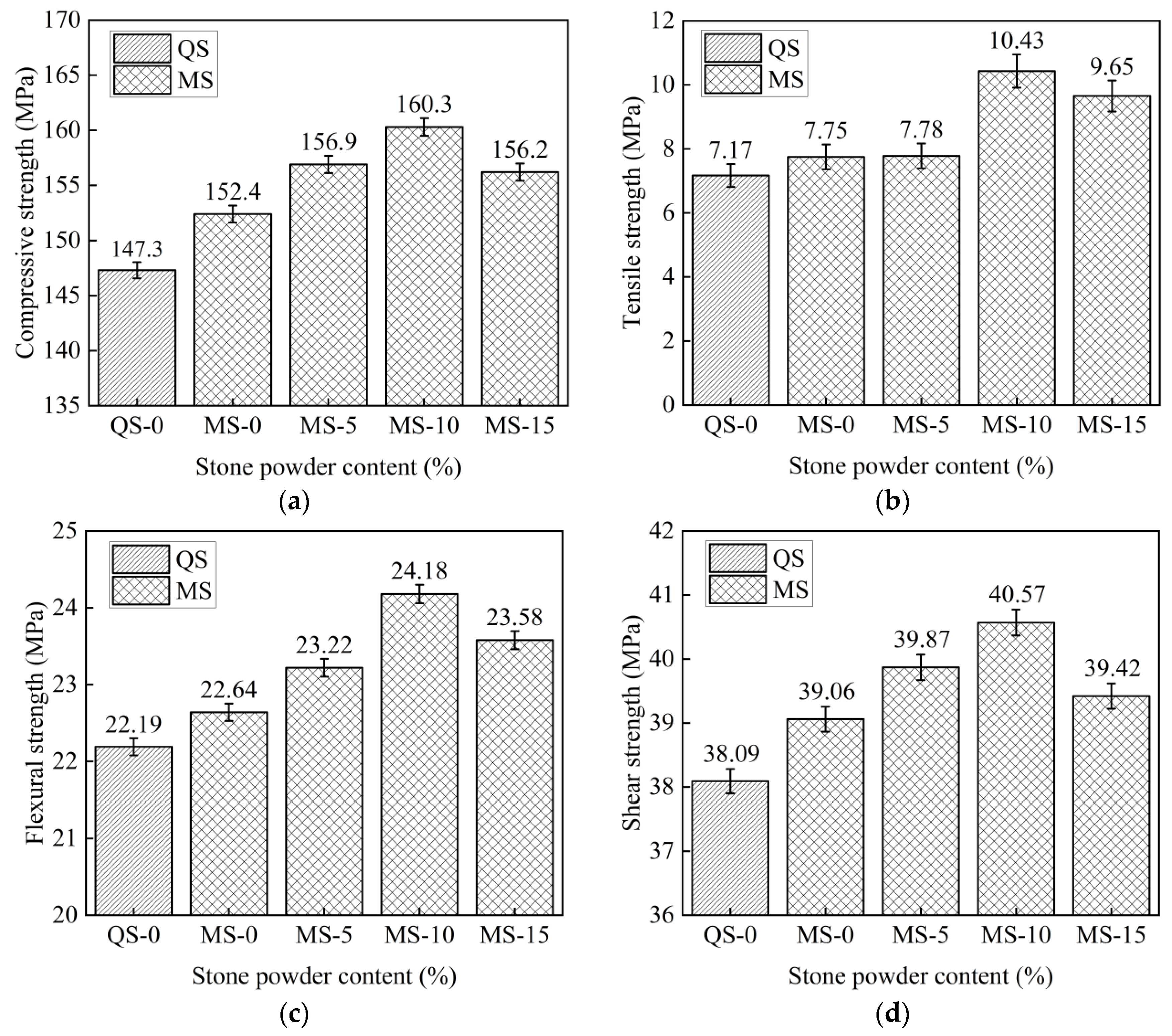
- When the manufactured sand is graded into three size fractions—1.18–0.60 mm, 0.60–0.30 mm, and 0.30–0.15 mm—with a mass distribution of 40:30:30, and the cementitious system comprises Portland cement, silica fume, and fly ash in mass proportions of 63:19:18, ultra-high-performance concrete (UHPC) incorporating manufactured sand as the sole fine aggregate achieves excellent fresh-state workability and enhanced mechanical performance through an optimized mix design. The finalized composition is: Portland cement, 738 kg/m3; silica fume, 230 kg/m3; fly ash, 210 kg/m3; granite-derived manufactured sand, 943 kg/m3; straight steel fibers, 196 kg/m3; polycarboxylate-based superplasticizer, 24 kg/m3; and a water-to-binder ratio of 0.16. Under this formulation, the UHPC exhibits a fresh-state workability of 185 mm and attains a 7-day compressive strength of 152.4 MPa.
- (2)
- The stone powder content in manufactured sand exerts a pronounced influence on both the fresh-state workability and mechanical performance of UHPC, encompassing compressive, tensile, flexural, and shear strengths. As the stone powder content increases from 0% to 5%, 10%, and 15% by mass of fine aggregate, UHPC workability first rises then declines, peaking at 194 mm with 10% stone powder—exceeding that of the quartz sand reference mixture (prepared with quartz sand as the sole fine aggregate) by 2.1% under identical mix proportions. Concurrently, all four mechanical properties improve progressively with rising stone powder content and attain their maxima at 10%. Specifically, compressive strength reaches 160.3 MPa (+8.8%), tensile strength 10.43 MPa (+45.5%), flexural strength 24.18 MPa (+8.9%), and shear strength 40.57 MPa (+6.5%), relative to the quartz sand reference values of 147.3 MPa, 7.17 MPa, 22.19 MPa, and 38.09 MPa, respectively.
- (3)
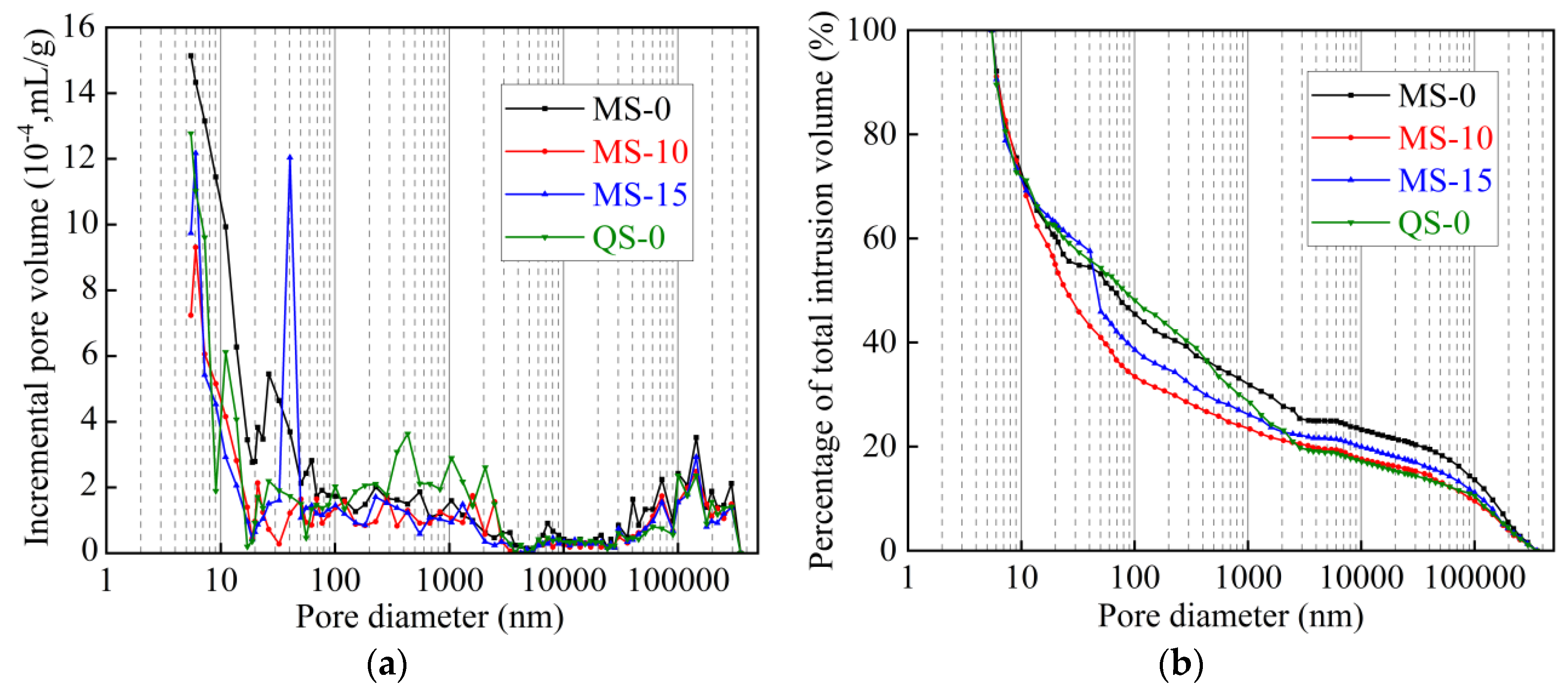
- Microstructural characterization of manufactured sand-based ultra-high-performance concrete (MS-UHPC) reveals that an optimal stone powder content (10 wt.%) accelerates the hydration of the cementitious paste, thereby promoting the formation of calcium silicate hydrate (C-S-H) and other hydration products. Concurrently, it improves particle packing density, yielding a more homogeneous and densified microstructure in the hardened matrix. SEM and XRD results show that at a 10% stone powder content, the hydration of clinker phases, particularly C3S and C2S, is markedly accelerated; unhydrated particles are uniformly enveloped by a continuous C-S-H gel network, resulting in a compact and low-defect cementitious matrix. MIP further demonstrates that this stone powder dosage minimizes total porosity to 2.06%, while suppressing highly harmful pores (≥200 nm) and harmful pores (100–200 nm) to 30.4% and 3.1% of the total pore volume, respectively. In contrast, the combined volume fraction of slightly harmful (20–50 nm) and harmless (<20 nm) pores reaches its maximum of 66.5%. Collectively, these microstructural refinements—improved particle packing, and optimized pore structure—directly underpin the superior mechanical performance of MS-UHPC.
Author Contributions
Funding
Institutional Review Board Statement
Informed Consent Statement
Data Availability Statement
Conflicts of Interest
Abbreviations
| UHPC | Ultra-high-Performance Concrete |
| MS | Manufactured Sand |
| QS | Quartz Sand |
| CPM | Compressible Packing Model |
| XRD | X-ray Diffraction |
| SEM | Scanning Electron Microscope |
| MIP | Mercury Intrusion Porosimetry |
References
- Huang, X.; Liu, T.S.; Ding, Q.J. Research summary of ultra-high performance concrete. Concrete 2019, 9, 36–38. [Google Scholar]
- Zhou, S.M.; Wang, W. Application of Ultra-High Performance Concrete Pavement System to Steel Bridge Deck. Bridge Constr. 2019, 49, 20–25. [Google Scholar]
- Ullah, R.; Yuan, Q.; Jawad, A. Ultra-High-Performance Concrete (UHPC): A State-of-the-Art Review. Materials 2022, 15, 4131. [Google Scholar] [CrossRef] [PubMed]
- Wu, C.; Li, J.; Su, Y. Development of Ultra-High Performance Concrete Against Blasts: From Materials to Structures; Woodhead Publishing: Cambridge, UK, 2018. [Google Scholar]
- Arulmoly, B.; Konthesingha, C.; Nanayakkara, A. Performance evaluation of cement mortar produced with manufactured sand and offshore sand as alternatives for river sand. Constr. Build. Mater. 2021, 297, 123784. [Google Scholar] [CrossRef]
- Shao, X.D.; Fan, W.; Huang, Z.Y. Application of Ultra-High-Performance Concrete in engineering structures. China Civ. Eng. J. 2021, 54, 1–13. [Google Scholar]
- Zheng, K.P.; Ge, H.S.; Li, Z.C.; Liu, G.Y.; Tian, G.W.; Wang, W.Z.; Xu, G.H.; Sun, Z.P. Influence and mechanism of river sand and quartz sand on properties of steam-cured ultra-high performance concrete. Mater. Rep. 2024, 38, 79–84. [Google Scholar]
- Jiao, Y.B.; Zhang, Y.; Guo, M. Mechanical and fracture properties of ultra-high performance concrete (UHPC) containing waste glass sand as partial replacement material. J. Clean. Prod. 2020, 277, 123501. [Google Scholar] [CrossRef]
- Han, Z.; Zhang, Y.S.; Zhang, W.H. Study on comprehensive morphological parameters of manufactured sand based on CT scanning and entropy method and its application in rheology of manufactured sand mortar. Constr. Build. Mater. 2023, 370, 130628. [Google Scholar] [CrossRef]
- GB/T 14684-2022; Sand for Construction. China Building Industry Press: Beijing, China, 2022.
- Ma, R.; Zhang, L.; Chen, Z. Utilization of solid waste from tunnel excavation as manufactured sand with different lithology and pre-washing process for preparation of eco-friendly ultra-high performance concretes: Properties and microstructural analysis. J. Build. Eng. 2024, 82, 108252. [Google Scholar] [CrossRef]
- Shen, W.; Liu, Y.; Cao, L. Mixing design and microstructure of ultra high strength concrete with manufactured sand. Constr. Build. Mater. 2017, 143, 312–321. [Google Scholar] [CrossRef]
- Xiong, H.R.; Chen, J.; Wu, W.X. Study on compressive and flexural properties of RPC100 prepared by machine-made sand. New Technol. Prod. China 2022, 13, 130–132. [Google Scholar]
- Wille, K.; Boisvert-Coyulio, C. Material efficiency in the design of ultra-high performance concrete. Constr. Build. Mater. 2015, 86, 33–43. [Google Scholar] [CrossRef]
- Wang, Q.C.; Zhou, Y.J.; Zhan, W. Experimental study on ultra high performance concrete (UHPC) with manufactured sand. Concr. Cem. Prod. 2022, 5, 26–29+45. [Google Scholar]
- Liu, C. Study on Bending Performance Test and Calculation Method of Manufactured Sand Ultra-High Performance Concrete Beam. Ph.D. Thesis, Southeast University, Dhaka, Bangladesh, 2021. [Google Scholar]
- Yang, R.; Yu, R.; Shui, Z.H. The physical and chemical impact of manufactured sand as a partial replacement material in Ultra-High Performance Concrete (UHPC). Cem. Concr. Compos. 2019, 99, 203–213. [Google Scholar] [CrossRef]
- Bian, C.; Guo, J.Y.; Xiao, J.Z.; Zhao, C.J. Effect of nano metakaolin and fine aggregate on mechanical properties of UHPC. Mater. Rep. 2023, 37, 55–59. [Google Scholar]
- Chu, H.Y.; Jiang, J.Y.; Li, H. Effects of Eco-friendly Fine Aggregates on Mechanical Properties of Ultra-high Performance Concrete. Mater. Rep. 2020, 34, 24029–24033. [Google Scholar]
- Fu, T.; Liang, J.; Lan, Y. Effect of stone powder content on mechanical properties of manufactured sand concrete. Iran. J. Sci. Technol. Trans. Civ. Eng. 2022, 46, 4255–4264. [Google Scholar] [CrossRef]
- Wang, J.L. Study on the Influence and Mechanism of Machine-Made sand Characteristics on Concrete Performance. Ph.D. Thesis, Wuhan University of Technology, Wuhan, China, 2008. [Google Scholar]
- Wang, J.; Li, B.X.; Yang, J.B. The effect of stone powder content and steel fiber length on the properties of ultra-high performance concrete with manufactured sand. Bull. Chin. Silic. Soc. 2020, 39, 2120–2126. [Google Scholar]
- De, L.F. Concrete Mixture Proportioning: A Scientific Approach; CRC Press: Boca Raton, FL, USA, 1999. [Google Scholar]
- GB 175-2023; Common Portland Cement. China Building Industry Press: BeiJing, China, 2023.
- Amario, M.; Rangel, C.S.; Pepe, M. Optimization of normal and high strength recycled aggregate concrete mixtures by using packing model. Cem. Concr. Compos. 2017, 84, 83–92. [Google Scholar] [CrossRef]
- Andeasen, A.H.M. The relationship between grain gradation and the clearance in products from loosening grains (with some experiments). Kolloid-Z 1930, 50, 217–228. [Google Scholar]
- Aim, R.B.; Le, G.P. Effet de paroi dans les empilements désordonnés de sphères et application à la porosité de mélanges binaires. Powder Technol. 1968, 1, 281–290. [Google Scholar] [CrossRef]
- Ng, T.S.; Foster, S.J. Development of a mix design methodology for high-performance geopolymer mortars. Struct. Concr. 2013, 14, 148–156. [Google Scholar] [CrossRef]
- Brouwers, H.J.H. Particle-size distribution and packing fraction of geometric random packings. Phys. Rev. E—Stat. Nonlinear Soft Matter Phys. 2006, 74, 031309. [Google Scholar] [CrossRef]
- Peng, Y.Z.; Chen, K.; Hu, S.G. Study on interfacial properties of ultra-high performance concrete containing steel slag powder and fly ash. Adv. Mater. Res. 2011, 194, 956–960. [Google Scholar] [CrossRef]
- Peng, Y.; Hu, S.; Ding, Q. Dense packing properties of mineral admixtures in cementitious material. Particuology 2009, 7, 399–402. [Google Scholar] [CrossRef]
- Peng, Y.; Hu, S.; Ding, Q. Preparation of reactive powder concrete using fly ash and steel slag powder. J. Wuhan Univ. Technol.-Mater. Sci. Ed. 2010, 25, 349–354. [Google Scholar] [CrossRef]
- de Larrard, F.; Sedran, T. Mixture-proportioning of high-performance concrete. Cem. Concr. Res. 2002, 32, 1699–1704. [Google Scholar]
- Peng, Y.Z.; Li, X.; Liu, Y.J. Optimization for Mix Proportion of Reactive Powder Concrete Containing Phosphorous Slag by Using Packing Model. J. Adv. Concr. Technol. 2020, 18, 481–492. [Google Scholar] [CrossRef]
- Chen, J.X. Study on the Properties of Green Concrete Materials Based on Compressible Packing Model. Ph.D. Thesis, Shenzhen University, Shenzhen, China, 2015. [Google Scholar]
- Mohaddam, T.B.; Baaj, H. Application of compressible packing model for optimization of asphalt concrete mix design. Constr. Build. Mater. 2018, 159, 530–539. [Google Scholar] [CrossRef]
- de Andrade, G.P.; de Castro Polisseni, G.; Pepe, M. Design of structural concrete mixtures containing fine recycled concrete aggregate using packing model. Constr. Build. Mater. 2020, 252, 119091. [Google Scholar] [CrossRef]
- Roqier, G. The 4-parameter Compressible Packing Model (CPM) including a new theory about wall effect and loosening effect for spheres. Powder Technol. 2016, 302, 247–253. [Google Scholar] [CrossRef]
- GB/T 2419-2005; Test Method for Fluidity of Cement Mortar. China Building Industry Press: Beijing, China, 2005.
- Xu, G.; Jia, N.; Li, Y. New method for uniaxial tensile test of UHPFRC. Eng. Fract. Mech. 2025, 316, 110900. [Google Scholar] [CrossRef]
- China Building Materials Federation; China Concrete and Cement Products Association. T/CBMF 37-2018; Fundamental Characteristics and Test Methods of Ultra-High Performance Concrete; China Building Materials Federation: Beijing, China, 2018. [Google Scholar]
- Yang, J.; Li, Y.; Chen, B.C.; Xu, G.; Huang, Q.W. Research on UHPC direct tensile test method and constitutive relationship. Mater. Rep. 2024, 38, 153–161. [Google Scholar]
- GB/T 31387-2015; Reactive Powder Concrete. China Building Industry Press: Beijing, China, 2015.
- China Engineering Construction Standardization Association. CECS 13-2009; Standard Test Methods for Fiber Reinforced Concrete; China Plan Publishing House: Beijing, China, 2010. [Google Scholar]
- Nie, J.; Li, C.X.; Qian, G.P.; Pan, R.S.; Pei, B.D.; Deng, S. Effect of Shape and Content of Steel Fiber on Workability and Mechanical Properties of Ultra-High Performance Concrete. Mater. Rep. 2021, 35, 4042–4052. [Google Scholar]
- Wu, Z.; Shi, C.; He, W. Effects of steel fiber content and shape on mechanical properties of ultra high performance concrete. Constr. Build. Mater. 2016, 103, 8–14. [Google Scholar] [CrossRef]
- Yang, S.; Tang, Z.; Zhong, W. Effects of steel fibers on the dynamic properties and failure process of ultra-high performance concrete. J. Build. Eng. 2022, 62, 105415. [Google Scholar] [CrossRef]
- Liu, K.; Song, R.; Li, J. Effect of steel fiber type and content on the dynamic tensile properties of ultra-high performance cementitious composites (UHPCC). Constr. Build. Mater. 2022, 342, 127908. [Google Scholar] [CrossRef]
- Yan, Y.M.; Gao, D.Y.; Yang, L. Evaluation method of shear toughness for steel fiber-reinforced concrete containing recycled coarse aggregate. Struct. Concr. 2023, 24, 2879–2893. [Google Scholar] [CrossRef]
- Wang, D.; Shi, C.; Farzadnia, N. A review on use of limestone powder in cement-based materials: Mechanism, hydration and microstructures. Constr. Build. Mater. 2018, 181, 659–672. [Google Scholar] [CrossRef]
- Cyr, M.; Lawrence, P.; Ringot, E. Efficiency of mineral admixtures in mortars: Quantification of the physical and chemical effects of fine admixtures in relation with compressive strength. Cem. Concr. Res. 2006, 36, 264–277. [Google Scholar] [CrossRef]
- Zhou, M.; Wu, Z.M.; OuYang, X.; Hu, X.; Shi, C.J. Effects of Composition and Aggregate Characteristics on the Flowability and Compressive Strength of UHPC Matrix. Mater. Rep. 2023, 37, 97–105. [Google Scholar]
- Lu, Z.; Feng, Z.G.; Yao, D.D.; Ji, H.R.; Qin, W.J.; Yu, L.M. Analysis of influencing factors on workability and strength of ultra-high performance concrete. Mater. Rep. 2020, 34, 203–208. [Google Scholar]
- Ragalwar, K.; Heard, W.F.; Williams, B.A. Significance of the particle size distribution modulus for strain-hardening-ultra-high performance concrete (SH-UHPC) matrix design. Constr. Build. Mater. 2020, 234, 117423. [Google Scholar] [CrossRef]
- Shen, P.L.; Lu, L.N.; He, Y.J. The effect of curing regimes on the mechanical properties, nano-mechanical properties and microstructure of ultra-high performance concrete. Cem. Concr. Res. 2019, 118, 1–13. [Google Scholar] [CrossRef]
- Xu, X.; Jin, Z.; Yu, Y. Impact properties of Ultra High Performance Concrete (UHPC) cured by steam curing and standard curing. Case Stud. Constr. Mater. 2022, 17, e01321. [Google Scholar] [CrossRef]
- Divet, L.; Randriambololona, R. Delayed ettringite formation: The effect of temperature and basicity on the interaction of sulphate and CSH phase. Cem. Concr. Res. 1998, 28, 357–363. [Google Scholar] [CrossRef]
- Wu, Z.W.; Lian, H.Z. High Performance Concrete; China Railway Publishing House: Beijing, China, 1999; pp. 1–30. [Google Scholar]
- Shen, P.; Lu, L.; He, Y. Experimental investigation on the autogenous shrinkage of steam cured ultra-high performance concrete. Constr. Build. Mater. 2018, 162, 512–522. [Google Scholar] [CrossRef]













| Density (kg/m3) | Specific Surface Area (m2/kg) | Setting Time (min) | Compressive Strength (MPa) | Flexural Strength (MPa) | |||
|---|---|---|---|---|---|---|---|
| Initial | Final | 3 d | 28 d | 3 d | 28 d | ||
| 3060 | 372 | 151 | 204 | 30.7 | 60.4 | 6.3 | 8.7 |
| SiO2 | Al2O3 | Fe2O3 | CaO | K2O | SO3 | Loss on Ignition (%) | |
|---|---|---|---|---|---|---|---|
| C | 25.06 | 7.62 | 3.36 | 57.73 | 0.76 | 4.59 | 1.36 |
| SF | 98.22 | / | 0.05 | 0.63 | 0.4 | 0.44 | 1.48 |
| FA | 57.78 | 31.76 | 3.07 | 3.0 | 1.83 | / | 2.62 |
| Chemical Composition | SiO2 | Al2O3 | CaO | Fe2O3 | K2O | SO3 |
|---|---|---|---|---|---|---|
| Content (%) | 60.05 | 17.50 | 12.32 | 5.36 | 3.13 | 0.45 |
| Diameter (mm) | Length (mm) | Tensile Strength (MPa) | Elastic Modulus (GPa) | Density (kg/m3) |
|---|---|---|---|---|
| 0.2 | 13 | 2850 | 200 | 7850 |
| Factor | Water-to-Binder Mass Ratio (H) | Sand-to-Binder Mass Ratio (K) | Steel Fiber Volume Fraction/% (L) |
|---|---|---|---|
| Level | |||
| 1 | 0.14 | 0.8 | 1.5 |
| 2 | 0.16 | 1.0 | 2.0 |
| 3 | 0.18 | 1.2 | 2.5 |
| No. | MS | C | SF | FA | W | Steel Fiber | SP |
|---|---|---|---|---|---|---|---|
| H1K1L1 | 976 | 764 | 238 | 218 | 171 | 118 | 24 |
| H1K2L3 | 1104 | 692 | 215 | 197 | 155 | 196 | 22 |
| H1K3L2 | 1227 | 641 | 199 | 183 | 143 | 157 | 21 |
| H2K1L3 | 943 | 738 | 230 | 210 | 189 | 196 | 24 |
| H2K2L2 | 1085 | 680 | 212 | 194 | 174 | 157 | 22 |
| H2K3L1 | 1208 | 631 | 196 | 180 | 161 | 118 | 20 |
| H3K1L2 | 925 | 725 | 225 | 206 | 208 | 157 | 23 |
| H3K2L1 | 1067 | 669 | 208 | 190 | 192 | 118 | 21 |
| H3K3L3 | 1172 | 612 | 190 | 174 | 176 | 196 | 20 |
| Cementitious Materials 1 | W | Steel Fiber | SP | MS 2 | ||
|---|---|---|---|---|---|---|
| C | SF | FA | ||||
| 738 | 230 | 210 | 189 | 196 | 24 | 943 |
| No. | C | SF | FA | W | Steel Fiber | SP | QS | MS * | MS Stone Powder | |
|---|---|---|---|---|---|---|---|---|---|---|
| Mass | Content * | |||||||||
| MS-0 | 738 | 230 | 210 | 189 | 196 | 24 | / | 943 | 0 | 0 |
| MS-5 | 0 | 895.85 | 47.15 | 5% | ||||||
| MS-10 | 0 | 848.70 | 94.30 | 10% | ||||||
| MS-15 | 0 | 801.55 | 141.45 | 15% | ||||||
| QS-0 | 936 | / | / | / | ||||||
| No. | Total Invasion Volume (mL/g) | Most Probable Pore Diameter (nm) | Porosity (%) | Pore Diameter Distribution (%) | |||
|---|---|---|---|---|---|---|---|
| 5~20 nm (Harmless Pore) | 20~100 nm (Slightly Harmful Pore) | 100~200 nm (Harmful Pore) | >200 nm (Highly Harmful Pore) | ||||
| QS-0 | 0.017 | 5.5 | 3.77 | 37.6 | 14.2 | 5.0 | 43.2 |
| MS-0 | 0.012 | 5.5 | 2.72 | 39.7 | 14.8 | 4.6 | 40.9 |
| MS-10 | 0.009 | 6.0 | 2.06 | 45.1 | 21.4 | 3.1 | 30.4 |
| MS-15 | 0.010 | 6.0 | 2.31 | 37.0 | 24.3 | 3.9 | 34.8 |
Disclaimer/Publisher’s Note: The statements, opinions and data contained in all publications are solely those of the individual author(s) and contributor(s) and not of MDPI and/or the editor(s). MDPI and/or the editor(s) disclaim responsibility for any injury to people or property resulting from any ideas, methods, instructions or products referred to in the content. |
© 2026 by the authors. Licensee MDPI, Basel, Switzerland. This article is an open access article distributed under the terms and conditions of the Creative Commons Attribution (CC BY) license.
Share and Cite
Peng, Y.; Yin, H.; Ma, J.; Bao, Z.; Yang, J.; Xu, G. Ultra-High-Performance Concrete Prepared with Manufactured Sand: Effects of Stone Powder Content on Fresh-State Fluidity and Mechanical Properties. Coatings 2026, 16, 414. https://doi.org/10.3390/coatings16040414
Peng Y, Yin H, Ma J, Bao Z, Yang J, Xu G. Ultra-High-Performance Concrete Prepared with Manufactured Sand: Effects of Stone Powder Content on Fresh-State Fluidity and Mechanical Properties. Coatings. 2026; 16(4):414. https://doi.org/10.3390/coatings16040414
Chicago/Turabian StylePeng, Yanzhou, Hefei Yin, Jinlong Ma, Zhenyu Bao, Jian Yang, and Gang Xu. 2026. "Ultra-High-Performance Concrete Prepared with Manufactured Sand: Effects of Stone Powder Content on Fresh-State Fluidity and Mechanical Properties" Coatings 16, no. 4: 414. https://doi.org/10.3390/coatings16040414
APA StylePeng, Y., Yin, H., Ma, J., Bao, Z., Yang, J., & Xu, G. (2026). Ultra-High-Performance Concrete Prepared with Manufactured Sand: Effects of Stone Powder Content on Fresh-State Fluidity and Mechanical Properties. Coatings, 16(4), 414. https://doi.org/10.3390/coatings16040414

