Design Method for Stress Reduction of Multilayer Thin Films
Abstract
1. Introduction
2. Methods
3. Numerical Calculation and Experimental Test
3.1. Stress–Thickness Relationship Verification of Single-Layer Film
3.2. Multilayer Film Design and Verification
4. Discussion
5. Conclusions
- (1)
- The model accurately predicts stress in simple multilayer systems: for ITO films and six-layer dual-band antireflection coatings, test results matched theoretical calculations with deviations of ~6.6% and ~2.9%, respectively, verifying its effectiveness.
- (2)
- The model shows limitations in complex systems: for 16-layer broadband antireflection films with three materials, the stress deviation reached nearly 50%, mainly due to layer number effects, material mismatch, and evolving film properties during deposition.
- (3)
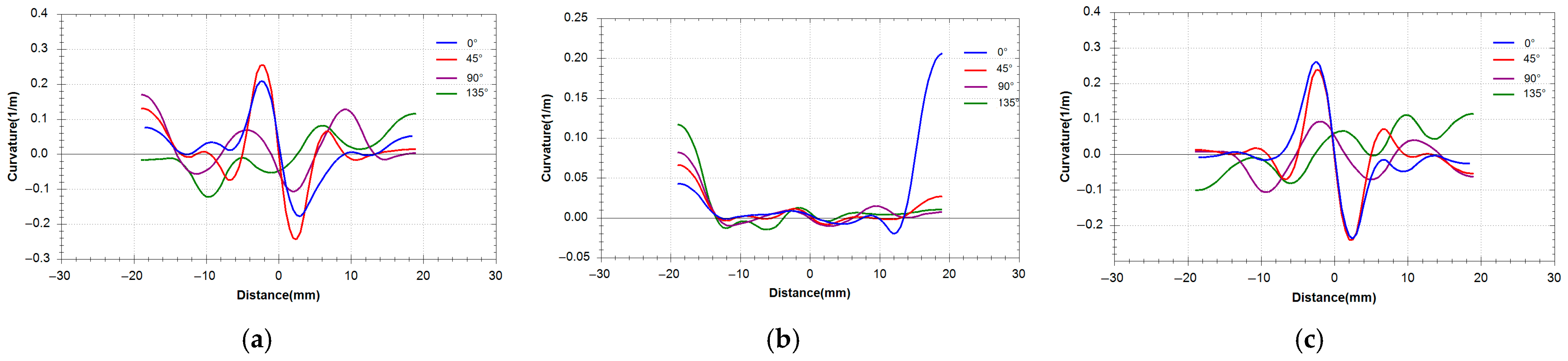
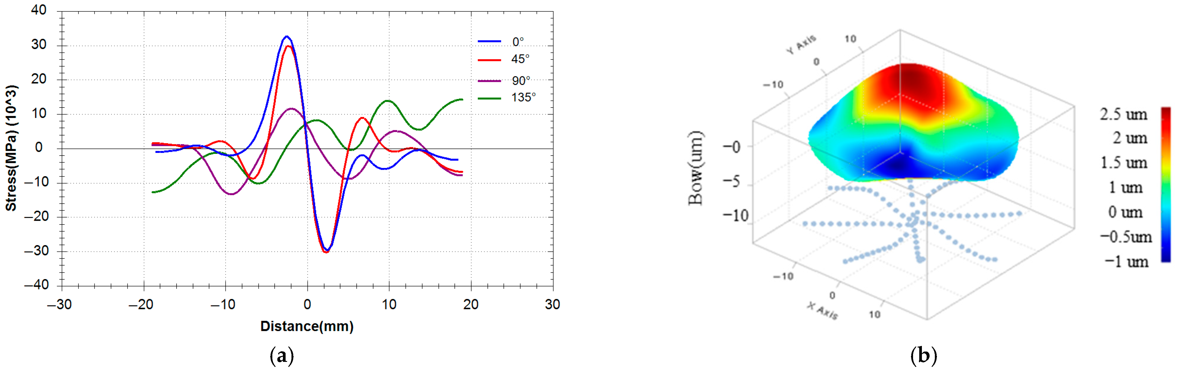
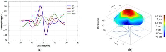
- Stress distribution uniformity is influenced by thickness gradients and substrate curvature, with better uniformity in the central area, providing guidance for process optimization (e.g., evaporator design and substrate flatness calibration).
- (4)
- Complementary characterization techniques (XRD, Raman, nanoindentation, and photoelasticimetry) can enhance stress measurement reliability, while model improvements (incorporating interfacial stress, adaptive parameters, and dynamic relaxation modeling) will extend its applicability to complex systems.
- (5)
- Good process repeatability and initial long-term stability indicate the method’s potential for practical applications, with further tests under extreme conditions planned to validate reliability.
Author Contributions
Funding
Institutional Review Board Statement
Informed Consent Statement
Data Availability Statement
Conflicts of Interest
References
- Galib, M.; Orhan, O.K.; Liu, J.; Ponga, M. Residual stress development in lattice mismatched epitaxial thin films via atomic and molecular layer depositions. J. Mech. Phys. Solids 2024, 193, 105897. [Google Scholar] [CrossRef]
- Sun, Q.; Xie, F.; Zhu, M.; Wang, L.; Wang, D.; Wu, M. Analysis of stress corrosion craking failure of 316L stainless steel filow promoter string in the aggressive oilfield environment. Eng. Fail. Anal. 2025, 167, 109087. [Google Scholar] [CrossRef]
- Liu, B.; Shen, Z.; Li, X.; Kuang, D.; Liu, X.; Zhang, S.; Wen, C.; Zi, X.; Zhang, X.; Sun, H.; et al. Hydrogen behavior and microstructural evolution in flexible IGZO thin films under stress. Mater. Sci. Semicond. Process. 2025, 187, 109151. [Google Scholar] [CrossRef]
- Akatsu, T.; Inuzuka, H.; Shinoda, Y.; Wakai, F. Weight function for point-sharp nanoindentation to evaluate the mechanical properties of a film/coating on a substrate. Results Eng. 2024, 24, 103447. [Google Scholar] [CrossRef]
- Melnikova, S.D.; Larin, S.V. Mechanical properties of the multilayer polymer films: Molecular dynamics simulation. Comput. Mater. Sci. 2025, 247, 113545. [Google Scholar] [CrossRef]
- Jiang, J.; Jiang, L.; Cai, Z.; Wang, W.; Zhao, X.; Liu, Y.; Cao, Z. Numerical stress analysis of TBC-film cooling system under operating conditions considering the effects of thermal gradient and TGO growth. Surf. Cationg Technol. 2019, 357, 433–444. [Google Scholar] [CrossRef]
- Lablali, M.; Mes-Adi, H.; Mazroui, M. Effect of deposition rate and annealing on Nb thin film growth on Cu substrate: Molecular dynamics simulation. Vacuum 2024, 229, 113548. [Google Scholar] [CrossRef]
- Wang, J.; Ma, D.; Wang, L.; Liu, Y.; Lv, Y.; Tian, X.; Liang, L.; Xiao, W.; Gao, J. Thickness uniformity, electrical properties, and stress of sputtered TiN thin films. J. Phys. Conf. Ser. 2024, 2825, 012034. [Google Scholar] [CrossRef]
- Chen, S.X.; Chen, M.M.; Liu, Y.; Cao, D.W.; Chen, G.J. Interfacial stress engineering toward enhancement of ferroelectricity in Al doped HfO2 thin films. Chin. Phys. B 2024, 33, 098701. [Google Scholar] [CrossRef]
- Hsiao, S.-N. Oxidation-induced surface stress on texture development of thin films: The (001) FePt case. Vacuum 2024, 225, 1132788. [Google Scholar] [CrossRef]
- Tien, C.-L.; Chiang, C.-Y.; Wang, C.-C.; Lin, S.-C. Temperature-Dependent Residual Stresses and Thermal Expansion Coefficient of VO2 Thin Films. Inventions 2024, 3, 61. [Google Scholar] [CrossRef]
- Hoffman, R.W. Stress in thin films: The relevance of gain boundaries and impurities. Thin Solid Film. 1976, 34, 185–190. [Google Scholar] [CrossRef]
- Piombini, H.; Compoint, F.; Ambard, C.; Picart, D.; Belleville, P.; Damamme, G.; Brémand, F. Stress measurement of elastic sol-gel layer by photoelasticimetry—Comparison with Stoney. Mater. Express 2016, 6, 469–485. [Google Scholar] [CrossRef]
- Haw, M.T.X.; Lou, L.; Gu, Y.A. Effect of Stress on a Bimorph Piezoelectric Micromachined Ultrasound Transducer. In Proceedings of the 2015 IEEE International Conference on Electron Devices and Solid-State Circuits (EDSSC), Singapore, 1–4 June 2015; pp. 752–755. [Google Scholar]
- Sugiura, M.; Tamura, K.; Kobiyama, M. Quantitative calculation of substrate bending caused by multilayer coating stresses. Appl. Opt. 2020, 59, A92–A98. [Google Scholar] [CrossRef] [PubMed]
- Wang, B.; Zhang, J.; Liu, H.; Yang, H.; Wang, Y.; Wang, H.; Pan, J.; Liu, Z.; Shen, Z.; Gao, W.; et al. Effect of Ion-Assisted Deposition Energy of RF Source on Optical Properties, Microstructure, and Residual Stress of HfO2 Thin Films. Coatings 2024, 14, 14121616. [Google Scholar] [CrossRef]
- Xu, Z.-J.; Zhang, F.; Zhang, R.-J.; Yu, X.; Zhang, D.-X.; Wang, Z.-Y.; Zheng, Y.-X.; Wang, S.-Y.; Zhao, H.-B.; Chen, L.-Y. Thickness dependent optical properties of titanium oxide thin films. Appl. Phys. A 2013, 113, 557–562. [Google Scholar] [CrossRef]
- Golosov, D.A.; Vilya, N.; Zavadski, S.М.; Melnikov, S.N.; Avramchuk, A.V.; Grekhov; Kargin, N.I.; Komissarov, I.V. Influence of film thickness on the dielectric characteristics of hafnium oxide layers. Thin Solid Film 2019, 690, 137517. [Google Scholar] [CrossRef]
- Xu, Q.; Ma, Y.; Skowronski, M. Nanoscale density variations in sputtered amorphous TaOx functional layers in resistive switching devices. J. Appl. Phys. 2020, 127, 055107. [Google Scholar] [CrossRef]












| Samples | Substrate | Φ (mm) | (GP) | (mm) | (m) | (m) | (nm) | (MPa) | |
|---|---|---|---|---|---|---|---|---|---|
| 1# | Quartz | 30 | 73.1 | 1.55 | 0.17 | 198.5 | 672.0 | 120 | −527 |
| 2# | Quartz | 30 | 73.1 | 1.55 | 0.17 | −569.6 | 389.6 | 250 | −1171 |
| Substrate | (GPa) | (mm) | (m) | (m) | |
|---|---|---|---|---|---|
| Sapphire | 380 GPa | 0.5 mm | 0.28 | 559.1 m | 406.2 m |
| Films | Ti2O3 | Ti2O3 | SiO2 | SiO2 |
|---|---|---|---|---|
| Thickness (nm) | 260 | 350 | 200 | 300 |
| Stress (MPa) | −39.9 | −56.6 | +112.2 | +156.3 |
| Films | Deposition Rate | Auxiliary Ion Source Power | O2 Flow Rate | Baking Temperature | Baking Temperature |
|---|---|---|---|---|---|
| Ti2O3 | 0.2 nm/s | 1.5 KW | 40 sccm | 2.0 × 10−6 mbar | 250 °C |
| SiO2 | 0.6–1.0 nm/s | 1.3 KW | 0 | 2.0 × 10−6 mbar | 250 °C |
| ITO | 0.4–0.7 nm/s | 1.3 KW | 30 sccm | 2.0 × 10−6 mbar | 280 °C |
| HfO2 | 0.2 nm/s | 1.8 KW | 40 sccm | 2.0 × 10−6 mbar | 250 °C |
Disclaimer/Publisher’s Note: The statements, opinions and data contained in all publications are solely those of the individual author(s) and contributor(s) and not of MDPI and/or the editor(s). MDPI and/or the editor(s) disclaim responsibility for any injury to people or property resulting from any ideas, methods, instructions or products referred to in the content. |
© 2025 by the authors. Licensee MDPI, Basel, Switzerland. This article is an open access article distributed under the terms and conditions of the Creative Commons Attribution (CC BY) license (https://creativecommons.org/licenses/by/4.0/).
Share and Cite
Wang, S.; Zhang, J.; Mi, G.; Wu, Q.; Yin, W.; Li, R.; Zhao, H.; Wei, W. Design Method for Stress Reduction of Multilayer Thin Films. Coatings 2025, 15, 980. https://doi.org/10.3390/coatings15090980
Wang S, Zhang J, Mi G, Wu Q, Yin W, Li R, Zhao H, Wei W. Design Method for Stress Reduction of Multilayer Thin Films. Coatings. 2025; 15(9):980. https://doi.org/10.3390/coatings15090980
Chicago/Turabian StyleWang, Songlin, Jianfu Zhang, Gaoyuan Mi, Qingqing Wu, Wanhong Yin, Runqing Li, Hongjun Zhao, and Wei Wei. 2025. "Design Method for Stress Reduction of Multilayer Thin Films" Coatings 15, no. 9: 980. https://doi.org/10.3390/coatings15090980
APA StyleWang, S., Zhang, J., Mi, G., Wu, Q., Yin, W., Li, R., Zhao, H., & Wei, W. (2025). Design Method for Stress Reduction of Multilayer Thin Films. Coatings, 15(9), 980. https://doi.org/10.3390/coatings15090980

