Hygrosensitive Response and Characteristics of Copolymer Coatings with Potential for Humidity Monitoring
Abstract
1. Introduction
2. Materials and Methods
2.1. Synthesis of PVA-Graft-Poly(N,N-dimethylacrylamide)
2.2. Copolymer Characterization Methods
2.2.1. Fourier-Transform Infrared Spectroscopy
2.2.2. Nuclear Magnetic Resonance
2.2.3. Dynamic Light Scattering
2.2.4. Thermogravimetric Analysis
2.3. Thin Films Deposition
2.4. Characterization of Thin Films
2.4.1. Optical Characterization and Thickness Calculation
2.4.2. Sensing Properties
Acoustical Sensing
Optical Sensing Properties
3. Results
3.1. Characterization of Synthesized PVA-g-PDMA Brush Copolymers
3.2. Optical Properties of the Copolymers Thin Film Coating
3.3. Optical Humidity Sensing
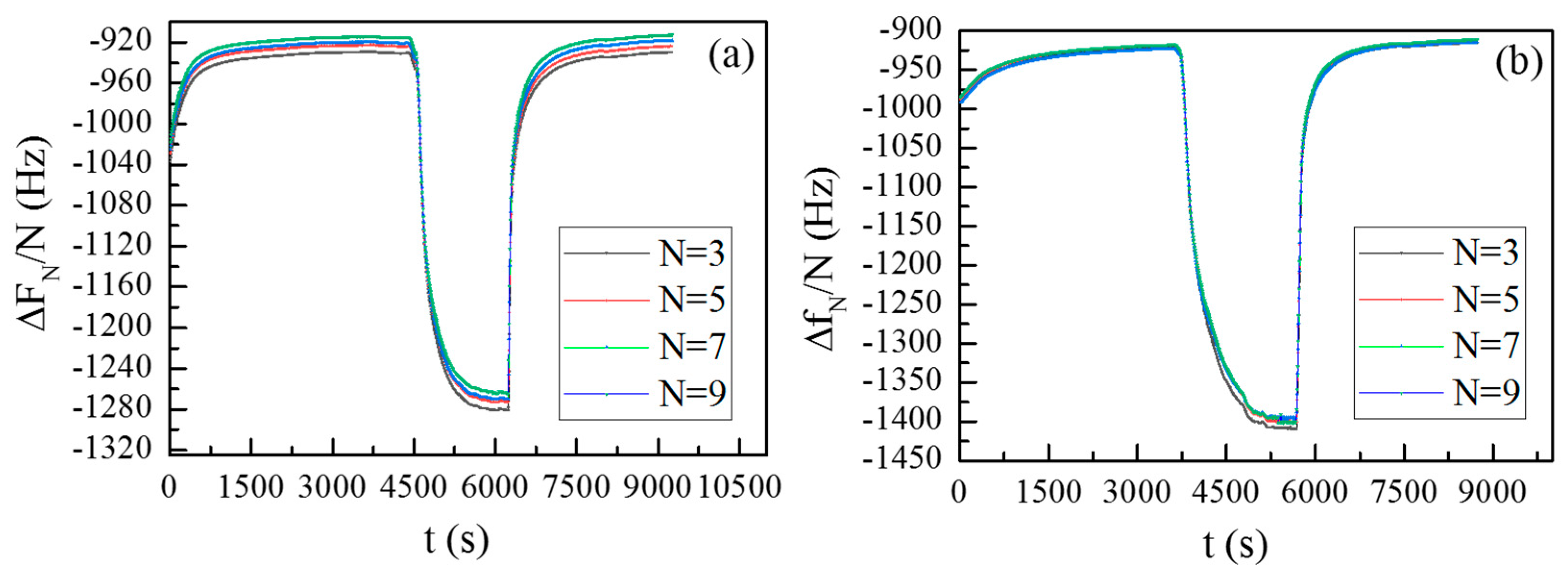
3.4. Acoustic Measurements and Characterization
4. Conclusions
Author Contributions
Funding
Institutional Review Board Statement
Informed Consent Statement
Data Availability Statement
Acknowledgments
Conflicts of Interest
References
- Farahani, H.; Wagiran, R.; Hamidon, M.N. Humidity Sensors Principle, Mechanism, and Fabrication Technologies: A Comprehensive Review. Sensors 2014, 14, 7881–7939. [Google Scholar] [CrossRef] [PubMed]
- Ku, C.-A.; Chung, C.-K. Advances in Humidity Nanosensors and Their Application: Review. Sensors 2023, 23, 2328. [Google Scholar] [CrossRef] [PubMed]
- Yu, X.; Ding, X.; Yu, X.; Tang, K.; Chen, Q. A capacitive humidity sensor based on nanodiamond/silver nanoparticles (ND/Ag) nanocomposite with high stability and rapid response for respiratory monitoring. Sens. Actuators: B. Chem. 2024, 416, 136035. [Google Scholar] [CrossRef]
- Jiang, Y.; Wu, L.; Chen, Q.; Li, N.; Tian, J. High-performance capacitive humidity sensor based on flower-like SnS2/Ti3C2 MXene for respiration monitoring and non-contact sensing. Sens. Actuators B Chem. 2025, 426, 137012. [Google Scholar] [CrossRef]
- Najeeb, M.A.; Ahmad, Z.; Shakoor, R.A. Organic Thin-Film Capacitive and Resistive Humidity Sensors: A Focus Review. Adv. Mater. Interfaces 2018, 5, 1800969. [Google Scholar] [CrossRef]
- Su, P.-G.; Wang, C.-S. Novel flexible resistive-type humidity sensor. Sens. Actuators B Chem. 2007, 123, 1071–1076. [Google Scholar] [CrossRef]
- Cho, S.; Lim, S.H.; Oh, J.; Ju, T.; Yang, S.; Kim, H.H.; Kim, Y. Synthesis-in-place of V2O5 nanobelts for wide range humidity detection. Sens. Actuators B. Chem. 2025, 423, 136711. [Google Scholar] [CrossRef]
- Rao, X.; Zhao, L.; Xu, L.; Wang, Y.; Liu, K.; Wang, Y.; Chen, G.Y.; Liu, T.; Wang, Y. Review of Optical Humidity Sensors. Sensors 2021, 21, 8049. [Google Scholar] [CrossRef]
- Novais, S.; Ferreira, M.S.; Pinto, J.L. Relative Humidity Fiber Sensor Based on Multimode Interferometer Coated with Agarose-Gel. Coatings 2018, 8, 453. [Google Scholar] [CrossRef]
- Peng, J.; Zhou, J.; Sun, C.; Liu, Q. Optical Fiber Temperature and Humidity Dual Parameter Sensing Based on Fiber Bragg Gratings and Porous Film. Sensors 2023, 23, 7587. [Google Scholar] [CrossRef]
- Lazarova, K.; Bozhilova, S.; Novakov, C.; Christova, D.; Babeva, T. Amphiphilic Poly(vinyl Alcohol) Copolymers Designed for Optical Sensor Applications—Synthesis and Properties. Coatings 2020, 10, 460. [Google Scholar] [CrossRef]
- Wang, L.; Song, J.; Yu, C. The utilization and advancement of quartz crystal Microbalance (QCM): A mini review. Microchem. J. 2024, 199, 109967. [Google Scholar] [CrossRef]
- Fauzi, F.; Rianjanu, A.; Santoso, I.; Triyana, K. Gas and humidity sensing with quartz crystal microbalance (QCM) coated with graphene-based materialsA mini review. Sens. Actuators A 2021, 330, 112837. [Google Scholar] [CrossRef]
- Yao, Y.; Xue, Y. Impedance analysis of quartz crystal microbalance humidity sensors based on nanodiamond/graphene oxide nanocomposite film. Sens. Actuators B 2015, 211, 52–58. [Google Scholar] [CrossRef]
- King, W.H. Piezoelectric Sorption Detector. Anal. Chem. 1964, 36, 1735–1739. [Google Scholar] [CrossRef]
- Gonzalez-Martinez, J.F.; Znamenskaya Falk, Y.; Björklund, S.; Erkselius, S.; Rehnberg, N.; Sotres, J. Humidity-Induced Phase Transitions of Surfactants Embedded in Latex Coatings Can Drastically Alter Their Water Barrier and Mechanical Properties. Polymers 2018, 10, 284. [Google Scholar] [CrossRef]
- Znamenskaya, Y.; Sotres, J.; Gavryushov, S.; Engblom, J.; Arnebrant, T.; Kocherbitov, V. Water Sorption and Glass Transition of Pig Gastric Mucin Studied by QCM-D. J. Phys. Chem. B 2013, 117, 2554–2563. [Google Scholar] [CrossRef]
- Kelly, S.J.; Genevskiy, V.; Björklund, S.; Gonzalez-Martinez, J.F.; Poeschke, L.; Schröder, M.; Nilius, G.; Tatkov, S.; Kocherbitov, V. Water Sorption and Structural Properties of Human Airway Mucus in Health and Muco-Obstructive Diseases. Biomacromolecules 2024, 25, 1578–1591. [Google Scholar] [CrossRef]
- Macklin, J.; Pfrang, C.; Wady, P.; Liu, W.; Davidson, R.; Milsom, A.; Squires, A. Use of Humidity Controlled Quartz Crystal Microbalance with Simultaneous Grazing Incidence Small Angle X-ray Scattering to Investigate the Self-assembly and Energetics of Lipid Thin Films. Langmuir 2025, 41, 10216–10222. [Google Scholar] [CrossRef]
- Ma, H.; Fang, H.; Wu, W.; Zheng, C.; Wu, L.; Wang, H. A highly transparent humidity sensor with fast response speed based on α-MoO3 thin films. RSC Adv. 2020, 10, 25467–25474. [Google Scholar] [CrossRef]
- Xie, T.; Rahman, A.F.A.; Bakar, A.A.; Arsad, A. Design and Optimization of Metal Oxide-Based Humidity Sensors: A Review on Mechanisms and Material Engineering. J. Clust. Sci. 2025, 36, 148. [Google Scholar] [CrossRef]
- Altammar, K.A. A review on nanoparticles: Characteristics, synthesis, applications, and challenges. Front. Microbiol. 2023, 14, 1155622. [Google Scholar] [CrossRef]
- Gao, Y.-J.; Romolini, G.; Huang, H.; Jin, H.; Saha, R.A.; Ghosh, B.; De Ras, M.; Wang, C.; Steele, J.A.; Debroye, E.; et al. Ultrasensitive turn-on luminescence humidity sensor based on a perovskite/zeolite composite. J. Mater. Chem. C 2022, 10, 12191–12196. [Google Scholar] [CrossRef]
- Stosic, D.; Zholobenko, V. Application of Zeolite-Based Materials for Chemical Sensing of VOCs. Sensors 2025, 25, 1634. [Google Scholar] [CrossRef]
- Nandanapalli, K.R.; Kailasa, S.K.; Lee, S. Graphene oxide-based humidity sensors. Compr. Anal. Chem. 2024, 106, 339–371. [Google Scholar] [CrossRef]
- Laera, A.M.; Cassano, G.; Burresi, E.; Protopapa, M.L.; Penza, M.A. Graphene Oxide Flexible Sensor for Humidity Detection. Eng. Proc. 2023, 48, 44. [Google Scholar] [CrossRef]
- Qian, J.; Tan, R.; Feng, M.; Shen, W.; Lv, D.; Song, W. Humidity Sensing Using Polymers: A Critical Review of Current Technologies and Emerging Trends. Chemosensors 2024, 12, 230. [Google Scholar] [CrossRef]
- Pasalwad, K.A.; Baby, N.; Edjenguele, A.; Sadhasivam, S.; Palanisamy, G.; Magdum, S.; Thangarasu, S.; Oh, T.H. Progress on polymer-based materials and composites for humidity sensor applications: From materials aspects to sensor performances. J. Mater. Chem. A, 2025; advance article. [Google Scholar] [CrossRef]
- Jakubik, W.; Wrotniak, J.; Caliendo, C.; Benetti, M.; Cannata, D.; Notargiacomo, A.; Stolarczyk, A.; Kaźmierczak-Bałata, A. SAW Humidity Sensing with rr-P3HT Polymer Films. Sensors 2024, 24, 3651. [Google Scholar] [CrossRef]
- Guo, Y.; Xi, H.; Gu, Z.; Li, M.; Li, X.; Gao, D. A self-powered PVA-based flexible humidity sensor with humidity-related voltage output for multifunctional applications. Colloids Surf. A Physicochem. Eng. Asp. 2023, 658, 130700. [Google Scholar] [CrossRef]
- Zhang, K.; Lu, S.; Qu, Z.; Feng, X. Tuning the Sensitivity and Dynamic Range of Optical Oxygen Sensing Films by Blending Various Polymer Matrices. Biosensors 2022, 12, 5. [Google Scholar] [CrossRef] [PubMed]
- Oliveira, G.P.; Barboza, B.H.; Batagin-Neto, A. Polyaniline-based gas sensors: DFT study on the effect of side groups. Comput. Theor. Chem. 2022, 1207, 113526. [Google Scholar] [CrossRef]
- Lazarova, K.; Vasileva, M.; Ivanova, S.; Novakov, C.; Christova, D.; Babeva, T. Influence of macromolecular architecture on the optical and humidity sensing properties of poly(N,N-dimethylacrylamide)-based block copolymers. Polymers 2018, 10, 769. [Google Scholar] [CrossRef] [PubMed]
- Bozhilova, S.; Lazarova, K.; Ivanova, S.; Karashanova, D.; Babeva, T.; Christova, D. Colloidal aqueous dispersions of methyl (meth)acrylate-grafted polyvinyl alcohol designed for thin film applications. Coatings 2022, 12, 1882. [Google Scholar] [CrossRef]
- Lazarova, K.; Vasileva, M.; Marinov, G.; Babeva, T. Optical characterization of sol-gel derived Nb2O5 thin films. Opt. Laser Technol. 2014, 58, 114–118. [Google Scholar] [CrossRef]
- Lazarova, K.; Awala, H.; Thomas, S.; Vasileva, M.; Mintova, S.; Babeva, T. Vapor Responsive One-Dimensional Photonic Crystals from Zeolite Nanoparticles and Metal Oxide Films for Optical Sensing. Sensors 2014, 14, 12207–12218. [Google Scholar] [CrossRef]
- Sauerbrey, G. Verwendung von Schwingquarzen zur Wägung dünner Schichten und zur Mikrowägung. Z. Phys. 1959, 155, 206–222. [Google Scholar] [CrossRef]
- Johannsmann, D. Viscoelastic analysis of organic thin films on quartz resonators. Macromol. Chem. Phys. 1999, 200, 501–516. [Google Scholar] [CrossRef]
- Kang, M.; Lin, P.A.; Bunch, J.A.; Lipomi, D.J.; Arya, G.; Cohen, S.M. Impact of Grafting Density on the Assembly and Mechanical Properties of Self-Assembled Metal–Organic Framework Monolayers. J. Am. Chem. Soc. 2025, 147, 6966–6973. [Google Scholar] [CrossRef]












| Sample Code | Reaction Conditions (a) | Yield [%] | PDMA Mole Fraction in Copolymer (b) | Dh (c), [nm] | Ð (c) | ||
|---|---|---|---|---|---|---|---|
| DMA Concentration, [mol/L] | DMA Mole Fraction | CAN, [mol/L] × 102 | |||||
| G1 | 3.5 | 0.80 | 9.0 | 73 | 0.78 | 595 | 0.19 |
| G2 | 3.5 | 0.80 | 4.5 | 70 | 0.84 | 341 | 0.22 |
| Sample | n | k | d at RH 5% (nm) | d at RH 95% (nm) | ∆d (nm) | ∆d/d5% (%) | ∆n |
|---|---|---|---|---|---|---|---|
| G1 | 1.40 | 0.001 | 187 | 380 | 193 | 103 | 0.19 |
| G2 | 1.47 | 0.001 | 143 | 213 | 70 | 49 | 0.08 |
| Sample | Hysteresis H (%) | Dynamic Range (% RH) | Sensitivity S (%/% RH) | Accuracy/Resolution (% RH) |
|---|---|---|---|---|
| G1 | 13 | 5–95 | 0.01 (5–50% RH) 0.07 (51–80% RH) 0.24 (81–95% RH) | 30 (5–50% RH) 4 (51–80% RH) 1.25 (81–95% RH) |
| G2 | 21 | 65–95 | 0.11 (65–85% RH) 0.35 (86–95% RH) | 2.7 (65–85% RH) 0.85 (86–95% RH) |
Disclaimer/Publisher’s Note: The statements, opinions and data contained in all publications are solely those of the individual author(s) and contributor(s) and not of MDPI and/or the editor(s). MDPI and/or the editor(s) disclaim responsibility for any injury to people or property resulting from any ideas, methods, instructions or products referred to in the content. |
© 2025 by the authors. Licensee MDPI, Basel, Switzerland. This article is an open access article distributed under the terms and conditions of the Creative Commons Attribution (CC BY) license (https://creativecommons.org/licenses/by/4.0/).
Share and Cite
Lazarova, K.; Bozhilova, S.; Docheva, M.; Pavlova, K.; Alexieva, G.; Christova, D.; Babeva, T. Hygrosensitive Response and Characteristics of Copolymer Coatings with Potential for Humidity Monitoring. Coatings 2025, 15, 954. https://doi.org/10.3390/coatings15080954
Lazarova K, Bozhilova S, Docheva M, Pavlova K, Alexieva G, Christova D, Babeva T. Hygrosensitive Response and Characteristics of Copolymer Coatings with Potential for Humidity Monitoring. Coatings. 2025; 15(8):954. https://doi.org/10.3390/coatings15080954
Chicago/Turabian StyleLazarova, Katerina, Silvia Bozhilova, Martina Docheva, Ketrin Pavlova, Gergana Alexieva, Darinka Christova, and Tsvetanka Babeva. 2025. "Hygrosensitive Response and Characteristics of Copolymer Coatings with Potential for Humidity Monitoring" Coatings 15, no. 8: 954. https://doi.org/10.3390/coatings15080954
APA StyleLazarova, K., Bozhilova, S., Docheva, M., Pavlova, K., Alexieva, G., Christova, D., & Babeva, T. (2025). Hygrosensitive Response and Characteristics of Copolymer Coatings with Potential for Humidity Monitoring. Coatings, 15(8), 954. https://doi.org/10.3390/coatings15080954

