Research on the Rheological Properties and Modification Mechanisms of MWCNTs-OH/SBS-Modified Asphalt Binder
Abstract
1. Introduction
2. Materials and Experimental Methods
2.1. Materials
2.1.1. Asphalt
2.1.2. SBS Modifier
2.1.3. Multiwalled Carbon Nanotube
2.2. Preparation of Modified Asphalt
2.3. Experimental Method
- (1)
- Basic physical property tests
- (2)
- Dynamic shear rheological test
- (3)
- Multiple stress creep test
- (4)
- Microscopic tests
3. Results and Analysis
3.1. Basic Physical Properties
3.1.1. Penetration, Softening Point and Ductility
3.1.2. Viscosity–Temperature Relationship
3.2. Dynamic Shear Rheological Test
3.2.1. Frequency Sweeping
3.2.2. Temperature Sweeping
3.3. Multiple Stress Creep Recovery Test (MSCR)
3.3.1. Stress–Strain Characteristic Analysis
3.3.2. Creep Characteristic Analysis
3.4. Micro-Properties
3.4.1. XRD Characterization
3.4.2. Raman Characterization
4. Conclusions
- (1)
- Enhanced resistance to high-temperature deformation: In asphalt pavement engineering, increasing the softening point and viscosity of asphalt directly mitigates rutting issues, while improved ductility helps to prevent cracking under stress. When compared with the base asphalt, the softening points of the SBS-modified asphalt, MWCNT-modified asphalt, and MWCNT/SBS composite-modified asphalt increased by 2.6 °C, 0.9 °C, and 3.9 °C, respectively, and the ductility of the composite-modified asphalt improved from 215.6 mm to 262.8 mm. Moreover, the composite-modified asphalt showed a viscosity increase of 0.11–0.186 Pa·s at different temperatures compared to SBS-modified asphalt. These results indicate that the composite modification effectively enhances the resistance to high-temperature deformation, providing a more durable material for hot-weather road construction.
- (2)
- Superior dynamic load-bearing capacity: Asphalt pavements endure continuous dynamic vehicle loads, and materials with high complex moduli and low temperature sensitivity can better withstand fatigue and deformation. The composite-modified asphalt exhibited the highest complex modulus in the low-frequency region, and a smaller slope in the high-frequency region, indicating excellent resistance to permanent deformation and rapid load changes. In the temperature sweep test, it showed the largest complex shear modulus and smallest phase angle. These findings suggest that the composite-modified asphalt can significantly improve the durability of pavements under heavy traffic conditions.
- (3)
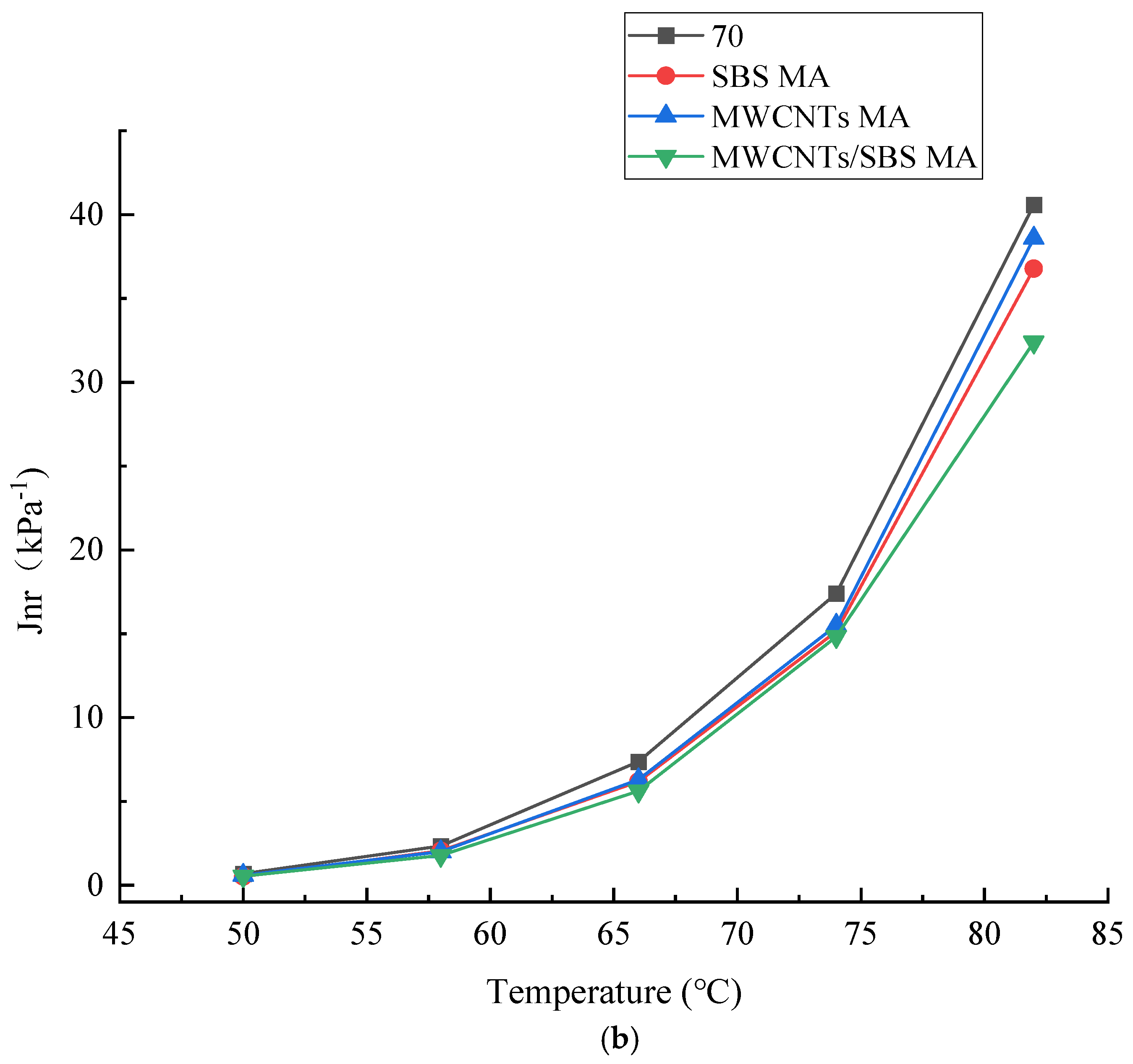
- Exceptional self-recovery ability: Under repeated traffic loads in hot climates, asphalt materials with high creep recovery rates can minimize permanent deformation. The composite-modified asphalt demonstrated a smaller peak strain, higher creep recovery rate, and the lowest non-recoverable creep compliance in the MSCR test. This indicates its superior ability to recover from deformation, reducing rutting, and extend the service life of asphalt pavements.
- (4)
- Revealing the modification mechanism: Microscopic analysis provides insights into the molecular-level changes that drive macroscopic performance improvements. XRD results showed that modifiers altered the crystalline structure of asphalt, while Raman tests revealed that carbon nanotubes enhanced the order of the internal carbon structures (as indicated by the ID/IG ratio). These findings explain the synergistic effects of SBS and carbon nanotubes, which can provide a reference for the development of high-performance asphalt materials in the future.
Author Contributions
Funding
Institutional Review Board Statement
Informed Consent Statement
Data Availability Statement
Conflicts of Interest
References
- Zhang, Z.; Liu, H.; Ban, X.; Liu, X.; Guo, Y.; Sun, J.; Liu, Y.; Zhang, S.; Lei, J. Thermosetting resin modified asphalt: A comprehensive review. J. Traffic Transp. Eng. 2023, 10, 1001–1036. [Google Scholar] [CrossRef]
- Jin, D.; Xin, K.; Yin, L.; Mohammadi, S.; Cetin, B.; You, Z. Performance of rubber modified asphalt mixture with tire-derived aggregate subgrade. Constr. Build. Mater. 2024, 449, 138261. [Google Scholar] [CrossRef]
- Yao, H.; Cao, Y.; Zhou, X.; Wang, J.A.; Wang, Q. Improvement on the high-temperature performance and fuel resistance of SBS modified asphalt by hybridizing with polyamide resin. Constr. Build. Mater. 2021, 309, 124987. [Google Scholar] [CrossRef]
- Kakar, M.R.; Mikhailenko, P.; Piao, Z.; Bueno, M.; Poulikakos, L. Analysis of waste polyethylene (PE) and its by-products in asphalt binder. Constr. Build. Mater. 2021, 280, 122492. [Google Scholar] [CrossRef]
- Mojabi, S.A.; Kordani, A.A.; Hajikarimi, P.; Nazari, M. Evaluating fracture performance of stone mastic asphalt with SBS and SEBS modifications. Theor. Appl. Fract. Mech. 2024, 134, 104703. [Google Scholar] [CrossRef]
- Ren, S.; Liang, M.; Fan, W.; Zhang, Y.; Qian, C.; He, Y.; Shi, J. Investigating the effects of SBR on the properties of gilsonite modified asphalt. Constr. Build. Mater. 2018, 190, 1103–1116. [Google Scholar] [CrossRef]
- Loise, V.; Vuono, D.; Policicchio, A.; Teltayev, B.; Gnisci, A.; Messina, G.; Rossi, C.O. The effect of multiwalled carbon nanotubes on the rheological behaviour of bitumen. Colloids Surf. A: Physicochem. Eng. Asp. 2019, 566, 113–119. [Google Scholar] [CrossRef]
- Monteiro, L.; Moghaddam, T.B.; Freed, K.; Shafiee, M.; Maadani, O.; Hashemian, L. Investigation of self-healing properties of nanoclay-modified asphalt binder using two-piece healing test. Can. J. Civ. Eng. 2022, 50, 126–136. [Google Scholar] [CrossRef]
- Ghabchi, R.; Castro, M.P.P. Effect of laboratory-produced cellulose nanofiber as an additive on performance of asphalt binders and mixes. Constr. Build. Mater. 2021, 286, 122922. [Google Scholar] [CrossRef]
- Mansourkhaki, A.; Aghasi, A. Low-temperature fracture resistance of asphalt mixtures modified with carbon nanotubes. In Proceedings of the Institution of Civil Engineers-Transport; Thomas Telford Ltd.: London, UK, 2021; Volume 174, pp. 78–86. [Google Scholar]
- Xue, Z.H.; Fan, X.H. Study on the Performance and Modification Mechanism of Carbon Nanotube—Modified Asphalt. New Build. Mater. 2021, 48, 5. [Google Scholar] [CrossRef]
- Santagata, E.; Baglieri, O.; Tsantilis, L.; Dalmazzo, D. Rheological characterization of bituminous binders modified with carbon nanotubes. Procedia-Soc. Behav. Sci. 2012, 53, 546–555. [Google Scholar] [CrossRef]
- Amin, I.; El-Badawy, S.M.; Breakah, T.; Ibrahim, M.H. Laboratory evaluation of asphalt binder modified with carbon nanotubes for Egyptian climate. Constr. Build. Mater. 2016, 121, 361–372. [Google Scholar] [CrossRef]
- Gong, M.; Yang, J.; Yao, H.; Wang, M.; Niu, X.; Haddock, J.E. Investigating the performance, chemical, and microstructure properties of carbon nanotube-modified asphalt binder. Road Mater. Pavement Des. 2018, 19, 1499–1522. [Google Scholar] [CrossRef]
- Goli, A.; Ziari, H.; Amini, A. Influence of carbon nanotubes on performance properties and storage stability of SBS modified asphalt binders. J. Mater. Civ. Eng. 2017, 29, 04017070. [Google Scholar] [CrossRef]
- Shah, P.M.; Mir, M.S. Investigating the influence of carbon nanotube on the performance of asphalt binder. Prog. Rubber Plast. Recycl. Technol. 2021, 37, 422–440. [Google Scholar] [CrossRef]
- Latifi, H.; Hayati, P. Evaluating the effects of the wet and simple processes for including carbon Nanotube modifier in hot mix asphalt. Constr. Build. Mater. 2018, 164, 326–336. [Google Scholar] [CrossRef]
- Mamun, A.A.; Arifuzzaman, M. Nano-scale moisture damage evaluation of carbon nanotube-modified asphalt. Constr. Build. Mater. 2018, 193, 268–275. [Google Scholar] [CrossRef]
- Zhu, Y.Q.; Shu, B.A. Influence of Carbon Nanotubes on the High and Low Temperature Performance of SBS—Modified Asphalt. J. Wuhan Univ. Technol. 2018, 42, 103–107. [Google Scholar]
- Fu, Z.; Tang, Y.J.; Sun, Q.Y.; Wang, Y.J.; Liu, S.R. Study on the Pavement Performance and Compatibility of Carbon Nanotube/SBS Composite—Modified Asphalt. Appl. Chem. Ind. 2021, 50, 2031–2036. [Google Scholar]
- Sun, Q.Y. Study on the Rheological Properties of Carbon Nanotube/SBS Composite—Modified Asphalt. Master’s Thesis, Chang’an University, Xi’an, China, 2020. [Google Scholar]
- Obukhova, S.; Korolev, E.; Gladkikh, V. The Influence of Single-Walled Carbon Nanotubes on the Aging Performance of Polymer-Modified Binders. Materials 2023, 16, 7534. [Google Scholar] [CrossRef]
- Tang, Y.; Fu, Z.; Ma, F.; Liu, J.; Sun, Q.; Li, C. Carbon nanotubes for improving rheological and chemical properties of styrene–butadiene–styrene modified asphalt binder. Int. J. Pavement Eng. 2023, 24, 2211212. [Google Scholar] [CrossRef]
- Chen, J.; Huang, Z.; Wang, H.; Yang, Z.; Zhang, T. Investigating the rheological properties of styrene-butadiene-styrene-based high-viscosity modified asphalt using carbon nanotubes. Sustainability 2022, 15, 71. [Google Scholar] [CrossRef]
- Wang, R.; Yue, M.; Xiong, Y.; Yue, J. Experimental study on mechanism, aging, rheology and fatigue performance of carbon nanomaterial/SBS-modified asphalt binders. Constr. Build. Mater. 2020, 268, 121189. [Google Scholar] [CrossRef]
- Yu, C.H.; Hu, K.; Chen, G.X.; Chang, R.; Wang, Y. Molecular dynamics simulation and microscopic observation of compatibility and interphase of composited polymer modified asphalt with carbon nanotubes. J. Zhejiang Univ.-Sci. A 2021, 22, 528–546. [Google Scholar] [CrossRef]
- Zhang, X.; Zhou, X.; Ji, W.; Zhang, F.; Otto, F. Characterizing the mechanical properties of Multi-Layered CNTs reinforced SBS modified Asphalt-Binder. Constr. Build. Mater. 2021, 296, 123658. [Google Scholar] [CrossRef]
- Wang, P.; Zhai, F.; Dong, Z.J.; Wang, L.Z.; Liao, J.P.; Li, G.R. Micromorphology of asphalt modified by polymer and carbon nanotubes through molecular dynamics simulation and experiments: Role of strengthened interfacial interactions. Energy Fuels 2018, 32, 1179–1187. [Google Scholar] [CrossRef]
- Shu, B.; Wu, S.; Pang, L.; Javilla, B. The utilization of multiple-walled carbon nanotubes in polymer modified bitumen. Materials 2017, 10, 416. [Google Scholar] [CrossRef] [PubMed]
- Nie, G.; Huang, W.; Wu, K.; Cai, X.; Huang, J.; Xie, J.; Zheng, Y. Modification Mechanism of MWCNTs and SBS Composite modified Asphalt Binder: Laboratory Investigation and Molecular Dynamic Simulation. J. Mater. Civ. Eng. 2024, 36, 04024279. [Google Scholar] [CrossRef]
- JTG E20-2017; Standard Test Methods of Bitumen and Bituminous Mixtures for Highway Engineering. People’s Transportation Press: Beijing, China, 2017.
- Xie, S.R. Experimental Study on the Influence of Carbon Nanotubes on the Performance of SBS Modified Asphalt and Mixtures. Master’s Thesis, Northeast Forestry University, Harbin, China, 2020. [Google Scholar]
- Yang, Z.H. Research on Rheological Properties and Modifier Dosage of SBS Modified Asphalt. Master’s Thesis, Chang’an University, Xi’an, China, 2011. [Google Scholar] [CrossRef]
- Zhu, H.; Wei, J.; Gong, M.; Yao, H.; Yang, J. Research Progress of Carbon Nanotube Modified Asphalt. Acta Pet. Sin. 2017, 33, 386–394. [Google Scholar]
- ASTM D7405; Standard Test Method for Multiple Stress Creep and Recovery(MSCR) of Asphalt Binder Using a Dynamic Shear Rheometer. ASTM: Washington, DC, USA, 2010.
- Ministry of Transport of the People’s Republic of China. Test Specifications for Asphalt and Asphalt Mixtures in Highway Engineering (JTG E20-2011); China Communications Press: Beijing, China, 2011.
- Li, F.J.; Shen, J.A. Implementation Manual of Technical Specifications for Construction of Highway Asphalt Pavement; China Communications Press: Beijing, China, 2005. [Google Scholar]
- ASTM D2493/2493M; ASTM Standard Viscosity-Temperature Chart for Asphalt. ASTM: West Conshohocken, PA, USA, 2009.
- Shen, J.A. Road Performance of Asphalt and Asphalt Mixtures; China Communications Press: Beijing, China, 2001. [Google Scholar]
- Huang, W.; Guo, R.X.; Zhou, B.; Yan, F.; Li, N. Research on Viscoelastic Behavior of SBS/PPA Modified Asphalt Based on Frequency Sweep. J. Highw. Transp. Res. Dev. 2016, 12, 134–136. [Google Scholar]
- Williams, M.L.; Landel, R.F.; Ferry, J.D. The Temperature Dependence of Relaxation Mechanisms in Amorphous Polymers and Other Glass-Forming Liquid. J. Am. Chem. Soc. 1955, 77, 3701–3707. [Google Scholar] [CrossRef]
- Rusbintardjo, G.; Hainin, M.R.; Yusoff, N.I.M. Fundamental and rheological properties of oil palm fruit ash modified bitumen. Constr. Build. Mater. 2013, 49, 702–711. [Google Scholar] [CrossRef]
- Bounos, G.; Andrikopoulos, K.S.; Karachalios, T.K.; Voyiatzis, G.A. Evaluation of multi-walled carbon nanotube concentrations in polymer nanocomposites by Raman spectroscopy. Carbon Int. J. Spons. By Am. Carbon Soc. 2014, 76, 301–309. [Google Scholar] [CrossRef]



















| Properties | Values | Test Standard |
|---|---|---|
| Penetration (25 °C, 100 g, 5 s, 0.1 mm) | 72 | Specification of China [31] |
| Softening point (5 °C, °C) | 46.6 | |
| 60 °C dynamic viscosity (Pa·s) | Cm220 | |
| Ductility (10 °C, 5 cm/min, cm) | 56 | |
| Flash point (°C) | >300 | |
| Density (15 °C, g/cm3) | 1.037 |
| Properties | Values |
|---|---|
| S/B | 31/69 |
| Tensile strength (MPa) | 32 |
| Breaking elongation (%) | 880 |
| Hardness (10 s) | 72 |
| Specific gravity | 0.94 |
| Parameters | Values |
|---|---|
| Purity (%) | >98 |
| Diameter (nm) | 40–60 |
| Length (μm) | <10 |
| Specific surface area (m2/g) | 60–100 |
| Production method | Chemical vapor deposition (CVD) |
| Equation | lgη = n – m × T | |||
|---|---|---|---|---|
| Sample | Basic asphalt | CNTs MA | SBS MA | CNTs/SBS MA |
| Fitting equation | lgη = 2.8511 − 0.0223 × T | lgη = 2.8068 − 0.0216 × T | lgη = 2.3405 − 0.0160 × T | lgη = 2.1751 − 0.0144 × T |
| Reduced Chi-Sqr | 0.00163 | 0.00451 | 0.02543 | 0.04427 |
| R2 | 0.9983 | 0.996 | 0.98674 | 0.97625 |
| Equation | lglg(η × 103) = n − mlg(T + 273.13) | |||
|---|---|---|---|---|
| Sample | Basic asphalt | CNTs MA | SBS MA | CNTs/SBS MA |
| Fitting equation | lglg(η × 103) = 2.6034 − 1.0136 × lg(T + 273.13) | lglg(η × 103) = 2.4323 − 0.9282 × lg(T + 273.13) | lglg(η × 103) = 1.7721 − 0.5975 × lg(T + 273.13) | lglg(η × 103) = 1.5962 − 0.5112 × lg(T + 273.13) |
| Reduced Chi-Sqr | 2.54982 × 10−5 | 1.38724 × 10−5 | 1.14701 × 10−5 | 4.0051 × 10−5 |
| R2 | 0.99691 | 0.998 | 0.99601 | 0.98126 |
| Equation | η = Aθb | |||
|---|---|---|---|---|
| Sample | Basic asphalt | CNTs MA | SBS MA | CNTs/SBS MA |
| Fitting equation | η = 5.18126 × 1013 × T−6.52504 | η = 2.05832 × 1013 × T−6.30928 | η = 1.86322 × 1010 × T−4.74324 | η = 2.29149 × 109 × T−4.29213 |
| Reduced Chi-Sqr | 1.27112 × 10−4 | 0.00105 | 0.00892 | 0.01989 |
| R2 | 0.9999 | 0.9993 | 0.99651 | 0.992 |
| Sample | Shifting Factor | ||||
|---|---|---|---|---|---|
| 50 °C | 58 °C | 66 °C | 74 °C | 82 °C | |
| Basic asphalt | 0 | −0.5094 | −0.8384 | −1.1629 | −1.4070 |
| SBS MA | 0 | −0.4414 | −0.7891 | −1.0005 | −1.2087 |
| MWCNTs MA | 0 | −0.5155 | −0.9187 | −1.1740 | −1.3586 |
| MWCNT/SBS MA | 0 | −0.4609 | −0.7362 | −1.4089 | −1.5084 |
| Sample | Peaks | 2θ (°) | Peak Height | FWHM | d (Å) | Area (mV·min) |
|---|---|---|---|---|---|---|
| Basic asphalt | γ-peak | 18.90562 | 1571.23573 | 10.49541 | 5.84 | 17,149.46669 |
| 002-peak | 25.53529 | 36.17641 | 1.62658 | 3.46 | 64.36886 | |
| SBS MA | γ-peak | 20.18885 | 564.53763 | 8.67772 | 5.49 | 5199.52202 |
| 002-peak | 25.67987 | 50.56143 | 2.73259 | 3.44 | 147.07065 | |
| MWCNTs MA | γ-peak | 18.64421 | 1094.23457 | 12.75621 | 5.91 | 14,013.30848 |
| 002-peak | 25.12883 | 38.22032 | 1.17434 | 3.54 | 44.02699 | |
| MWCNT/SBS MA | γ-peak | 19.96733 | 2089.34551 | 8.47616 | 5.56 | 18,797.32277 |
| 002-peak | 26.41321 | 270.0296 | 3.96452 | 3.36 | 1139.55181 |
| Sample | WD (cm−1) | ID | WG (cm−1) | IG | ID/IG |
|---|---|---|---|---|---|
| Basic asphalt | 1361.70 | 5433.2756 | 1579.80 | 5882.2022 | 0.9237 |
| SBS MA | 1361.70 | 3486.2060 | 1579.80 | 6982.6528 | 0.4992 |
| MWCNTs MA | 1361.70 | 5308.6607 | 1599.63 | 6307.8409 | 0.8416 |
| MWCNT/SBS MA | 1381.53 | 5495.0786 | 1579.80 | 8954.3102 | 0.6137 |
Disclaimer/Publisher’s Note: The statements, opinions and data contained in all publications are solely those of the individual author(s) and contributor(s) and not of MDPI and/or the editor(s). MDPI and/or the editor(s) disclaim responsibility for any injury to people or property resulting from any ideas, methods, instructions or products referred to in the content. |
© 2025 by the authors. Licensee MDPI, Basel, Switzerland. This article is an open access article distributed under the terms and conditions of the Creative Commons Attribution (CC BY) license (https://creativecommons.org/licenses/by/4.0/).
Share and Cite
Su, M.; Ding, Q.; He, Z.; Huang, X.; He, L.; Zhao, E. Research on the Rheological Properties and Modification Mechanisms of MWCNTs-OH/SBS-Modified Asphalt Binder. Coatings 2025, 15, 625. https://doi.org/10.3390/coatings15060625
Su M, Ding Q, He Z, Huang X, He L, Zhao E. Research on the Rheological Properties and Modification Mechanisms of MWCNTs-OH/SBS-Modified Asphalt Binder. Coatings. 2025; 15(6):625. https://doi.org/10.3390/coatings15060625
Chicago/Turabian StyleSu, Manman, Qi Ding, Zuohong He, Xuling Huang, Leilei He, and Enlong Zhao. 2025. "Research on the Rheological Properties and Modification Mechanisms of MWCNTs-OH/SBS-Modified Asphalt Binder" Coatings 15, no. 6: 625. https://doi.org/10.3390/coatings15060625
APA StyleSu, M., Ding, Q., He, Z., Huang, X., He, L., & Zhao, E. (2025). Research on the Rheological Properties and Modification Mechanisms of MWCNTs-OH/SBS-Modified Asphalt Binder. Coatings, 15(6), 625. https://doi.org/10.3390/coatings15060625
