Performance Study of Graphite Oxide Polythiophene Composites for Microbial Fuel Cell
Abstract
1. Introduction
2. Materials and Methods
2.1. Preparation of CF/Go/Pth Electrode
2.2. MFC Construction and Operation
2.3. Characterization and Measurement
2.4. Microbial Characterization Techniques
3. Results and Discussion
3.1. Morphological Characteristics of CF/GO/Pth Anodes
3.2. Electrochemical Testing of CF Electrode, CF/GO Electrode, CF/GO/Pth Electrode
- —Area-specific capacitance, F/cm2
- I—constant current constant, A
- t—discharge time, s
- A—surface area of the electrode, cm2
- V—Scanning potential window, V
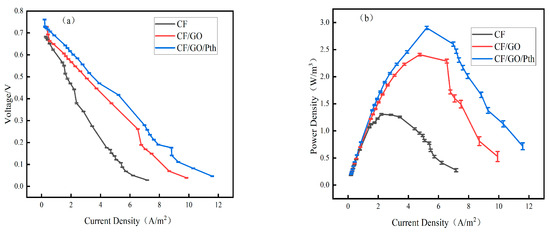
3.3. Output Performance of MFC
3.4. The Storage Performance of MFC
- P—Power density, W/m3
- U—Output voltage, V
- I—Current, A
- R—Load resistance, Ω
- V—Anode chamber volume, mL
3.5. Analysis of Anode Biodiversity and Microbial Community Structure
4. Conclusions
Supplementary Materials
Author Contributions
Funding
Institutional Review Board Statement
Informed Consent Statement
Data Availability Statement
Conflicts of Interest
References
- Chen, P.; Yin, D.; Song, P.; Liu, Y.; Cai, L.; Wang, H.; Zhang, L. Demulsification and oil recovery from oil-in-water cutting fluid wastewater using electrochemical micromembrane technology. J. Clean. Prod. 2020, 244, 118698. [Google Scholar]
- Jiang, W.-M.; Chen, Y.-M.; Chen, M.-C.; Liu, X.-L.; Liu, Y.; Wang, T.; Yang, J. Removal of emulsified oil from polymer-flooding sewage by an integrated apparatus including EC and separation process. Sep. Purif. Technol. 2019, 211, 259–268. [Google Scholar]
- Ardakani, M.N.; Gholikandi, G.B. Microbial fuel cells (MFCs) in integration with anaerobic treatment processes (AnTPs) and membrane bioreactors (and MBRs) for simultaneous efficient wastewater/sludge treatment and energy recovery-A state-of-the-art review. Biomass Bioenergy 2020, 141, 105726. [Google Scholar]
- Du, Z.; Li, H.; Gu, T. A state of the art review on microbial fuel cells: A promising technology for wastewater treatment and bioenergy. Biotechnol. Adv. 2007, 25, 464–482. [Google Scholar]
- Logan, B.E. Microbial Fuel Cells; John Wiely & Sons Inc.: Hoboken, NJ, USA, 2008. [Google Scholar]
- Liu, Z.; Zhou, L.; Chen, Q.; Zhou, W.; Liu, Y. Advances in graphene/graphene composite based microbial fuel/electrolysis cells. Electroanalysis 2017, 29, 652–661. [Google Scholar]
- Ahn, Y.; Logan, B. Effectiveness of domestic wastewater treatment using microbial fuel cells at ambient and mesophilic temperatures. Bioresour. Technol. 2010, 101, 469–475. [Google Scholar] [PubMed]
- Xu, H.; Zhang, M.; Ma, Z.; Zhao, N.; Zhang, K.; Song, H.; Li, X. Improving electron transport efficiency and power density by continuous carbon fibers as anode in the microbial fuel cell. J. Electroanal. Chem. 2020, 857, 113743. [Google Scholar]
- Aelterman, P.; Versichele, M.; Marzorati, M.; Boon, N.; Verstraete, W. Loading rate and external resistance control the electricity generation of microbial fuel cells with different three-dimensional anodes. Bioresour. Technol. 2008, 99, 8895–8902. [Google Scholar] [CrossRef]
- Liu, J.; Qiao, Y.; Guo, C.X.; Lim, S.; Song, H.; Li, C.M. Graphene/carbon cloth anode for high-performance mediatorless microbial fuel cells. Bioresour. Technol. 2012, 114, 275–280. [Google Scholar]
- Huang, L.; Li, X.; Ren, Y.; Wang, X. In-situ modified carbon cloth with polyaniline/graphene as anode to enhance performance of microbial fuel cell. Int. J. Hydrogen Energy 2016, 41, 11369–11379. [Google Scholar]
- Prabakar, S.J.R.; Narayanan, S.S. Amperometric determination of paracetomol by a surface modified cobalt hexacyanoferrate graphite wax composite electrode. Talanta 2007, 72, 1818–1827. [Google Scholar] [CrossRef] [PubMed]
- Yang, L.; Wang, S.; Peng, S.; Jiang, H.; Zhang, Y.; Deng, W.; Tan, Y.; Ma, M.; Xie, Q. Facile Fabrication of Graphene-Containing Foam as a High-Performance Anode for Microbial Fuel Cells. Chem. Eur. J. 2015, 21, 10634–10638. [Google Scholar] [CrossRef] [PubMed]
- Hou, J.; Liu, Z.; Zhang, P. A new method for fabrication of graphene/polyaniline nanocomplex modified microbial fuel cell anodes. J. Power Sources 2013, 224, 139–144. [Google Scholar] [CrossRef]
- Lv, Z.; Chen, Y.; Wei, H.; Li, F.; Hu, Y.; Wei, C.; Feng, C. One-step electrosynthesis of polypyrrole/graphene oxide composites for microbial fuel cell application. Electrochim. Acta 2013, 111, 366–373. [Google Scholar] [CrossRef]
- Roh, S.H.; Woo, H.G. Carbon nanotube composite electrode coated with polypyrrole for microbial fuel cell application. J. Nanosci. Nanotechnol. 2015, 15, 484–487. [Google Scholar] [CrossRef]
- Kang, Y.L.; Ibrahim, S.; Pichiah, S. Synergetic effect of conductive polymer poly (3, 4-ethylenedioxythiophene) with different structural configuration of anode for microbial fuel cell application. Bioresour. Technol. 2015, 189, 364–369. [Google Scholar] [CrossRef]
- Sonawane, J.M.; Patil, S.A.; Ghosh, P.C.; Adeloju, S.B. Low-cost stainless-steel wool anodes modified with polyaniline and polypyrrole for high-performance microbial fuel cells. J. Power Sources 2018, 379, 103–114. [Google Scholar] [CrossRef]
- Laforgue, A.; Simon, P.; Sarrazin, C.; Fauvarque, J.F. Polythiophene-based supercapacitors. J. Power Sources 1999, 80, 142–148. [Google Scholar] [CrossRef]
- Ambade, R.B.; Ambade, S.B.; Salunkhe, R.R.; Malgras, V.; Jin, S.-H.; Yamauchi, Y.; Lee, S.-H. Flexible-wire shaped all-solid-state supercapacitors based on facile electropolymerization of polythiophene with ultra-high energy density. J. Mater. Chem. A 2016, 4, 7406–7415. [Google Scholar] [CrossRef]
- Nejati, S.; Minford, T.E.; Smolin, Y.Y.; Lau, K.K. Enhanced charge storage of ultrathin polythiophene films within porous nanostructures. ACS Nano 2014, 8, 5413–5422. [Google Scholar] [CrossRef]
- Sun, G.; Kang, K.; Qiu, L.; Guo, X.; Zhu, M. Electrochemical performance and microbial community analysis in air cathode microbial fuel cells fuelled with pyroligneous liquor. Bioelectrochemistry 2019, 126, 12–19. [Google Scholar] [PubMed]
- Sakthivel, S.; Boopathi, A. Synthesis and preparation of poly-thiophene thin film by spin coating method. J. Chem. Chem. Sci. 2014, 4, 150–155. [Google Scholar]
- Sumisha, A.; Ashar, J.; Asok, A.; Karthick, S.; Haribabu, K. Reduction of copper and generation of energy in double chamber microbial fuel cell using Shewanella putrefaciens. Sep. Sci. Technol. 2019, 55, 1–9. [Google Scholar]
- Ajit, K.; Anand, V.D.; Niharika, R.; Harikrishna, B.; Kumar, Y.A.; Krishnan, H. Scaling up of MFC technology using cost effective electrodes for treatment of kitchen wastewater. Mater. Today Proc. 2024, 111, 22–27. [Google Scholar]
- Pandit, S.; Patel, V.; Ghangrekar, M.; Das, D. Wastewater as anolyte for bioelectricity generation in graphite granule anode single chambered microbial fuel cell: Effect of current collector. Int. J. Environ. Technol. Manag. 2014, 17, 252–267. [Google Scholar] [CrossRef]
- Jayashree, C.; Tamilarasan, K.; Rajkumar, M.; Arulazhagan, P.; Yogalakshmi, K.; Srikanth, M.; Banu, J.R. Treatment of seafood processing wastewater using upflow microbial fuel cell for power generation and identification of bacterial community in anodic biofilm. J. Environ. Manag. 2016, 180351–180358. [Google Scholar]
- Wang, Y.; Wen, Q.; Chen, Y.; Yin, J.; Duan, T. Enhanced performance of a microbial fuel cell with a capacitive bioanode and removal of Cr (VI) using the intermittent operation. Appl. Biochem. Biotechnol. 2016, 180, 1372–1385. [Google Scholar]
- Ghasemi, B.; Yaghmaei, S.; Ghaderi, S.; Bayat, A.; Mardanpour, M.M. Effects of chemical, electrochemical, and electrospun deposition of polyaniline coatings on surface of anode electrodes for evaluation of MFCs’ performance. J. Environ. Chem. Eng. 2020, 8, 104039. [Google Scholar]
- Shahabivand, S.; Mortazavi, S.S.; Mahdavinia, G.R.; Darvishi, F. Phenol biodegradation by immobilized Rhodococcus qingshengii isolated from coking effluent on Na-alginate and magnetic chitosan-alginate nanocomposite. J. Environ. Manag. 2022, 307, 114586. [Google Scholar] [CrossRef]
- Wang, N.; Yang, Y.; Xu, K.; Long, X.; Zhang, Y.; Liu, H.; Chen, T.; Li, J. Distinguishing anaerobic digestion from electrochemical anaerobic digestion: Metabolic pathways and the role of the microbial community. Chemosphere 2023, 326, 138492. [Google Scholar]
- Fedorovich, V.; Knighton, M.C.; Pagaling, E.; Ward, F.B.; Free, A.; Goryanin, I. Novel electrochemically active bacterium phylogenetically related to Arcobacter butzleri, isolated from a microbial fuel cell. Appl. Environ. Microbiol. 2009, 75, 7326–7334. [Google Scholar] [PubMed]
- Wang, Y.; Zhao, C.E.; Sun, D.; Zhang, J.R.; Zhu, J.J. A graphene/poly (3,4-ethylenedioxythiophene) hybrid as an anode for high-performance microbial fuel cells. ChemPlusChem 2013, 78, 823–829. [Google Scholar] [PubMed]











| Electrode Type | CF | CF/GO | CF/GO/Pth |
|---|---|---|---|
| Area-specific capacitance (F/cm2) | 0.389 | 0.642 | 1.30 |
| CF | CF/GO | CF/GO/Pth | |
|---|---|---|---|
| RS (Ω) | 2.91 | 2.73 | 1.01 |
| Rct (Ω) | 77.8 | 1.37 | 0.68 |
| Electrode Type | CF | GO | GO/Pth |
|---|---|---|---|
| Current density (A/m2) | 2.215 | 4.75 | 7.375 |
| Power density (W/m3) | 1.308 | 2.406 | 2.90 |
| Anode Material | Carbon Veil [25] | GP [26] | ACFF [27] | CF/GO/Pth | CF/MnO2 [28] |
|---|---|---|---|---|---|
| Power density | 0.397 W/m3 | 2.03 W/m3 | 2.21 W/m3 | 2.9 W/m3 | 16.74 W/m3 |
| CF | CF/GO | CF/GO/Pth | |
|---|---|---|---|
| Initial potential (V) | −0.463 | −0.325 | −0.216 |
| Steady-state potential (V) | −0.55 | −0.458 | −0.266 |
| CF | CF/GO | CF/GO/Pth | |
|---|---|---|---|
| ih (A/m2) | 67 | 125.25 | 154.45 |
| is (A/m2) | 5.025 | 8.125 | 21.91 |
| Qs (C/m2) | 1245.28 | 3086.51 | 4795.23 |
| Qt (C/m2) | 2727.66 | 5483.39 | 11,258.68 |
Disclaimer/Publisher’s Note: The statements, opinions and data contained in all publications are solely those of the individual author(s) and contributor(s) and not of MDPI and/or the editor(s). MDPI and/or the editor(s) disclaim responsibility for any injury to people or property resulting from any ideas, methods, instructions or products referred to in the content. |
© 2025 by the authors. Licensee MDPI, Basel, Switzerland. This article is an open access article distributed under the terms and conditions of the Creative Commons Attribution (CC BY) license (https://creativecommons.org/licenses/by/4.0/).
Share and Cite
Wang, Y.; Song, Y.; Wang, Z.; Zhang, D.; Kong, X.; Ma, S.; Duan, Y.; Vyshnikin, A.; Palchykov, V. Performance Study of Graphite Oxide Polythiophene Composites for Microbial Fuel Cell. Coatings 2025, 15, 412. https://doi.org/10.3390/coatings15040412
Wang Y, Song Y, Wang Z, Zhang D, Kong X, Ma S, Duan Y, Vyshnikin A, Palchykov V. Performance Study of Graphite Oxide Polythiophene Composites for Microbial Fuel Cell. Coatings. 2025; 15(4):412. https://doi.org/10.3390/coatings15040412
Chicago/Turabian StyleWang, Yuyang, Yu Song, Zhijie Wang, Dongming Zhang, Xiangquan Kong, Su Ma, Ying Duan, Andrii Vyshnikin, and Vitalii Palchykov. 2025. "Performance Study of Graphite Oxide Polythiophene Composites for Microbial Fuel Cell" Coatings 15, no. 4: 412. https://doi.org/10.3390/coatings15040412
APA StyleWang, Y., Song, Y., Wang, Z., Zhang, D., Kong, X., Ma, S., Duan, Y., Vyshnikin, A., & Palchykov, V. (2025). Performance Study of Graphite Oxide Polythiophene Composites for Microbial Fuel Cell. Coatings, 15(4), 412. https://doi.org/10.3390/coatings15040412
