Effect of Polycarboxylate Superplasticizers on Mechanical Properties and Modification Mechanism of Ultra-Fine Portland Cement
Abstract
1. Introduction
2. Test
2.1. Test Raw Materials
2.2. Test Method
3. Test Results and Analysis
3.1. The Influence of PCE Superplasticizer on the Fluidity of SPC Slurry
3.2. The Influence of PCE on the Setting Time of SPC Slurry
3.3. Effect of PCE on the Development of Compressive Strength in SPC Paste
3.4. The Influence of PCE on the Mechanical Performance of SPC: A Focus on Flexural Strength
4. Microstructural Characterization
4.1. Analysis of XRD
4.2. Analysis of SEM
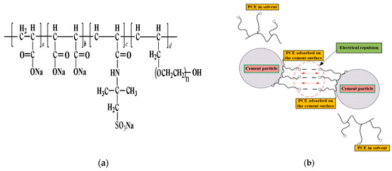
4.3. Analysis of the Modification Mechanism
5. Conclusions
- (1)
- The optimal PCE dosage was determined to be 0.25%, at which the SPC slurry exhibited a fluidity of 273 mm. The initial and final setting times were recorded at 268 min and 310 min, respectively, confirming that PCE serves as an effective plasticizer and set retarder.
- (2)
- The PCE content of 0.25% significantly improved the long-term mechanical properties, resulting in 28-day compressive and flexural strengths of 44.65 ± 0.5 MPa and 7.1 ± 0.2 MPa. This represents a 15.79% increase in compressive strength and a 14.52% increase in flexural strength compared to the mixture with 0.20% PCE.
- (3)
- SEM and XRD analyses elucidated the underlying mechanism, revealing that PCE influences the crystallization kinetics of ettringite (AFt). The optimal dosage promoted the formation of needle-like and rod-shaped AFt crystals, which contributed to a denser microstructure. A strong correlation was observed between the rate of crystal growth, the abundance of hydration products, and the resultant macroscopic mechanical strength.
6. Outlook and Future Work
- (1)
- Quantifying Hydration Kinetics and Adsorption Behavior
- (2)
- Correlating Macroscopic Properties with Quantitative Microstructure
- (3)
- From Observation to Active Microstructural Design
Author Contributions
Funding
Institutional Review Board Statement
Informed Consent Statement
Data Availability Statement
Conflicts of Interest
References
- Kang, H.; Zheng, Y.; Jiang, P.; Huang, B.; Guan, X.; Wang, Z.; Wu, Y. Roadway soft coal control technology by means of grouting bolts with high pressure-shotcreting in synergy in more than 1000 m deep coal mines. J. China Coal Soc. 2020, 45, 845–864. [Google Scholar]
- Wang, Y.; Fu, C.; Kuang, H.; Qin, H.; Xu, T.; Meng, W. Experimental study on the mechanical properties of cement-based grouting materials after exposed to high temperatures. Case Stud. Constr. Mater. 2024, 20, e03068. [Google Scholar] [CrossRef]
- Yao, J.; Feng, D.; Wang, Z.; Peng, C.; Zhang, Y.; Han, L. Experimental Study on Performance of Modified Cement-Based Building Materials under High-Water-Pressure Surrounding Rock Environment. Coatings 2023, 13, 501. [Google Scholar] [CrossRef]
- Wang, Q.; Li, W.Z. Physical and mechanical performance test and application of modified cement base grouting material. Coal Sci. Technol. 2016, 44, 57–63. [Google Scholar]
- Zhang, J.; Guan, X.; Li, H.; Liu, X. Performance and hydration study of ultra-fine sulfoaluminate cement-based double liquid grouting material. Constr. Build. Mater. 2017, 132, 262–270. [Google Scholar] [CrossRef]
- Ai, J.; Wang, Y.; Cheng, X.; Zhao, G.; Meng, X.; Huang, S. Influence of calcination temperature of industrial by-product gypsum on sulphoaluminate cement-based grouting material. Constr. Build. Mater. 2025, 478, 141455. [Google Scholar] [CrossRef]
- Wei, M.; Chen, L.; Lei, N.; Li, H.; Huang, L. Mechanical properties and microstructures of thermally activated ultrafine recycled fine powder cementitious materials. Constr. Build. Mater. 2025, 475, 141195. [Google Scholar] [CrossRef]
- Ren, J.; Guo, J.; Jin, Y.; Liu, F.; Liu, B.; Yan, S.; Shi, S. Enhancing workability of high-volume calcined clay blend cement pastes through optimized addition sequences of PCE superplasticizer. Case Stud. Constr. Mater. 2024, 21, e03541. [Google Scholar] [CrossRef]
- Hu, Q.; Zhang, L.; Luo, Q.; Yu, K.; Connolly, D.P.; Qin, L.; Wang, T. Impact of polycarboxylate superplasticizer dosage on controlled low strength material flowability and bleeding: Insights from water film thickness. Constr. Build. Mater. 2024, 447, 138145. [Google Scholar] [CrossRef]
- Taylor, H.F.W. Chemistry for Engineers. In Cement Chemistry; Thomas Telford Publishing: London, UK, 1997; p. 134. [Google Scholar] [CrossRef]
- Cao, M.; Zhang, C.; Wei, J. Microscopic reinforcement for cement based composite materials. Constr. Build. Mater. 2013, 40, 14–25. [Google Scholar] [CrossRef]
- Liu, D.; Jing, H.; Meng, Y. Experimental study of the direct shear characteristics of cement grout under constant normal loading and stiffness boundary conditions. Eur. J. Environ. Civ. Eng. 2024, 28, 718–735. [Google Scholar] [CrossRef]
- Ji, X.; Liu, C.B.; Liu, Q.; Hong, F.; Hou, D.; Wang, M. Molecular scale study on polyphosphate superplasticizers for cement fluidity improvement: Impact of phosphorus-containing functional groups. Mater. Struct. 2025, 58, 199. [Google Scholar] [CrossRef]
- Wei, X.; Li, X.; Di, J.; Qin, F.; Zhang, Z.; Liang, F. Flexural performance of U-shaped high-strength ECC permanent formwork-concrete composite beams. Structures 2025, 74, 108641. [Google Scholar] [CrossRef]
- Mirghaderi, S.R.; Taheri, G.; Ebrahimi, S. Improving a Conventional Connection of Beam-to-Weak Axis of H-shaped Column to Modify Load Path in Panel Zone. J. Earthq. Tsunami 2024, 18, 2450001. [Google Scholar] [CrossRef]
- Men, P.F.; Chen, F.M.; Qin, F.J.; Peng, X.; Di, J.; Jiao, H.R. Behavior of composite beams with UHPC-concrete composite slabs under negative bending moment. J. Constr. Steel Res. 2025, 227, 109415. [Google Scholar] [CrossRef]
- Shu, B.; Zhou, M.; Yang, T.; Li, Y.; Song, P.; Chen, A.; Barbieri, D.M. Performance study and engineering application of grouting materials with a large content of solid waste. Constr. Build. Mater. 2021, 312, 125464. [Google Scholar] [CrossRef]
- Yin, X.; Wu, Z.; Weng, L.; Xu, X.; Zhou, Y.; Liu, Q. A microstructure-based model for quantifying irreversible yield stress evolution in cement-based pastes during hydration. Cem. Concr. Res. 2024, 180, 107503. [Google Scholar] [CrossRef]
- Wang, X.; Yang, Q.; Peng, X.; Qin, F. A Review of Concrete Carbonation Depth Evaluation Models. Coatings 2024, 14, 386. [Google Scholar] [CrossRef]
- Li, K.; Wei, Z.Q.; Qiao, H.X.; Lu, C.G.; Guo, J.; Qiao, G.B. Research Progress of the Influence of Four Kinds of Admixtures on the Properties of Polymer Cement-based Materials. Mater. Rep. 2021, 35, 654–661. [Google Scholar]
- Huang, X.W.; Wang, Z.X.; Chen, Y.; Song, B.L.; Guan, K.X. Assessment of thermal conductivity of unsaturated frozen soils based on three-dimensional numerical models. Phys. Fluids 2025, 37. [Google Scholar] [CrossRef]
- Zhang, T.; Wang, Z.; Wang, W.; Li, G.; Guo, H.; Zhang, H. Property enhancement and mechanism of cement-based composites from the perspective of nano-silica dispersion improvement. Case Stud. Constr. Mater. 2025, 22, e04125. [Google Scholar] [CrossRef]
- Yang, K.; Liu, S.; Liu, Y.; Wu, K.; Duan, Z.; Xiao, J.; Xu, L. Unravelling determining role of recycled powder adsorbing polycarboxylate ethers in recycled cement paste dispersion. Constr. Build. Mater. 2025, 485, 141535. [Google Scholar] [CrossRef]
- Yang, Y.Z.; Tan, Y.; Li, Z.J.; Zhou, G.L.; Yu, X.M.; Xu, D.; Yong, Q.W.; Zhao, H.W.; Xie, Z.H. Interaction mechanisms between polycarboxylate superplasticizers and cement, and the influence of functional groups on superplasticizer performance: A review. Polym. Bull. 2024, 81, 10415–10438. [Google Scholar] [CrossRef]
- Wang, Y.; Wang, X.; Yao, F.; Lin, C.; Xu, S.; Li, Y.; Pan, L. What are the mechanisms of functional monomers’ effect on air entrainment of polycarboxylate superplasticizers in cement paste and mortar? Constr. Build. Mater. 2024, 442, 137038. [Google Scholar] [CrossRef]
- Ma, B.G.; Peng, Y.; Cao, X.R.; Tan, H.B.; Guo, Y.L.; Gu, B.Q.; Deng, X.F. Influence of Small Molecular Carboxylic Acid Polymer on Adsorption Mechanism of Polycarboxylate Superplasticizer. Bull. Chin. Ceram. Soc. 2018, 37, 2130–2135. [Google Scholar]
- Anwar, A.; Liu, X.; Zhang, L. To what extent can polycarboxylate superplasticizers enhance the dispersion characteristics of modified graphene oxide in cement? Insights from ultrasonication and high-shear mixing methods. Cem. Concr. Res. 2025, 195, 107881. [Google Scholar] [CrossRef]
- Pustovgar, A.P.; Krivoborodov, Y.R.; Adamtsevich, A.O.; Elenova, A.A.; Butenko, K.A.; Kramerov, D.V.; Bugaev, A.M. The Impact of Plasticizers on the Nature of the Alkali-Silicate Corrosion in Cement Composites. Buildings 2024, 14, 172. [Google Scholar] [CrossRef]











| Loss (%) | MgO (%) | Al2O3 (%) | SO3 (%) | CaO (%) | Fe2O3 (%) | C3S (%) | C3A (%) | Others |
|---|---|---|---|---|---|---|---|---|
| 1.35 | 3.10 | 5.57 | 24.52 | 61.09 | 3.82 | 44.72 | 2.35 | 3.48 |
| Cement | Setting Time/min | Compressive Strength/MPa | Flexural Strength/MPa | |||
|---|---|---|---|---|---|---|
| Initial Setting Time | Final Setting Time | 3 d | 28 d | 3 d | 28 d | |
| SPC | 130 | 235 | 33 | 42.9 | 5.6 | 6.9 |
| No. | W/C | Cement/g | Water/g | PCE/g |
|---|---|---|---|---|
| A0 | 0.35 | 3000.0 | 1050.0 | 6.0 |
| A1 | 0.35 | 3000.0 | 1050.0 | 7.5 |
| A2 | 0.35 | 3000.0 | 1050.0 | 9.0 |
Disclaimer/Publisher’s Note: The statements, opinions and data contained in all publications are solely those of the individual author(s) and contributor(s) and not of MDPI and/or the editor(s). MDPI and/or the editor(s) disclaim responsibility for any injury to people or property resulting from any ideas, methods, instructions or products referred to in the content. |
© 2025 by the authors. Licensee MDPI, Basel, Switzerland. This article is an open access article distributed under the terms and conditions of the Creative Commons Attribution (CC BY) license (https://creativecommons.org/licenses/by/4.0/).
Share and Cite
Huang, S.; Zhao, Z.; Meng, X.; Zhao, G.; Peng, X.; Yang, Q.; Li, F. Effect of Polycarboxylate Superplasticizers on Mechanical Properties and Modification Mechanism of Ultra-Fine Portland Cement. Coatings 2025, 15, 1386. https://doi.org/10.3390/coatings15121386
Huang S, Zhao Z, Meng X, Zhao G, Peng X, Yang Q, Li F. Effect of Polycarboxylate Superplasticizers on Mechanical Properties and Modification Mechanism of Ultra-Fine Portland Cement. Coatings. 2025; 15(12):1386. https://doi.org/10.3390/coatings15121386
Chicago/Turabian StyleHuang, Shunjie, Zengfeng Zhao, Xiangrui Meng, Guangming Zhao, Xi Peng, Qiuwei Yang, and Fenghui Li. 2025. "Effect of Polycarboxylate Superplasticizers on Mechanical Properties and Modification Mechanism of Ultra-Fine Portland Cement" Coatings 15, no. 12: 1386. https://doi.org/10.3390/coatings15121386
APA StyleHuang, S., Zhao, Z., Meng, X., Zhao, G., Peng, X., Yang, Q., & Li, F. (2025). Effect of Polycarboxylate Superplasticizers on Mechanical Properties and Modification Mechanism of Ultra-Fine Portland Cement. Coatings, 15(12), 1386. https://doi.org/10.3390/coatings15121386

