Electrospun ZnO Nanofibers as Functional Interlayer in CdS/PbS-Based n–p Thin Film Solar Cells
Abstract
1. Introduction
2. Materials and Methods
2.1. Deposition of ZnO Thin Film (Compact Layer)
2.2. Fabrication of Electrospun ZnO Nanofibers on Compact ZnO
2.3. Deposition of CdS Thin Film
2.4. Deposition of PbS Thin Film
2.5. Fabrication of the Devices and Application of Contacts
- •
- Cell A: FTO/compact ZnO (sol–gel)/ZnO nanofibers/CdS/PbS/Ag
- •
- Cell B: FTO/compact ZnO (sol–gel)/CdS/PbS/Ag
- •
- Cell C: FTO/CdS/PbS/Ag.
2.6. Characterization Techniques
3. Results and Discussion
3.1. Film Thickness Determination
3.2. Structural Analysis (XRD)
3.3. Surface Morphology and Elemental Composition (SEM/EDS)
3.4. Optical Absorption and Bandgap Determination
3.5. Hall Transport and Resistivity of ZnO, CdS, and PbS Films
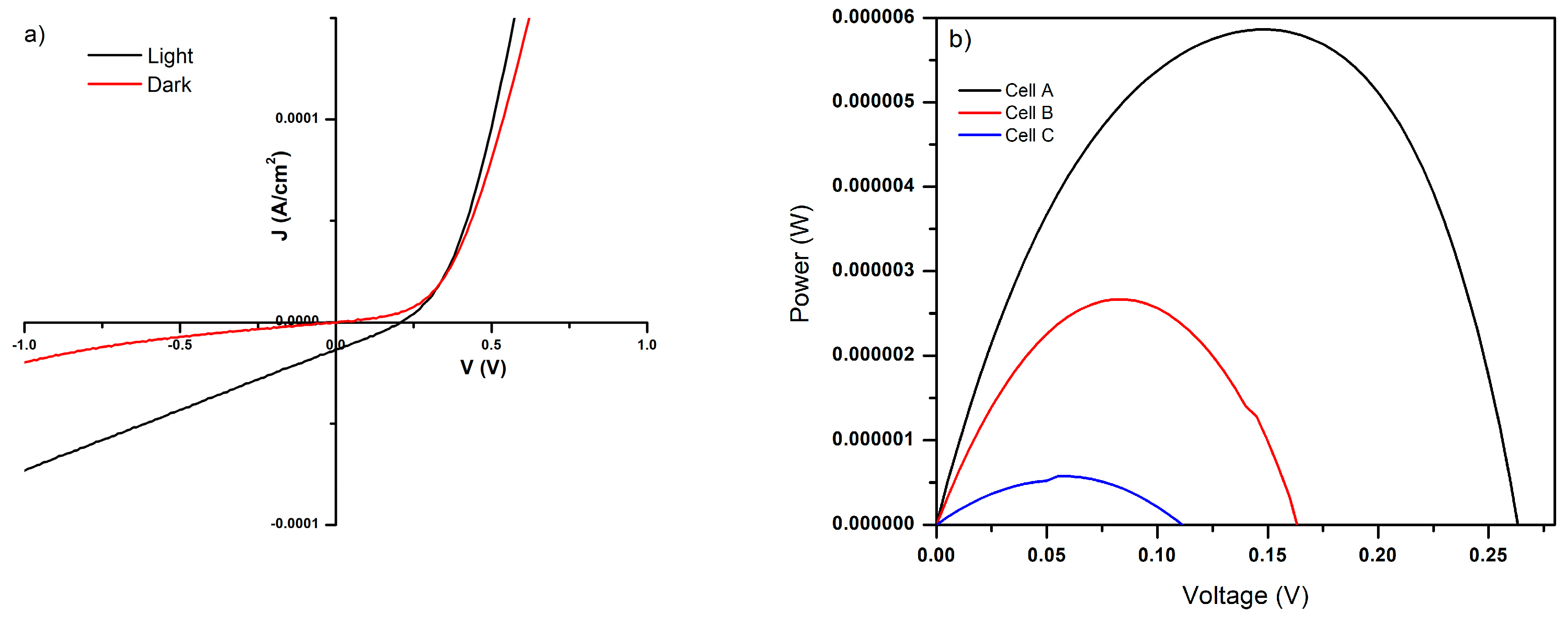
3.6. Device Efficiency
4. Conclusions
Supplementary Materials
Author Contributions
Funding
Institutional Review Board Statement
Informed Consent Statement
Data Availability Statement
Acknowledgments
Conflicts of Interest
Abbreviations
| ZnO | Zinc oxide |
| CdS | Cadmium sulfide |
| PbS | Lead sulfide |
| CBD | Chemical bath deposition |
| EDS | Energy dispersive spectroscopy |
| Voc | Open circuit voltage |
| Isc | Short-circuit intensity |
| ETL | Electron transport layer |
| FF | Fill-factor |
| 1D | One-dimensional |
| FTO | Fluorine-doped tin oxide |
| DI | Distilled water |
| PVA | Polyvinyl alcohol and polyvinyl acetate |
| XRD | X-ray diffraction |
| ITO | Indium tin oxide |
| FTIR | Fourier-transform infrared |
References
- Sivaraj, S.; Rathanasamy, R.; Kaliyannan, G.V.; Panchal, H.; Jawad Alrubaie, A.; Musa Jaber, M.; Said, Z.; Memon, S. A Comprehensive Review on Current Performance, Challenges and Progress in Thin-Film Solar Cells. Energies 2022, 15, 8688. [Google Scholar] [CrossRef]
- Villarreal Gómez, L.J.; Iglesias, A.L.; Miranda Soto, V.; Olivas Sarabia, A.; Valdez Castro, R.; López Maldonado, E.A.; Oropeza Guzmán, M.T.; Romero Soto, C.A.; Lizarraga Medina, E.G.; Vazquez Arce, J.L. Study of Electrospun Nanofibers Loaded with Ru(Ii) Phenanthroline Complexes as a Potential Material for Use in Dye-Sensitized Solar Cells (DSSCs). RSC Adv. 2023, 13, 36023–36034. [Google Scholar] [CrossRef] [PubMed]
- Nguyen, P.L.; Tran, T.N.; Le, M.T.; Ullah, A.; Phan, D.N.; Kim, I.S. Enhanced Dye Removal and Antibacterial Efficacy of Copper-Doped ZnO Nanoparticles on Cellulose Nanofibers. Adv. Mater. Interfaces 2024, 11, 1–11. [Google Scholar] [CrossRef]
- Reddy, V.S.; Tian, Y.; Zhang, C.; Ye, Z.; Roy, K.; Chinnappan, A.; Ramakrishna, S.; Liu, W.; Ghosh, R. A Review on Electrospun Nanofibers Based Advanced Applications: From Health Care to Energy Devices. Polymers 2021, 13, 3746. [Google Scholar] [CrossRef] [PubMed]
- Nair, P.K.; Nair, M.T.S.; García, V.M.; Arenas, O.L.; Peña, Y.; Castillo, A.; Ayala, I.T.; Gomezdaza, O.; Sánchez, A.; Campos, J.; et al. Semiconductor Thin Films by Chemical Bath Deposition for Solar Energy Related Applications. Sol. Energy Mater. Sol. Cells 1998, 52, 313–344. [Google Scholar] [CrossRef]
- Sengupta, S.; Aggarwal, R.; Raula, M. A Review on Chemical Bath Deposition of Metal Chalcogenide Thin Films for Heterojunction Solar Cells. J. Mater. Res. 2023, 38, 142–153. [Google Scholar] [CrossRef]
- Castillo-Sánchez, Y.B.; González, L.A. Chemically Deposited PbS Thin Films by Reaction Media with Glycine for Use in Photovoltaics. Mater. Sci. Semicond. Process 2021, 121, 105405. [Google Scholar] [CrossRef]
- Aouf, D.; Henni, A.; Selloum, D.; Khane, Y.; Fenniche, F.; Zerrouki, D.; Belkhalfa, H.; Dizge, N. Facile Preparation and Characterization of Nanostructured ZnS/PbS Heterojunction Thin Films for Enhanced Microbial Inhibition and Photocatalytic Degradation. Mater. Chem. Phys. 2023, 295, 127059. [Google Scholar] [CrossRef]
- Khurshid, S.; Latif, H.; Rasheed, S.; Sharif, R.; Sattar, A.; Amjad, R.J. Enhancement in Absorption Spectrum by ITO Coated, down Converting Glass as a Photoanode Substrate for Efficient PbS/CdS Quantum Dots Sensitized ZnO Nano-Rods Array Solar Cell. Opt. Mater. 2022, 124, 111991. [Google Scholar] [CrossRef]
- Mezher, M.J.; Kudhier, M.A.; Dakhil, O.A. Using ZnO-CdS Composite Nanofibers in the Photolytic Activity Under Sunlight Irradiation. arXiv 2023. [Google Scholar] [CrossRef]
- Hernández-León, P.A.; Castillo-Alvarado, F.L.; González-Cisneros, A.; Durán-Ledezma, A.A. C-V Model of CdS/CdTe Thin-Film Solar Cells Dependent on Applied Voltage Frequency. Rev. Mex. Fis. 2023, 69, 041604. [Google Scholar] [CrossRef]
- Pérez-García, C.E.; Ramírez-Bon, R.; Vorobiev, Y.V. PbS Thin Films Growth with CBD and PCBD Techniques: A Comparative Study. Chalcogenide Lett. 2015, 12, 579–588. [Google Scholar]
- Mohtaram, F.; Borhani, S.; Ahmadpour, M.; Fojan, P.; Behjat, A.; Rubahn, H.G.; Madsen, M. Electrospun ZnO Nanofiber Interlayers for Enhanced Performance of Organic Photovoltaic Devices. Sol. Energy 2020, 197, 311–316. [Google Scholar] [CrossRef]
- Kim, J.H.; Kim, K.P.; Kim, D.H.; Hwang, D.K. Electrospun ZnO Nanofibers as a Photoelectrode in Dye-Sensitized Solar Cells. J. Nanosci. Nanotechnol. 2015, 15, 2346–2350. [Google Scholar] [CrossRef] [PubMed]
- López-Covarrubias, J.G.; Soto-Muñoz, L.; Iglesias, A.L.; Villarreal-Gómez, L.J. Electrospun Nanofibers Applied to Dye Solar Sensitive Cells: A Review. Materials 2019, 12, 3190. [Google Scholar] [CrossRef]
- Choi, S.H.; Ankonina, G.; Youn, D.Y.; Oh, S.G.; Hong, J.M.; Rothschild, A.; Kim, I.D. Hollow ZnO Nanofibers Fabricated Using Electrospun Polymer Templates and Their Electronic Transport Properties. ACS Nano 2009, 3, 2623–2631. [Google Scholar] [CrossRef]
- Arifin, Z.; Hadi, S.; Jati, H.N.; Prasetyo, S.D. Suyitno Effect of Electrospinning Distance to Fabricate ZnO Nanofiber as Photoanode of Dye-Sensitized Solar Cells. AIP Conf. Proc. 2020, 2217, 030095. [Google Scholar] [CrossRef]
- Li, D.; Xia, Y. Electrospinning of Nanofibers: Reinventing the Wheel? Adv. Mater. 2004, 16, 1151–1170. [Google Scholar] [CrossRef]
- Di Mauro, A.; Fragalà, M.E.; Privitera, V.; Impellizzeri, G. ZnO for Application in Photocatalysis: From Thin Films to Nanostructures. Mater. Sci. Semicond. Process 2017, 69, 44–51. [Google Scholar] [CrossRef]
- Subbiah, T.; Bhat, G.S.; Tock, R.W.; Parameswaran, S.; Ramkumar, S.S. Electrospinning of Nanofibers. J. Appl. Polym. Sci. 2005, 96, 557–569. [Google Scholar] [CrossRef]
- Özgür, Ü.; Alivov, Y.I.; Liu, C.; Teke, A.; Reshchikov, M.A.; Doǧan, S.; Avrutin, V.; Cho, S.J.; Morko̧, H. A Comprehensive Review of ZnO Materials and Devices. J. Appl. Phys. 2005, 98, 041301. [Google Scholar] [CrossRef]
- Lauth, J.; Failla, M.; Klein, E.; Klinke, C.; Kinge, S.; Siebbeles, L.D.A. Photoexcitation of PbS Nanosheets Leads to Highly Mobile Charge Carriers and Stable Excitons. Nanoscale 2019, 11, 21569–21576. [Google Scholar] [CrossRef]
- Klingshirn, C. ZnO: From Basics towards Applications. Phys. Status Solidi Basic Res. 2007, 244, 3027–3073. [Google Scholar] [CrossRef]
- Kolodziejczak-Radzimska, A.; Jesionowski, T. Zinc Oxide-from Synthesis to Application: A Review. Materials 2014, 7, 2833–2881. [Google Scholar] [CrossRef]
- Silva, Y.S.d.S.; Marques, M.d.F.V. Organic Solar Cells with Nanofibers in the Active Layer Obtained by Coaxial Electrospinning. Adv. Energy Convers. Mater. 2023, 4, 96–120. [Google Scholar] [CrossRef]
- Tanveer, M.; Habib, A.; Khan, M.B. Structural and Optical Properties of Electrospun ZnO Nanofibres Applied to P3HT:PCBM Organic Photovoltaic Devices. J. Exp. Nanosci. 2015, 10, 640–650. [Google Scholar] [CrossRef]
- Hakim, A.A.N.; Rashid, A.R.A.; Arsad, N.; Surani, A.H. Zinc Oxide Thin Film Synthesized by Sol-Gel Method. Solid. State Phenom. 2020, 307, 51–57. [Google Scholar] [CrossRef]
- Najm, A.S.; Chelvanathan, P.; Tiong, S.K.; Ferdaous, M.T.; Shahahmadi, S.A.; Yusoff, Y.; Sopian, K.; Amin, N. Numerical Insights into the Influence of Electrical Properties of N-CdS Buffer Layer on the Performance of SLG/Mo/p-Absorber/n-CdS/n-ZnO/Ag Configured Thin Film Photovoltaic Devices. Coatings 2021, 11, 52. [Google Scholar] [CrossRef]
- Nur-E-Alam, M.; Yap, B.K.; Islam, M.A.; Yong, T.C.; Kiong, T.S.; Chan, K.Y.; Thien, G.S.H.; Basher, M.K.; Tamam, N.; Khandaker, M.U. Spin-Coated Mg-Doped ZnO Thin Films as Electron Transport Layers for Efficient and Stable Perovskite Solar Cells. Sci. Rep. 2025, 15, 36618. [Google Scholar] [CrossRef] [PubMed]
- Qiu, C.; Wu, Y.; Song, J.; Wang, W.; Li, Z. Efficient Planar Perovskite Solar Cells with ZnO Electron Transport Layer. Coatings 2022, 12, 1981. [Google Scholar] [CrossRef]
- Sharma, R.; Lee, H.; Borse, K.; Gupta, V.; Joshi, A.G.; Yoo, S.; Gupta, D. Ga-Doped ZnO as an Electron Transport Layer for PffBT4T-2OD: PC70BM Organic Solar Cells. Org. Electron. 2017, 43, 207–213. [Google Scholar] [CrossRef]
- Yeon, D.H.; Mohanty, B.C.; Lee, C.Y.; Lee, S.M.; Cho, Y.S. High-Efficiency Double Absorber PbS/CdS Heterojunction Solar Cells by Enhanced Charge Collection Using a ZnO Nanorod Array. ACS Omega 2017, 2, 4894–4899. [Google Scholar] [CrossRef] [PubMed]
- Wibowo, A.; Marsudi, M.A.; Amal, M.I.; Ananda, M.B.; Stephanie, R.; Ardy, H.; Diguna, L.J. ZnO Nanostructured Materials for Emerging Solar Cell Applications. RSC Adv. 2020, 10, 42838–42859. [Google Scholar] [CrossRef]
- Bakry, M.; Ismail, W.; Abdelfatah, M.; El-Shaer, A. Low-Cost Fabrication Methods of ZnO Nanorods and Their Physical and Photoelectrochemical Properties for Optoelectronic Applications. Sci. Rep. 2024, 14, 23788. [Google Scholar] [CrossRef] [PubMed]
- Obaid, A.S.; Hassan, Z.; Mahdi, M.A.; Bououdina, M. Fabrication and Characterisations of N-CdS/p-PbS Heterojunction Solar Cells Using Microwave-Assisted Chemical Bath Deposition. Sol. Energy 2013, 89, 143–151. [Google Scholar] [CrossRef]
- Anero, M.L.A.; Montallana, A.D.S.; Vasquez, M.R. Fabrication of Electrospun Poly(Vinyl Alcohol) Nanofibers Loaded with Zinc Oxide Particles. Results Phys. 2021, 25, 104223. [Google Scholar] [CrossRef]
- Hodes, G.; Gal, D.; Schock, H. Chemical Solution Deposition of Semiconductor Films; Taylor & Francis: Abingdon, UK, 2000; Volume 362, ISBN 0824708512. [Google Scholar]
- Ortega-Borges, R.; Lincot, D. Mechanism of Chemical Bath Deposition of Cadmium Sulfide Thin Films in the Ammonia-Thiourea System: In Situ Kinetic Study and Modelization. J. Electrochem. Soc. 1993, 140, 3464–3473. [Google Scholar] [CrossRef]
- Dofia, J.M.; Herrero, J. Chemical Bath Deposition of CdS Thin Films: An Approach to the Chemical Mechanism Through Study of the Film Microstructure. J.Electrochem. Soc. 1997, 144, 4081–4091. [Google Scholar]
- Seghaier, S.; Kamoun, N.; Brini, R.; Amara, A.B. Structural and Optical Properties of PbS Thin Films Deposited by Chemical Bath Deposition. Mater. Chem. Phys. 2006, 97, 71–80. [Google Scholar] [CrossRef]
- Pérez-García, C.E.; Meraz-Dávila, S.; Arreola-Jardón, G.; De Moure-Flores, F.; Ramírez-Bon, R.; Vorobiev, Y.V. Characterization of PbS Films Deposited by Successive Ionic Layer Adsorption and Reaction (SILAR) for CdS/PbS Solar Cells Application. Mater. Res. Express 2020, 7, 015530. [Google Scholar] [CrossRef]
- Glatthaar, R.; Huster, F.; Okker, T.; Cela Greven, B.; Seren, S.; Hahn, G.; Terheiden, B. Contact Formation of Silver Paste and Atmospheric Pressure Chemical Vapor Deposition (n) Poly-Silicon Passivating Contacts on Planar and Textured Surfaces. Phys. Status Solidi Appl. Mater. Sci. 2022, 219, 2200501. [Google Scholar] [CrossRef]
- Ismail, W.; Ibrahim, G.; Habib, M.A.; Alduaij, O.K.; Abdelfatah, M.; El-Shaer, A. Advancement of Physical and Photoelectrochemical Properties of Nanostructured CdS Thin Films toward Optoelectronic Applications. Nanomaterials 2023, 13, 1764. [Google Scholar] [CrossRef]
- Carrasco-Chavez, L.A.; Rubio-Valle, J.F.; Jiménez-Pérez, A.; Martín-Alfonso, J.E.; Carrillo-Castillo, A. Study of CdS/CdS Nanoparticles Thin Films Deposited by Soft Chemistry for Optoelectronic Applications. Micromachines 2023, 14, 1168. [Google Scholar] [CrossRef]
- Barote, M.A.; Yadav, A.A.; Chavan, T.V.; Masumdar, E.U. Characterization and Photoelectrochemical Properties of Chemical Bath Deposited N-PbS Thin Films. Dig. J. Nanomater. Biostruct. (DJNB) 2011, 6, 979–990. [Google Scholar]
- Nasrin, T.; Selvanathan, V.; Islam, M.A.; Haque, M.M.; Rashid, A.W.; Ludin, N.A.; Chelvanathan, P.; Kiong, T.S.; Alanazi, A.M.; AlMohamadi, H.; et al. Exploring Ionic Liquid Assisted Chemical Bath Deposition of a Highly Uniform and Transparent Cadmium Sulfide Thin Film for Photovoltaic Applications. RSC Adv. 2025, 15, 4892–4903. [Google Scholar] [CrossRef] [PubMed]
- Ampadu, E.K.; Kim, J.; Oh, E. Lateral Pbs Photovoltaic Devices for High Performance Infrared and Terahertz Photodetectors. Nanomaterials 2021, 11, 1692. [Google Scholar] [CrossRef] [PubMed]
- Kim, H.J.; Lee, S.H.; Jeon, D.; Lee, S.N. High-Performance Sol–Gel-Derived CNT-ZnO Nanocomposite-Based Photodetectors with Controlled Surface Wrinkles. Materials 2024, 17, 5325. [Google Scholar] [CrossRef]
- Ierides, I.; Ligorio, G.; McLachlan, M.A.; Guo, K.; List-Kratochvil, E.J.W.; Cacialli, F. Inverted Organic Photovoltaics with a Solution-Processed Mg-Doped ZnO Electron Transport Layer Annealed at 150 °C. Sustain. Energy Fuels 2022, 6, 2835–2845. [Google Scholar] [CrossRef]
- Liu, X.; Ji, Y.; Xia, Z.; Zhang, D.; Cheng, Y.; Liu, X.; Ren, X.; Liu, X.; Huang, H.; Zhu, Y.; et al. In-Doped ZnO Electron Transport Layer for High-Efficiency Ultrathin Flexible Organic Solar Cells. Adv. Sci. 2024, 11, e2402158. [Google Scholar] [CrossRef]
- Lv, Q.; Li, R.; Fan, L.; Huang, Z.; Huan, Z.; Yu, M.; Li, H.; Liu, G.; Qiao, G.; Liu, J. High Detectivity of PbS Films Deposited on Quartz Substrates: The Role of Enhanced Photogenerated Carrier Separation. Sensors 2023, 23, 8413. [Google Scholar] [CrossRef]
- Yang, M.; Liu, H.; Wen, S.; Du, Y.; Gao, F. Optimizing the Infrared Photoelectric Detection Performance of Pbs Quantum Dots through Solid-State Ligand Exchange. Materials 2022, 15, 9058. [Google Scholar] [CrossRef] [PubMed]
- Kwon, J.B.; Ha, Y.; Choi, S.; Jung, D. Development of a Highly Reliable PbS QDs-Based SWIR Photodetector Based on Metal Oxide Electron/Hole Extraction Layer Formation Conditions. Nanomaterials 2025, 15, 1107. [Google Scholar] [CrossRef]
- Li, Y.; Wei, L.; Chen, X.; Zhang, R.; Sui, X.; Chen, Y.; Jiao, J.; Mei, L. Efficient PbS/CdS Co-Sensitized Solar Cells Based on TiO2 Nanorod Arrays. Nanoscale Res. Lett. 2013, 8, 67. [Google Scholar] [CrossRef]
- Obaid, A.S.; Mahdi, M.A.; Hassan, Z.; Bououdina, M. Preparation of Chemically Deposited Thin Films of CdS/PbS Solar Cell. Superlattices Microstruct. 2012, 52, 816–823. [Google Scholar] [CrossRef]
- Encinas-Terán, A.; Pineda-León, H.A.; Gómez-Colín, M.R.; Márquez-Alvarez, L.R.; Ochoa-Landín, R.; Apolinar-Iribe, A.; Gastélum-Acuña, S.L.; Mendívil-Reynoso, T.; Castillo, S.J. Synthesis and Characterization of a Semiconductor Diodic Bilayer PbS/CdS Made by the Chemical Bath Deposition Technique. ACS Omega 2024, 9, 24321–24332. [Google Scholar] [CrossRef] [PubMed]





| Thin Film | Process Time | Thicknesses (nm) |
|---|---|---|
| ZnO (compact, sol–gel) | - | 451 |
| CdS (CBD) | 60 min | 133 |
| PbS (CBD) 4 h | 4 h | 255 |
| PbS (CBD) 5 h | 5 h | 327 |
| Sample | S (Weight %) | S (Atomic %) | Cd (Weight %) | Cd (Atomic %) |
|---|---|---|---|---|
| 1 | 24.69 | 53.47 | 75.31 | 46.53 |
| 2 | 18.20 | 43.82 | 81.80 | 56.18 |
| 3 | 16.90 | 41.64 | 83.10 | 58.38 |
| 4 | 19.09 | 45.27 | 80.91 | 54.73 |
| 5 | 16.81 | 41.25 | 83.91 | 58.74 |
| 19.41 | 45.09 | 80.86 | 54.91 | |
| sd | 3.24 | 4.96 | 3.24 | 4.96 |
| Sample | Pb (Weight %) | Pb (Atomic %) | S (Weight %) | S (Atomic %) |
|---|---|---|---|---|
| 1 | 89.64 | 57.24 | 10.36 | 42.75 |
| 2 | 87.47 | 51.93 | 12.53 | 48.07 |
| 3 | 86.23 | 49.22 | 13.77 | 50.78 |
| 4 | 85.84 | 48.40 | 14.16 | 51.59 |
| 5 | 86.59 | 49.98 | 13.41 | 50.01 |
| 87.15 | 51.35 | 12.85 | 48.64 | |
| sd | 1.51 | 3.54 | 1.51 | 3.54 |
| Sample | Majority Carrier (cm3) | µ (cm2/Vs) | ρ (Ωcm) |
|---|---|---|---|
| CdS-60 min | −4.80 × 10 14 | 4.35 | 5.49 × 104 |
| PbS-4h | 7.19 × 1015 | 146 | 12.56 |
| PbS-5h | 1.69 × 1016 | 143 | 32.79 |
| ZnO | −1.49 × 1014 | 5.85 | 1.98 × 105 |
| Sample | Voc (V) | Isc (A) | Jsc (mA/cm2) | Pmax (W) | FF | Efficiency (%) |
|---|---|---|---|---|---|---|
| Cell A | 0.2629 | 1.0185 × 10−4 | 3.242 | 5.891 × 10−6 | 0.22 | 0.187 |
| Cell B | 0.1633 | 6.7089 × 10−5 | 2.136 | 2.629 × 10−6 | 0.24 | 0.0837 |
| Cell C | 0.1101 | 1.8638 × 10−5 | 5.933 | 5.746 × 10−7 | 0.28 | 0.0183 |
Disclaimer/Publisher’s Note: The statements, opinions and data contained in all publications are solely those of the individual author(s) and contributor(s) and not of MDPI and/or the editor(s). MDPI and/or the editor(s) disclaim responsibility for any injury to people or property resulting from any ideas, methods, instructions or products referred to in the content. |
© 2025 by the authors. Licensee MDPI, Basel, Switzerland. This article is an open access article distributed under the terms and conditions of the Creative Commons Attribution (CC BY) license (https://creativecommons.org/licenses/by/4.0/).
Share and Cite
Hernández-Hernández, R.; Licea-Jiménez, L.; de Moure-Flores, F.; Santos-Cruz, J.; Gutiérrez-Peralta, A.; Pérez-García, C.E. Electrospun ZnO Nanofibers as Functional Interlayer in CdS/PbS-Based n–p Thin Film Solar Cells. Coatings 2025, 15, 1371. https://doi.org/10.3390/coatings15121371
Hernández-Hernández R, Licea-Jiménez L, de Moure-Flores F, Santos-Cruz J, Gutiérrez-Peralta A, Pérez-García CE. Electrospun ZnO Nanofibers as Functional Interlayer in CdS/PbS-Based n–p Thin Film Solar Cells. Coatings. 2025; 15(12):1371. https://doi.org/10.3390/coatings15121371
Chicago/Turabian StyleHernández-Hernández, Rodrigo, Liliana Licea-Jiménez, Francisco de Moure-Flores, José Santos-Cruz, Aime Gutiérrez-Peralta, and Claudia Elena Pérez-García. 2025. "Electrospun ZnO Nanofibers as Functional Interlayer in CdS/PbS-Based n–p Thin Film Solar Cells" Coatings 15, no. 12: 1371. https://doi.org/10.3390/coatings15121371
APA StyleHernández-Hernández, R., Licea-Jiménez, L., de Moure-Flores, F., Santos-Cruz, J., Gutiérrez-Peralta, A., & Pérez-García, C. E. (2025). Electrospun ZnO Nanofibers as Functional Interlayer in CdS/PbS-Based n–p Thin Film Solar Cells. Coatings, 15(12), 1371. https://doi.org/10.3390/coatings15121371

