Next Article in Journal
Research on Aging Characteristics and Interfacial Adhesion Performance of Polyurethane-Modified Asphalt
Previous Article in Journal
Optimization and Evaluation of Carbon/Carbon Thermal Insulation Tube CVI Densification for Czochralski Monocrystalline Silicon Rod
 
 
Font Type:
Arial Georgia Verdana
Font Size:
Aa Aa Aa
Line Spacing:
Column Width:
Background:
Article

Theoretical and Experimental Study on Coating Uniformity in Automatic Spray-Coating of Pipeline Weld Repairs

1
College of Mechanical and Transportation Engineering, China University of Petroleum-Beijing, Beijing 102249, China
2
PipeChina Engineering Technology Innovation Co., Ltd., Tianjin 300450, China
3
PipeChina North Pipeline Company, Langfang 065000, China
4
College of Engineering, China University of Petroleum-Beijing at Karamay, Karamay 834000, China
*
Author to whom correspondence should be addressed.
Coatings 2025, 15(10), 1193; https://doi.org/10.3390/coatings15101193
Submission received: 9 September 2025 / Revised: 1 October 2025 / Accepted: 4 October 2025 / Published: 10 October 2025

Abstract

Pipeline anticorrosion patch spray coating is a critical process in pipeline construction and maintenance. It directly affects the adhesion between the pipe exterior and the heat-shrink sleeve and indirectly determines the quality of the coating bond. This study employs ANSYS FLUENT numerical simulations, complemented by on-site automated spray-gun experiments, to systematically investigate the influence of two key parameters—spray distance and gun traverse speed—on coating thickness distribution and uniformity. For both flat and cylindrical specimens, response surface methodology (RSM) applies to construct mathematical deposition models and to optimize process parameters. Simulation results indicate that increasing spray distance leads to edge thinning, while excessive traverse speed causes non-uniform thickness. Optimization improves coating uniformity by 18% on flat specimens and up to 15% on cylindrical specimens. Field validation demonstrates that the optimized process reduces process deviation from the target thickness to within ±10%. At the same time, the maximum relative error between simulation and experiment remains within 13.5%, and the deviation from the standard thickness is 12.25%. These findings provide solid theoretical foundations and practical guidance for automated spray-coating optimization, thereby enhancing the anticorrosion performance of pipeline joints.

1. Introduction

The pipeline anticorrosion coating repair spraying process lies between sandblasting rust removal and the installation of heat-shrink sleeves in the anticorrosion repair procedure. It bridges the treatment of the sandblasted surface and enhances the adhesion of heat-shrink sleeves to the pipe wall, making it a critical step in pipeline construction and maintenance. In practice, the geometric complexity of weld seams and the variations in coating thickness create significant challenges. If the spraying is uneven, weak points, bubbles, or wrinkles may occur, quickly becoming sites of corrosion initiation and significantly shortening the pipeline’s service life. Therefore, the technical level of this process directly determines the overall performance and long-term reliability of the anticorrosion system. According to reports from NACE and related studies [1,2,3,4], the global direct economic loss caused annually by pipeline corrosion—including failures associated with inadequate field-joint coating—amounts to more than one hundred billion USD. Pipeline transportation serves as the lifeline of energy supply, and anticorrosion coatings are essential for ensuring its long-term safe operation. Thus, how to achieve rapid and precise implementation of pipeline anticorrosion repair spraying, as well as how to extend the service life of anticorrosion repair processes, have become focal issues in the pipeline maintenance and emergency repair industry [5,6,7,8,9,10].
At present, manual repair spraying is inefficient, with coating thickness fluctuations reaching ±50 μm, making it difficult to meet modern industrial demands for high precision and high efficiency. With the rapid development of industrial automation technology, automated spraying systems are gradually becoming mainstream. Automated spraying technology can achieve high repeatability through program control, reducing human interference and significantly improving the stability of coating quality. Graco [11] launched the XM70 multi-component high-pressure airless spraying system, which uses PLC control to realize closed-loop monitoring of spraying ratio, temperature, pressure, and coating thickness. In typical applications, it can complete internal and external pipe segment coating within 30 min while maintaining approximately 500 μm thickness consistency. Bonatti [12] developed the “MCL Machine” for weld seam coating repair scenarios, achieving uniformity and high repeatability of coating thickness through precise control of spraying speed and mixing ratio. In addition, CRC Evans [13] provides automated equipment packages such as SABRE, IMPP, MCL, and FFJ, capable of performing automatic weld seam sandblasting, preheating, and precise overlay of powder/liquid coatings, widely applied in both onshore and subsea pipeline coating operations. VR Coatings [14] offers an automated external wall spraying system that employs high-pressure airless spray guns and automated travel mechanisms, improving efficiency, stability, and coating uniformity in repair applications. The background of this study is based on the field of pipeline joint coating, which exhibits a considerable degree of process specificity. The joint-coating procedure exerts a certain influence on both the properties of the coating material and the spraying method.
The repair and anticorrosion procedure for field joints is a crucial step in ensuring the continuity and sealing integrity of the anticorrosion layer on buried steel pipelines. As illustrated in Figure 1, the primary workflow comprises the following: cleaning of the weld and surrounding areas; abrasive blasting for rust removal; preheating of the pipe surface; application of an epoxy primer with a thickness not less than 200 µm and natural curing followed by installation of a heat-shrink sleeve. During sleeve installation, the primer and overlapping region must be reheated to specified temperatures. A thermally activated adhesive-type polyethylene heat-shrink sleeve is applied to encapsulate the joint. Controlled flame and/or induction heating are used to achieve uniform shrinkage and tempering, resulting in an anticorrosion structure with an overlap width of at least 100 mm, free of bubbles and wrinkles. The entire process must be conducted under environmental conditions—temperature, humidity, and wind speed—that comply with relevant standards, and quality control must be ensured through temperature monitoring, coating thickness measurement, holiday detection (spark testing), and adhesion peel testing, thereby guaranteeing the long-term corrosion resistance of the welded joint. If the final quality inspection of the joint coating does not meet the quality requirements, the joint coating process needs to be rechecked, as shown at node A in Figure 1.
Conducting numerical simulation to study the paint application process offers advantages including precise boundary condition control, lower experimental costs, shorter operational cycles, and the ability to perform repeatable simulations under identical conditions, which significantly improves design optimization feasibility. Consequently, numerical modeling, particularly CFD, holds substantial value in investigating spray coating mechanisms. With the advancement of CFD technology, the simulation of film formation under diverse conditions can ideally be elucidated through integration with experimental data.
For instance, Yu Kun et al. [15] utilized CFD to analyze how variations in spray pressure and atomization gas pressure in an atomizing spray gun affect the characteristics of the spray flow field and coating stability, thereby identifying optimal spray parameter ranges. Conner et al. [16] and Zhao et al. [17] developed mathematical models for film thickness distribution in electrostatic rotary cup spraying based on planar analyses of the influence of cup rotation speed; however, the applicability of these models is restricted to electrostatic rotary cups and becomes invalid if replaced by air spray guns. J. Liu et al. [18] established a Euler–Euler CFD model for static cylindrical surface spraying, investigating the effects of spray-gun height and inclination angle on liquid film thickness and uniformity, with numerical prediction achieved via Gaussian fitting—offering guidance for spray path design. Li et al. [19] employed a more refined CFD−DEM coupled simulation considering droplet collisions and wall adherence behaviors, performing statistical analysis on air-spray coating thickness within a channel cross-section to reveal the effects of rotation speed and turbulence models on coating uniformity. Xie and Wang et al. [20] focused on multi-nozzle interference effects; through Euler–Lagrange CFD simulations, they demonstrated that a triple-nozzle configuration improves coating width and thickness uniformity compared to single or dual nozzles, and proposed optimization suggestions for nozzle geometry parameters. Although previous studies using CFD have revealed the effects of spray-gun height, angle, and geometry on coating thickness, most of these works are restricted to static conditions and lack dynamic modeling of the “spray-gun trajectory–geometric surface coupling” scenario. They do not simultaneously capture the instantaneous kinematic characteristics of the nozzle along its path and the temporal evolution of the spray imprint on the curved surface (under the assumption of steady motion).
Therefore, the present study combines theoretical modeling with numerical simulation to propose an improved cylindrical coating deposition model. Using CFD software (ANSYS Fluent, version 2024R1) in conjunction with response surface experimental design, the effects of parameters such as spray distance and traverse speed on coating uniformity are elucidated. The research outcomes are expected to provide theoretical support and technical reference for the intelligent control of automated spray coating processes.

2. Materials and Methods

2.1. Planar Coating Deposition Model

In spray operations, the spray gun is rigidly fixed relative to the workpiece, with its axis maintained perpendicular to the target surface. The spatial distribution of the coating is influenced by various factors—including spray gun design, air pressure, nozzle geometry, and more. Any change in one of these parameters alters the characteristics of the deposition.
To simplify the model, the following assumptions are applied: the system operates under moderate working pressure, and the spray cone angle is confined within a small range to ensure atomization quality. These assumptions are based on the actual operating parameters of common industrial spraying equipment and are feasible in engineering applications. However, these assumptions neglect possible droplet breakup under high-pressure conditions and atomization non-uniformity under large spray-cone angles. Therefore, their applicability is mainly limited to spraying environments with medium pressure and small cone angles. Under these conditions, when the nozzle operates within a range of θ 0 , a uniform coating thickness distribution is achieved. The spray region on the workpiece is approximately treated as circular [21], as shown in Figure 2a. Additionally, the deposition process is modeled using a quadratic Bézier curve, with the growth-rate function depicted in Figure 2b.
f r = D 0 r R 0 2 R 0 R 2 r R 0 2 + 1 D R 0 < r R + R 0 2 2 R 0 R 2 r R 2 D R + R 0 2 < r R
It is essential to rigidly fix the spray gun relative to the workpiece and ensure that the gun axis remains perpendicular to the target surface. The spatial distribution model of the coating is influenced by multiple factors, including spray-gun architecture, air pressure, and nozzle geometry. Any change in these parameters will alter the characteristic profile of the deposited coating. In the model, let D denote the coating thickness (mm) deposited over the interval [ R 0 , R 0 ] per unit time; R 0 represent the radius (mm) within which the coating distribution remains uniform; and R denote the overall radius (mm) of the spray coverage.
To ensure that the piecewise deposition distribution function f r is consistent with the actual spray pattern, this study calibrates the coverage radius R and the central uniform radius R 0 based on spray-gun parameters. First, according to the atomization cone angle θ and spray distance H provided in the nozzle datasheet, the initial value of the coverage radius is obtained geometrically as
R ( 0 ) = H tan θ 2
Without altering the spray pressure or nozzle structure (in this study, the spray pressure was 0.7 MPa, and the nozzle diameter was 1 mm), R ( 0 ) is taken as the initial value of the spray footprint boundary. Second, the radial profile of the near-wall coating deposition flux obtained from ANSYS Fluent is used to perform a fitting of the central “plateau region” width, which is defined as
R 0 ( 0 ) = κ R ( 0 ) , κ ( 0 , 1 )
where κ is determined from the ratio of the plateau width to the outer radius, obtained either from the nozzle flow-rate distribution curve or from CFD profiles. Third, a calibration experiment was conducted by spraying onto a steel plate for 1 s (under the same material and environmental conditions as in Section 3.3). Thickness–radius curves were measured with a film-thickness gauge, and R and R 0 were adjusted via least-squares fitting so that the quadratic Bézier approximation f ( r ) simultaneously matched the measured plateau width and edge decay region. The final ( R , R 0 ) values were confirmed once both the mean-square error and plateau-region deviation were below the prescribed thresholds.
In practical spray operations, what is needed is a mathematical expression for the coating thickness on the sprayed surface, which offers clarity and directness in analysis [22]. The total flow rate over the entire cross-section, denoted as Q , is given by:
Q = 7 R 2 + 10 R R 0 + 7 R 0 2 24 π D
Therefore, we obtain
D = 24 Q 7 R 2 + 10 R R 0 + 7 R 0 2 π
The formula for calculating the thickness of the coating is written as follows:
T r = D q r = 24 Q 7 R 2 + 10 R R 0 + 7 R 0 2 π 0 r R 0 24 Q 7 R 2 + 10 R R 0 + 7 R 0 2 π 2 R 0 R 2 r R 0 2 + 1 R 0 < r R + R 0 2 24 Q 7 R 2 + 10 R R 0 + 7 R 0 2 π 2 ( R 0 R ) 2 ( r R ) 2 R + R 0 2 < r R
In the dynamic spraying process, the coating thickness at any arbitrary point on the workpiece surface is expressed as the integral of the deposition contributions along the spray path over time [12]. Under the assumption of uniform deposition rate—i.e., the incremental thickness at any location within the sprayed region varies linearly with time—a mathematical model for coating growth per unit time is established. In this context, the growth-rate function aligns with that previously defined in Equation (1).
When the nozzle moves at a constant speed v while remaining perpendicular to the workpiece surface, the coating thickness at any point S within the spray footprint is described as:
q i = 2 D [ 0 1 1 d t + 1 1 ( 1 2 ( R 0 R ) 2 ( r i R 0 ) 2 ) d t + 1 1 2 ( R 0 R ) 2 ( r i R ) 2 d t ] 0 x R 0 2 D [ 0 1 ( 1 2 ( R 0 R ) 2 ( r i R 0 ) 2 ) d t + 1 1 2 ( R 0 R ) 2 ( r i R ) 2 d t ]   R 0 x R 1 2 D [ 0 1 2 ( R 0 R ) 2 ( r i R ) 2 d t ]   R 1 x R
In this formulation, t 1 = R 0 2 x 2 ν ; t 2 = R 1 2 x 2 ν ; t 3 = R 2 x 2 ν ; r s = ( ν t ) 2 + x 2 ; R 1 = R + R 0 2 . Here, x represents the distance (in mm) from point S within the spray radius to the spray path. The times t 1 ,   t 2 , and t 3 denote half of the spray exposure durations at point S when the nozzle travels along paths with different characteristic radii, measured in seconds (t). The variable r s denotes the instantaneous distance (in mm) from point S to the projection of the nozzle center on the spray path [23].

2.2. Cylindrical Surface Coating Deposition Model

In this study, the following assumptions are made regarding the spray coating process: The repair (field joint) region remains static and undergoes no deformation during spraying; The surface of the repair area is a regular cylindrical curved surface, as depicted in Figure 3. A Cartesian coordinate system is established with the spray center as the origin. The target surface to be coated is represented by the implicit equation: F ( x , y , z ) = 0 , where z = h ( x , y ) , and both functions are defined over the entire real number domain R [24].
The general expression for cylindrical surfaces is written as follows:
F c y l i n d r i c a l   s u r f a c e s x , y , z = x x 0 2 + y y 0 2 r 0 = 0
For calculating the projected area of a spraying model on a circular arc surface, there is
S c 2 = S c 1 H s H 2
In the formula, Sc1 denotes the planar spray area (in mm2); Sc2 represents the horizontal projection area of the spray on the curved arc surface (in mm2); Hs is the distance (in mm) from the spray gun to the projection plane; H is the actual normal distance (in mm) from the spray gun to the cylindrical (arc) surface.
The thickness variation of the vertically sprayed surface in the projection area is
T 2 = T 1 ( H H s ) 2
In the formula, T1 denotes the coating thickness (in mm) deposited on the projection plane, and T2 denotes the coating thickness (in mm) deposited on the actual curved (arc-shaped) surface within the corresponding projected region.
To determine the coating thickness distribution over a tangential infinitesimal surface element of the curved surface, a dual-coordinate transformation based on the same spray angle must be employed. This method leverages the spatial geometric relationships among circular regions at different cross-sections under conical spraying conditions. Consequently, the cumulative deposition rate on the surface at radius ρ can be expressed as:
T s x , y , z = f r H H s 2 cos γ s cos θ s = A R 2 r 2 H H s 2 cos θ s ± λ s cos θ s
In the actual spraying process, when the deposited thickness grows beyond approximately 1 mm, gravitational forces along the circumferential direction of the cylindrical wall drive the wet film to flow, leading to a redistribution of thickness between the upper and lower surfaces of the pipeline. To capture this effect, we treat the macroscopic deposition rate term T s x , y , z (see Equation (11)) as the source term input for the thin-film model. The film thickness h ( φ , t ) and the average velocity u l in the wall-surface coordinates satisfy the following equations:
h t + ( h u l ) x = T s ρ , u l ρ g h 2 c o s φ 3 μ
By coupling the geometric deposition distribution Equation (11) with the thin-film dynamics model (10), the corrected film-thickness evolution equation can be obtained as follows:
h ( x , y , t ) = 0 t   T s ( x , y , z ) ρ d t ρ g 3 μ h 2 t c o s   φ
Here, ρ and μ denote the density and dynamic viscosity of the coating material; g is the gravitational acceleration; and φ is the circumferential angle of the pipeline (with the top at φ = 0 and the bottom at φ = π ). When the film is thin (e.g., h < 0.5   m m ), viscous resistance dominates and gravity-driven flow is negligible; in this case, T s can be approximated as the final deposited thickness. When the film is thicker (e.g., h > 1   m m ), gravity drives the liquid film to flow from the upper to the lower surface, leading to increased thickness at the bottom and thinning at the top, thereby introducing thickness asymmetry. This model thus couples the macroscopic deposition distribution T s with the temporal evolution of the liquid film, providing an explanation for the occurrence of “thicker bottom and thinner top” or other asymmetric distributions during spraying on curved surfaces.
In this section, we focus on the circumferential motion during the dynamic coating process on a cylindrical surface. Under a constant movement speed, the coating thickness at any location on the cylinder can be obtained by superimposing the contributions from the deposition model along the spray path cross-sections. By unfolding the cylindrical surface into a two-dimensional plane, the spray region can be approximately represented as an ellipse.
Let aa and bb denote the semi-major and semi-minor axes of the ellipse, respectively. Point S′ is the projection of point S onto the first spray trajectory. The spray gun moves at a uniform speed v, and the distance between two adjacent trajectories is δ . The distance from point S to the first trajectory is x. The model for the spray trajectory on the cylindrical surface can be expressed as follows [25]:
x s 2 a 2 + y s 2 b 2 = 1
T s x = T 1 x 0 x δ a T 1 x + T 2 x δ a < x a T 2 x a < x δ
T 1 x = 2 0 t 1 T s x , y , z d t 0 x a
T x = 2 0 t 2 T s x , y , z d t δ a x δ
of which,
t 1 = b 2 b 2 x 2 a 2 v
r 1 s = z 2 + x 2
t 2 = b 2 δ x 2 v
r 2 s = z 2 + ( δ x ) 2
z = ν t
b = R
a = R ( ρ h 2 h 4 ρ 2 2 ρ R 2 h 3 h 4 R 2 + h 3 ) h ( R 2 + h 2 )

2.3. Theoretical Model of the Thin Liquid Film on the Wall Surface

In the context of microscopic-scale interactions between droplets and solid surfaces, phenomena such as liquid film formation, shear-induced dissipation, rupture, and secondary splashing must be described using subgrid-scale methods—also known as “subgrid processes” [26]. The wall thin-film model, as depicted in Figure 4, employs a subgrid-scale framework to capture the entire sequence of droplet impact and film evolution: upon high-energy impact, droplets form thin films on the surface, which then spread under shear until reaching a critical limit where flow separation and film rupture produce secondary splashing droplets. These subgrid processes effectively dissipate and redistribute the droplet’s initial kinetic energy and mass—translating into film formation, shear dissipation, and ejected mass and momentum. Under varying impact energies, four canonical response regimes emerge: adhesion under low energy, featuring near-spherical static contact; elastic rebound, retaining part of the kinetic energy; film spreading at moderate energy; droplet fragmentation and splashing under high-energy impact.
Within a Euler–Lagrangian coupling framework, the thin-film model is based on three core assumptions:
(1)
The characteristic film thickness is much smaller than the substrate’s curvature radius, allowing thickness-direction gradients to be neglected.
(2)
The inherently three-dimensional flow can be approximated as a two-dimensional planar problem.
(3)
A quadratic function sufficiently describes the velocity profile within the film. These theoretical simplifications maintain computational accuracy while significantly enhancing simulation efficiency, serving as a reliable basis for interface-capturing models in multiphase CFD [27].
The mass conservation equation for a two-dimensional thin film in a three-dimensional domain is written as follows:
ρ l h t + s ρ l h V l = m ˙ s
The conservation of momentum for liquid films is expressed as follows:
ρ l h V l t + s ρ l h V l V l + D - V = h s P L + ρ l h g τ + 3 2 τ f s 3 μ l h V l + q ˙ s + τ θ
P L = P g a s + P h + P σ
P h = ρ h ( n g )
P σ = σ s ( s h )
In the above expressions, ρ l is the liquid density; h is the liquid-film thickness; s is the surface gradient operator; V l is the area-averaged velocity of the film; and m ˙ s denotes the mass source per unit wall area arising from droplet collection, film separation, film stripping, and phase-change processes.
The conservation of energy for the wall film is expressed as follows:
ρ l h T f t + s ρ l h T f V l + D T = 1 C p 2 k f h T s + T w 2 T m + q ˙ i m p + m ˙ v a p L
In the formulation presented, T f denotes the average temperature of the thin film; the vector D T represents the differential advection term calculated using the quadratic velocity and temperature profiles within the film; T s and T w represent the temperatures of the film surface and the wall (substrate), respectively; T m is the temperature at mid-depth of the film—these temperature values are computed from the spatial distribution model for TT, considering the thermal boundary conditions at the gas–film and film–wall interfaces; q ˙ i m p is the source term associated with the liquid impinging from the bulk flow onto the wall—introducing additional thermal energy; m ˙ v a p is the mass rate of evaporation or condensation per unit area; L is the latent heat associated with the phase change.

2.4. Model Introduction

2.4.1. Development of the Spraying Scenario Model

As illustrated in Figure 5, the spray gun performs coating operations on the pipeline surface. We introduce the following definitions: the direction of equipment motion (i.e., the axis of the pipeline) is defined as the Y-axis; when the equipment is at rest and placed on the pipeline, its gravitational direction (i.e., the direction opposite to gravity) is defined as the Z-axis. The diameter of the pipeline is D = 1219 mm; the spray gun nozzle is positioned at a height S above the surface; and the paint dispersion angle from the nozzle is α . During installation, the nozzle’s extension line passes through the pipe’s center, and the gun sweeps circumferentially around the pipe’s center, facilitating continuous spray application at a linear speed V. All geometric parameters—such as pipe diameter, nozzle diameter, paint viscosity, and spray pressure—remain constant. The study investigates spraying efficiency by varying operational factors like the nozzle-to-pipe distance and the nozzle’s traversal speed. According to Section 8.4 “Joint Coating Quality Inspection” of the national standard GB/T 51241-2017 [28]: Technical Code for Field Joint Coatings of Pipeline, this study selected “minimum coating thickness” as one of the quality evaluation criteria. The standard specifies that for liquid coating joints, the minimum thickness must not be less than the design value or the standard requirement (with the exact minimum depending on project specifications), and the thickness distribution must be uniform without severe local thinning. Accordingly, in the experimental stage, we employed spark testing to measure the local coating thickness of the joint and compared these values with the simulation results for validation. The spray application model was constructed using ANSYS SpaceClaim (version 2024R1).

2.4.2. Mesh Generation

Upon completion of preprocessing, the model is imported into FLUENT Meshing for mesh generation. The entire spray scenario constitutes the computational domain, which is entirely filled with air. The injection source is located within this domain, and the paint droplets are discharged and adhere to the pipe surface, forming the coating layer. A polyhedral cell is employed to populate the domain, chosen for its superior convergence behavior at lower cell counts compared to tetrahedral and hexahedral cells. Surface mesh resolutions range from 20 mm (minimum) to 100 mm (maximum). The polyhedral cell uses a maximum cell size of 37 mm with a growth rate of 1.2. Additionally, three boundary-layer prism layers are applied near the wall to enhance the accuracy of particle adhesion predictions on the pipe surface. Figure 6 presents the paint film thickness along the Y-axis across different mesh densities (31,459; 42,325; 52,910; 65,892; 78,950 cells). The results show that as mesh density increases, the thickness distribution curves converge, with negligible variation beyond 52,910 cells—indicating mesh independence. Thus, the simulations have passed the mesh-independence test, and meshes containing more than 52,910 cells are deemed sufficient to ensure accuracy while maintaining computational efficiency. The final meshes are illustrated in Figure 7 (static spray scenario: 268,033 nodes and 52,910 cells; moving spray scenario: 575,753 nodes and 113,654 cells).
In the present simulation, paint was treated as discrete particles, and the process was modeled using the Discrete Phase Model (DPM) in ANSYS Fluent, in conjunction with the Wall Film (WF) model to capture deposition and adhesion of particles onto the pipeline surface [29].
During dynamic spraying, the Sliding Mesh technique was employed to simulate the motion of the pipe: the pipe surface is specified as a mesh moving region, while the remaining computational domain remains stationary. The Realizable k-ε turbulence model was selected to resolve turbulent flow and transient calculations were performed. The paint injection was modeled as a conical inlet based on the spray gun’s parameters, the spray gun parameters are shown in Table 1.
The spray pressure was set to 0.7 MPa. The flow velocity and volumetric flow at the nozzle were calculated using the Shevilev formula as follows:
S = 0.001736 d 5.3 V 1.2 m s S = 0.852 ( 1 + 0.867 v ) 0.3 0.001736 d 5.3 V < 1.2 m s
Assume V ≥ 1.2 m/s,
S = 0.001736 d 5.3 = 1.696 × 10 13   S 2 m 6
Q = P ρ g S L = 1.081 × 10 5 m 3 s
V = Q π r 2 = 13.7696 m s > 1.2 m
Figure 8 illustrates the paint deposition characteristics under different preset nozzle heights, ranging from 650 mm to 450 mm with a step size of 10 mm. Five sets of simulation experiments were conducted.
To further characterize the physical mechanisms of the spraying conditions, we defined the following dimensionless parameters together with their typical value ranges. These enabled the spray-droplet conditions in this study to be compared with adhesion, spreading, and splashing regimes reported in the existing spray-coating literature.
R e = ρ U d μ , W e = ρ U 2 d σ , O h = μ ρ σ d
where ρ is density of the coating material; μ is dynamic viscosity of the coating (in droplet state); σ surface tension of the liquid; d is the characteristic droplet diameter; U is the droplet impact velocity (or the velocity near the substrate surface).
Under the spraying conditions of this study ( ρ = 1350   k g / m 3 , μ = 40   P a · s , σ = 0.03 N/m, d 1   m m , and U 32   m / s ), the typical dimensionless parameters were obtained as follows: R e 1.1 , W e 4.7 × 10 4 , and O h 2.0 × 10 2 . The results indicate that due to the high viscosity, the Reynolds number is extremely low, and the flow is in a strongly viscosity-dominated regime; meanwhile, the Weber number is very large, suggesting that inertia is sufficient to overcome surface tension, but droplet splashing is suppressed by the high Ohnesorge number. This combination positions the spraying condition in the “high-We, high-Oh, low-Re” regime, where inertial effects are pronounced, yet droplets on the wall tend to adhere and spread rather than undergo secondary splashing.

3. Results

3.1. Effect of Nozzle Height on Deposition Performance

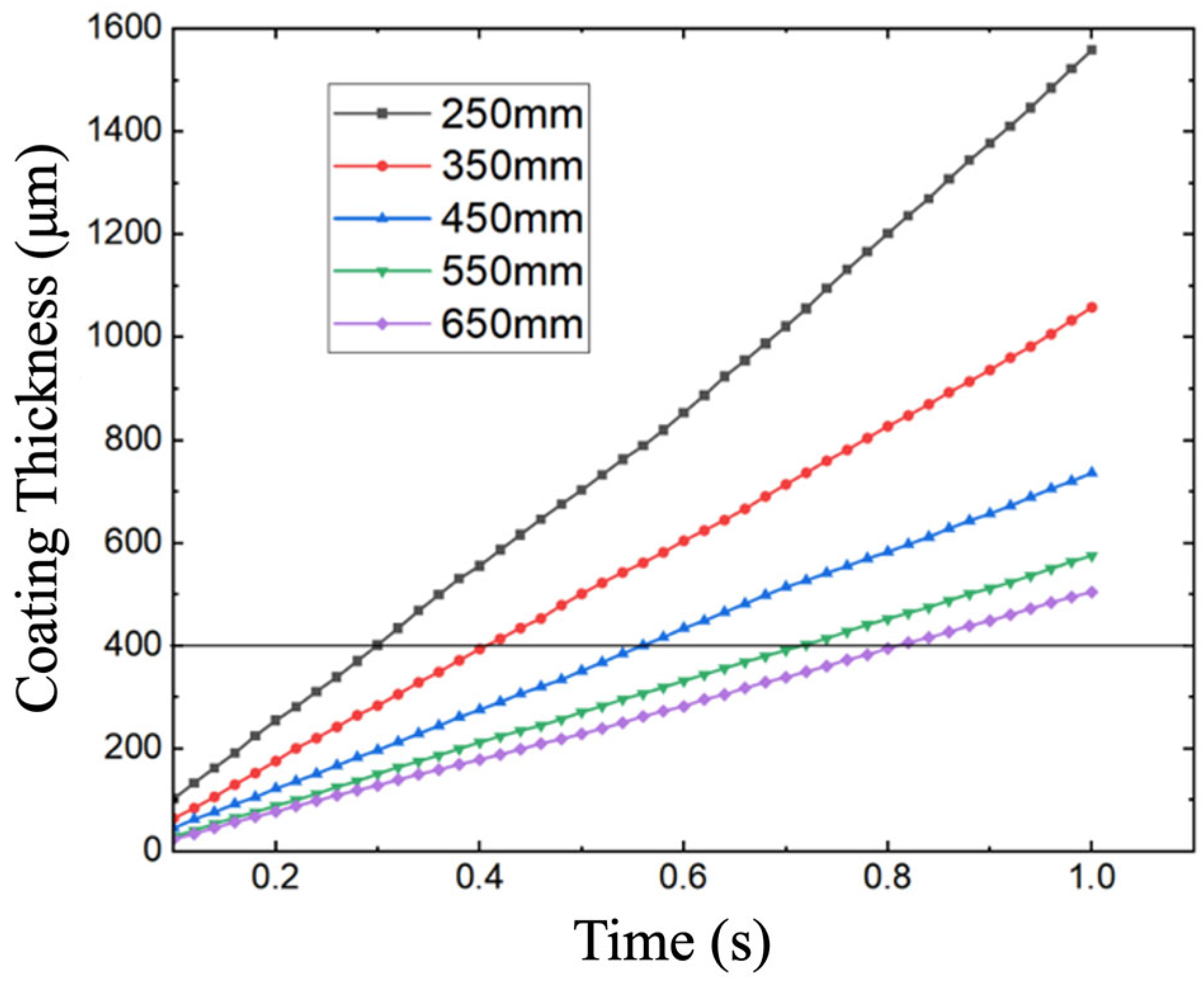
As shown in Figure 9, a dual-component epoxy primer consistently achieves an initial coating thickness exceeding 400 µm within 1 s across a standoff distance range of 250–650 mm. As spraying continues, the coating on the cylindrical surface exhibits a characteristic elliptical deposition pattern. Figure 10 further illustrates that the spray area increases with standoff distance, while the time required to reach the standard thickness also lengthens. Specifically, at a close distance of 250 mm, the 400 µm thickness is reached in just 0.3 s, and the maximum thickness achieves approximately 1550 µm after 1 s. At a far distance of 650 mm, reaching the same 400 µm standard requires around 0.82 s.

3.2. Effect of Spray Gun Moving Speed on Deposition Performance

Figure 11 shows the deposition characteristics of the paint at different surface velocities of pipelines, with velocities set at 0.1 m/s, 0.2 m/s, 0.3 m/s, 0.4 m/s, and 0.5 m/s.
As illustrated in Figure 11, coating thickness exhibits a negative correlation with spray gun traversal speed. With increasing gun velocity, the resulting film thickness diminishes. To gain deeper insights into thickness distribution characteristics, data were extracted along the centerline in the gun’s motion direction, as shown in Figure 12. These results indicate that spray speed significantly impacts coating quality: At a low speed of 0.1 m/s, although the coated area is minimal, the film quality is optimal—the maximum thickness reaches a stable 1058 µm, with uniform distribution. Increasing the speed to 0.5 m/s expands the coverage area but degrades coating quality: The maximum thickness drops to 318 ± 8 µm and pronounced thickness gradients appear, attributable to uneven paint deposition at higher speeds.

3.3. Multi-Objective Optimization of Paint Deposition

Based on the foregoing simulation findings, the process parameters for air spraying were optimized using Design-Expert to construct a fitted response-surface model, thereby quantifying the effects of key technical factors—such as spray distance and spray-gun traverse speed—on coating outcomes. This approach enables accurate approximation, within a limited number of experiments and over preset factor ranges, of the mapping between spraying parameters and both coating thickness and uniformity, thus markedly improving the efficiency of parameter optimization [30].
Let the spray distance L, gun traverse speed V, and spraying time T serve as the design variables, and take the paint-film thickness d (µm) as the model response. The factor levels are given in Table 2.
According to B-Benhnken’s experimental design, 17 experimental plans were obtained. The experimental results were subjected to regression fitting analysis using Design Expert 13 software. The response surface experimental design and results are detailed in Table 3.
According to the principle of least squares, regression analysis was conducted on the experimental results in Table 3, and a prediction model was established for the spraying distance L, spray gun movement rate V, and spraying time T, as shown below:
d = 984.92091 A B + C + D E F + G + H I
In the formula, A through I represent the fitted coefficients of the predictive model, as detailed in Table 4. The variables are defined as follows: L is the spray distance (mm); V is the spray gun linear velocity (m/s); T is the spraying time (s); d is the paint-film thickness (µm).
This study applied multiple statistical methods to systematically validate the constructed multiple regression model. As shown in Figure 13a, the residual normal probability plot reveals that the observed data points lie approximately along the reference line, confirming that the residuals conform to the normality assumption for error terms. Furthermore, the results of the analysis of variance (ANOVA) indicate that all regression terms are statistically significant (i.e., p < 0.05 ), validating the relevance of each predictor. Figure 13b presents the residuals-versus-order (run) plot, which exhibits a random scatter without discernible patterns—indicating no evidence of heteroscedasticity or autocorrelation, such as variance drift or systematic dependence over the observation sequence.
Collectively, these diagnostics confirm that the model demonstrates high predictive accuracy and reliability, making it suitable for parameter prediction in engineering practice.

4. Discussion

4.1. Design of Primer Spray Control Scheme

The primer application system is symmetrically equipped with two spray modules and nozzles. During the base-coat spraying operation, the apparatus requires only a 180° rotation to achieve full coverage of the repair (field-joint) area. Before each spraying run, the primer must be installed into the designated spraying module. The air supply—provided by a pump located on the support vehicle—is connected to the spray modules via pneumatic tubing. To ensure the quality of heat shrink tape wrapping, the uniformity of the coating should be ensured during primer spraying. The thickness of the primer shall not be less than 400 μm, and the width of the paint spraying area shall be 300 mm. Figure 14 shows the control diagram for primer spraying.
After the primer-spraying equipment is positioned adjacent to the pipe section awaiting coating, the PLC dispatches a command to the servo controller, prompting the servo-actuated electric pushrod to extend. This ensures the concentric alignment of the clamping ring with the pipe, thereby confining the primer application to the intended field-joint zone and preventing overspray beyond the repair area.
Once the apparatus is correctly situated, the PLC signals the air-pump control system, initiating the plunger-based feeding of the primer cartridge within the spray module. The coating material is conveyed through a mixing tube in the spray pipe, ensuring homogeneous mixing before atomization onto the joint surface. To maintain uniform primer thickness, the PLC regulates the paint flow rate by controlling the air-pump system—calibrated in advance as a custom-parameter during testing. The control logic ensures that the primer thickness is not less than 400 µm.

4.2. Design of the Spray-Painting Operation Program

During the operation of the spray-painting module, the following sequence is executed: Clamp engagement initiates, followed by positive (clockwise) rotation—starting at Position 5. Each operation step consists of a 15° clockwise rotation. The nozzle assembly moves laterally rightwards by 180°, holds position, then moves leftwards back to the original orientation. Upon completion of the lateral shift, clockwise rotation resumes, and the cycle repeats. Rotation position is monitored via an encoder; upon reaching the half-circle (180°) position, the system triggers exit motion and rotation reset. This full pattern follows the loop illustrated in Figure 15, “R” is reset, “S” is set.

4.3. Field Experiments and Engineering Tests

4.3.1. Experimental Equipment and Setup

The required SULZER electric spray gun, hose, mixing tube, and dual-component epoxy primer have already been described above. Other auxiliary equipment is illustrated in Figure 16.
(1)
The steel plate surface was abraded to remove rust and oil residues.
(2)
The air compressor was started; the caulking gun extruded the paint, which was mixed in the mixing tube, and under strong airflow impact, the paint droplets rapidly dispersed and atomized into a fine mist.
(3)
Two experiments were conducted—static-point spraying and dynamic spraying. In the static-point experiment, the spray gun maintained a fixed distance of 250–650 mm from the steel plate and sprayed continuously for 1 s. In the dynamic spraying experiment, a ball-screw drive system moved the substrate at speeds of 0.1–0.5 m/s, with the spray gun positioned 250 mm away. The spraying experiments were conducted at 23 °C and 65% relative humidity.
(4)
After spraying, the coating uniformity was first evaluated visually and then measured using a thickness gauge—particularly at the maximum thickness point, the surrounding average, and the boundary at 400 µm.

4.3.2. Experimental Results and Discussion

As shown in Figure 17, Fixed-point spray experiments produced coatings whose 400 µm boundary contours are elliptical, and both their shape and size closely match the simulation results. Using a film-thickness gauge, we confirmed that the average thickness around the central point exceeded 400 µm.
Dynamic spraying at a traverse speed of 0.3 m/s produced a stripe-like thickness profile, as illustrated in Figure 18. Thickness data were measured along the centerline in the nozzle movement direction using a thickness gauge, and these experimental datasets were compared to simulation results, yielding the plot shown in Figure 19. The comparison between simulation and experiment demonstrates a strong consistency in the thickness distribution profiles. The maximum relative error observed was as follows: ( 1025 903 ) / 903 = 13.5 % . When the spray speed is 0.3 m/s, coating thickness requirements are met while maintaining efficient application. Under these conditions, the maximum deviation in thickness was as follows: ( 449 400 ) / 400 = 12.25 % . Thus, the alignment between numerical simulation and experimental data validates both the reliability of the numerical modeling approach and the accuracy of the computed results.
In addition, to further verify the applicability of the numerical model under actual pipeline conditions, preliminary spraying experiments were conducted on an indoor fixed-pipeline platform. As shown in Figure 20, the spray gun was mounted on an automated trajectory control device to maintain a stable spray distance and uniform motion. After coating deposition in the spraying region was completed, representative areas were sampled and measured with a coating thickness gauge to evaluate consistency between the spraying results and simulation predictions. The results indicate that the obtained coating thickness and uniformity are consistent with those from the aforementioned localized experiments, further supporting the reliability of the model. This small-scale fixed-pipeline experiment lays the groundwork for subsequent field trials on real pipelines, where future studies will verify the model’s applicability under larger scales and more complex conditions.

5. Conclusions

This paper focuses on the problem of coating uniformity in the automatic spraying process of pipeline joint repair. A systematic theoretical model and numerical simulation model were established and validated through experiments. The work provides theoretical support for coating uniformity studies and offers clear and feasible process parameters and control strategies for engineering applications. The main conclusions are as follows:
(1)
A numerical simulation strategy based on the coupling of the Discrete Phase Model (DPM) and the Wall Film (WF) model was adopted, which realistically simulated the entire deposition process of sprayed particles—from their movement through the nozzle, impact on the wall surface, spreading on the wall, and eventually forming a continuous thin film. This provides theoretical support for the study of coating uniformity.
(2)
Simulation analysis shows that spraying distance and spray gun travel speed have significant effects on coating thickness and uniformity. Under the conditions of a spraying distance of 250 mm and a spray-gun speed of 0.1 m/s, a coating with a maximum thickness of 1058 μm can be obtained, although exhibiting low spraying efficiency. When the speed increases to 0.5 m/s, although spraying efficiency improves, the coating thickness decreases to 318 μm, and large fluctuations in thickness distribution appear.
(3)
A multi-factor, multi-level experimental design was constructed based on response surface methodology (RSM) to arrange tests for spraying distance, workpiece travel speed, and powder flow rate. Analysis of variance (ANOVA) was applied to evaluate the significance of each factor. The optimal spraying parameters were obtained: the spray-gun travel speed should be controlled at no more than 0.3 m/s, and the spraying distance should be less than 450 mm, to balance spraying efficiency and coating quality. The deviation between field test data and simulation data was less than 13.5%, indicating high consistency between the two. In spraying experiments, the deviation of coating thickness obtained with the optimal parameters from the standard thickness was less than 12.25%.
This study focuses on the pipeline field-joint region, characterized by geometric discontinuities, abrupt curvature changes, and pronounced boundary effects. A combined numerical–experimental spraying model was established, and optimized strategies for spray distance and traverse speed were proposed, demonstrating strong engineering relevance and innovation. It should be noted that several reasonable simplifications were adopted in the modeling process, such as assuming medium-pressure operation with a small spray cone angle, simplifying the PLC stepwise trajectory to uniform linear motion, and not fully accounting for environmental factors or the temperature dependence of coating properties. The number of experimental validations was also constrained by material and practical limitations. These aspects may introduce localized deviations but do not affect the validity of the main conclusions. Future work will extend in three directions: (i) conducting experiments and simulations across a wider range of spray distances, angles, and pressures to enhance extrapolation capability; (ii) incorporating temperature-dependent viscosity and edge-thinning gradients ( d T / d y ) into the model to enable full sensitivity analysis and multi-objective optimization; and (iii) integrating PLC-based stepwise trajectory kinematics with online monitoring and feedback control to further improve coating uniformity and adaptive process regulation. Although the present method is mainly applied to field-joint repair, the proposed framework and approach hold promising potential for extension to automated spraying optimization of other complex geometries.

Author Contributions

Conceptualization and writing—original draft preparation, C.W.; software and formal analysis, X.J.; methodology and investigation, Q.Y.; resources, K.S.; writing—review and editing, S.Z. All authors have read and agreed to the published version of the manuscript.

Funding

This research received no external funding.

Institutional Review Board Statement

Not applicable.

Informed Consent Statement

Not applicable.

Data Availability Statement

The data presented in this study are available upon request from the corresponding author.

Conflicts of Interest

Author X.J. was employed by the company PipeChina North Pipeline. Q.Y. was employed by the company PipeChina Engineering Technology Innovation. K.S. was employed by the company PipeChina North Pipeline. The remaining authors declare that the research was conducted in the absence of any commercial or financial relationships that could be construed as a potential conflict of interest.

References

  1. NACE International. Assessment of the Global Cost of Corrosion—NACE IMPACT Report. Available online: https://inspectioneering.com/news/2016-03-08/5202/nace-study-estimates-global-cost-of-corrosion-at-25-trillion-ann (accessed on 25 June 2025).
  2. NACE International. NACE International’s IMPACT Breaks New Ground in the Study of Corrosion Management. 2020. Available online: https://www.materialsperformance.com (accessed on 25 June 2025).
  3. Michael Baker, Jr. Pipeline Corrosion Final Report; U.S. Department of Transportation, Pipeline and Hazardous Materials Safety Administration: Washington, DC, USA, 2008. [Google Scholar]
  4. Koch, G.H.; Brongers, M.P.H.; Thompson, N.G.; Virmani, Y.P.; Payer, J.H. Corrosion Costs and Preventive Strategies in the United States; No. FHWA-RD-01-156, R315-01; Federal Highway Administration: Washington, DC, USA, 2002. [Google Scholar]
  5. Dai, L.; Wang, T.; Deng, C.; Feng, Q.; Wang, D. New method to identify field joint coating failures based on MFL in-line inspection signals. Coatings 2018, 8, 86. [Google Scholar] [CrossRef]
  6. Hopkins, P. Transmission pipelines: How to improve their integrity and prevent failures. In Proceedings of the 2nd International Pipeline Technology Conference, Ostend, Belgium, 11–14 September 1995; pp. 11–14. [Google Scholar]
  7. Thompson, I.; Saithala, J.R. Review of pipe line coating systems from an operators perspective. NACE Corros. 2013, NACE-2013-2169. [Google Scholar]
  8. Zheng, W.Y. Stress corrosion cracking of oil and gas pipelines in near neutral pH environment: Review of recent research. Energy Mater. 2008, 3, 220–226. [Google Scholar] [CrossRef]
  9. Guidetti, G.P.; Rigosi, G.L.; Marzola, R. The use of polypropylene in pipeline coatings. Prog. Org. Coat. 1996, 27, 79–85. [Google Scholar] [CrossRef]
  10. Al-Sahari, A.; Ul-Haq Toor, I. Rehabilitation coatings-current challenges and opportunities for the future. Liq. Gaseous Energy Resour. 2022, 2, 1–14. [Google Scholar] [CrossRef]
  11. Yu, K.; Liu, Y.J.; Tong, W.; Zhao, S. Analysis and Research on Flow Field Characteristics of Atomizing Spray Gun in Coating Machines. Mach. Tool Hydraul. 2021, 49, 108–113. [Google Scholar]
  12. Conner, D.C.; Greenfield, A.; Atkar, P.N.; Rizzi, A.A.; Choset, H. Paint deposition modeling for trajectory planning on automotive surfaces. IEEE Trans. Autom. Sci. Eng. 2005, 2, 381–392. [Google Scholar] [CrossRef]
  13. Shu-chen, Z.; Wei, M.; Gingbo, Z.; Chunling, L. Research progress of electrostatic spraying coating thickness distribution model. Surf. Technol. 2019, 48, 291–297. [Google Scholar]
  14. Graco Inc. Automatic Internal and External Pipeline Coating. Available online: https://www.graco.com/us/en/contractor/solutions/articles/automatic-internal-external-pipe-coating.html (accessed on 18 July 2025).
  15. Bonatti, S.P.A. Coating Equipment—MCL Machine. Available online: https://www.bonattinternational.com/pipelines/coating-equipment-mcl-machine (accessed on 18 July 2025).
  16. CRC Evans. Pipeline Coating. Available online: https://www.crcevans.com/services/coating/ (accessed on 18 July 2025).
  17. V. R. Coatings Private Limited. VR Coatings. Available online: https://vrcoatings.com/ (accessed on 18 July 2025).
  18. Liu, J.; Zeng, Y.; Zhao, X.; Chen, H.; Yan, B.; Lu, Q. Influence of Spray Gun Position and Orientation on Liquid Film Development along a Cylindrical Surface. Fluid Dyn. Mater. Process. 2023, 19, 2499. [Google Scholar] [CrossRef]
  19. Li, X.; Chen, X.; Hong, N.; Li, Q.; Xu, Z.; Sheng, M.; Wang, R. A CFD-DEM Simulation of Droplets in an Airless Spray Coating Process of a Square Duct. Coatings 2024, 14, 282. [Google Scholar] [CrossRef]
  20. Xie, X.P.; Wang, Y.A. Design of a three-nozzle for air spraying based on jet interference effect and numerical study of spraying process. SN Appl. Sci. 2022, 4, 177. [Google Scholar] [CrossRef]
  21. Arıkan, M.A.S.; Balkan, T. Process modeling, simulation, and paint thickness measurement for robotic spray painting. J. Robot. Syst. 2000, 17, 479–494. [Google Scholar] [CrossRef]
  22. Goedjen, J.G.; Miller, R.A.; Brindley, W.J.; Leissler, G.W. A simulation technique for predicting thickness of thermal sprayed coatings. In NASA Technical Memorandum; ARL-TR-762; National Aeronautics and Space Administration: Washington, DC, USA, 1995; p. 106939. [Google Scholar]
  23. Chen, C.; Xie, Y.; Verdy, C.; Liao, H.; Deng, S. Modelling of coating thickness distribution and its application in offline programming software. Surf. Coat. Technol. 2016, 318, 315–325. [Google Scholar] [CrossRef]
  24. Zhang, Y.; Li, W.; Li, D.; Xiao, J.; Zhang, C. Modeling of Thickness and Profile Uniformity of Thermally Sprayed Coatings Deposited on Cylinders. J. Therm. Spray Tech. 2018, 27, 288–295. [Google Scholar]
  25. Xu, J.; Cheng, H.; Liu, J.; Jing, X.; Lin, H.; Ji, J. Dynamic Numerical Simulation of Curved Surface Coating Trajectory Based on STL Slicing Algorithm. Coatings 2024, 14, 251. [Google Scholar] [CrossRef]
  26. Adeniyi, A.A. A Coupled Lagrangian-Eulerian Framework to Model Droplet to Film Interaction with Heat Transfer. Ph.D. Thesis, University of Nottingham, Nottingham, UK, 2015. [Google Scholar]
  27. Adeniyi, A.A.; Morvan, H.P.; Simmons, K.A. A coupled Euler-Lagrange CFD modelling of droplets-to-film. Aeronaut. J. 2017, 121, 1897–1918. [Google Scholar] [CrossRef]
  28. GB/T 51241-2017; Technical Code for Field Joint Coatings of Pipeline. China Planning Press: Beijing, China, 2017.
  29. Dinc, M. Computational Analysis of Single Drops and Sprays for Spray Cooling Applications. Ph.D. Thesis, West Virginia University, Morgantown, WV, USA, 2015. [Google Scholar]
  30. Arienti, M.; Wang, L.; Corn, M.; Li, X.; Soteriou, M.C.; Shedd, T.A.; Herrmann, M. Modeling Wall Film Formation and Breakup Using an Integrated Interface-Tracking/Discrete-Phase Approach. J. Eng. Gas Turbines Power 2011, 133, 031501–031507. [Google Scholar]
Figure 1. Process flow for corrosion-protection repair of the pipeline joint.
Figure 1. Process flow for corrosion-protection repair of the pipeline joint.
Coatings 15 01193 g001
Figure 2. (a) Coating spatial distribution model; (b) coating growth rate function plot.
Figure 2. (a) Coating spatial distribution model; (b) coating growth rate function plot.
Coatings 15 01193 g002
Figure 3. Diagram of the paint distribution model on a cylindrical surface.
Figure 3. Diagram of the paint distribution model on a cylindrical surface.
Coatings 15 01193 g003
Figure 4. Subgrid-scale processes in the wall-film model.
Figure 4. Subgrid-scale processes in the wall-film model.
Coatings 15 01193 g004
Figure 5. (a) Spray-painting scene; (b) spray gun operating state diagram.
Figure 5. (a) Spray-painting scene; (b) spray gun operating state diagram.
Coatings 15 01193 g005
Figure 6. Mesh convergence analysis.
Figure 6. Mesh convergence analysis.
Coatings 15 01193 g006
Figure 7. (a) Static scene; (b) surface mesh; (c) fluid mesh and moving scene; (d) surface mesh and fluid mesh.
Figure 7. (a) Static scene; (b) surface mesh; (c) fluid mesh and moving scene; (d) surface mesh and fluid mesh.
Coatings 15 01193 g007
Figure 8. Diagram of different spray distances.
Figure 8. Diagram of different spray distances.
Coatings 15 01193 g008
Figure 9. Contour map of paint deposition thickness at different spray distances.
Figure 9. Contour map of paint deposition thickness at different spray distances.
Coatings 15 01193 g009
Figure 10. Line plot of paint thickness at different time intervals.
Figure 10. Line plot of paint thickness at different time intervals.
Coatings 15 01193 g010
Figure 11. Paint deposition characteristics at different surface line velocities on the pipe.
Figure 11. Paint deposition characteristics at different surface line velocities on the pipe.
Coatings 15 01193 g011
Figure 12. Coating distribution along the Y-axis cross-section diagram.
Figure 12. Coating distribution along the Y-axis cross-section diagram.
Coatings 15 01193 g012
Figure 13. (a) Normal probability distribution plot of prediction model residuals; (b) residual run chart of the prediction model.
Figure 13. (a) Normal probability distribution plot of prediction model residuals; (b) residual run chart of the prediction model.
Coatings 15 01193 g013
Figure 14. Primer spray coating control flow diagram.
Figure 14. Primer spray coating control flow diagram.
Coatings 15 01193 g014
Figure 15. Spray-painting work procedure.
Figure 15. Spray-painting work procedure.
Coatings 15 01193 g015
Figure 16. Experimental equipment: (a) air compressor; (b) coating thickness gauge; (c) steel plate.
Figure 16. Experimental equipment: (a) air compressor; (b) coating thickness gauge; (c) steel plate.
Coatings 15 01193 g016
Figure 17. Spot spray-painting experimental results.
Figure 17. Spot spray-painting experimental results.
Coatings 15 01193 g017
Figure 18. Strip chart of dynamic spraying at a 0.3 m/s working condition.
Figure 18. Strip chart of dynamic spraying at a 0.3 m/s working condition.
Coatings 15 01193 g018
Figure 19. Comparison plot of paint layer thickness: experimental vs. simulation results. (a) Spray gun movement speed 0.1 m/s; (b) Spray gun movement speed 0.2 m/s; (c) Spray gun movement speed 0.3 m/s; (d) Spray gun movement speed 0.4 m/s; (e) Spray gun movement speed 0.5 m/s.
Figure 19. Comparison plot of paint layer thickness: experimental vs. simulation results. (a) Spray gun movement speed 0.1 m/s; (b) Spray gun movement speed 0.2 m/s; (c) Spray gun movement speed 0.3 m/s; (d) Spray gun movement speed 0.4 m/s; (e) Spray gun movement speed 0.5 m/s.
Coatings 15 01193 g019
Figure 20. Indoor fixed-pipeline platform spraying experiment.
Figure 20. Indoor fixed-pipeline platform spraying experiment.
Coatings 15 01193 g020
Table 1. Parameters settings for the simulation.
Table 1. Parameters settings for the simulation.
NameParameters
Epoxy PrimerDensity (kg/m3)Viscosity (kg/(m·s))Droplet Surface Tension (N/m)
1350400.03
spray gunPressure (MPa)Nozzle Diameter (m)Pipe Diameter (m)
0.70.0011.1219
Table 2. Factor levels.
Table 2. Factor levels.
FactorLevels
L250 mm650 mm
V0.1 m/s0.5 m/s
T0.1 s1 s
Table 3. Response surface experimental design and results.
Table 3. Response surface experimental design and results.
Proposal NumberLVTd
12500.10.55878
26500.10.55305
32500.50.55298
46500.50.55107
52500.30.197
66500.30.121
72500.31474
86500.31199
94500.10.145
104500.50.139
114500.11549
124500.51190
134500.30.55243
144500.30.55243
154500.30.55243
164500.30.55243
174500.30.55243
Table 4. Fitted coefficients in Equation (26).
Table 4. Fitted coefficients in Equation (26).
Fitted CoefficientsExpansion Formula
A 2.7516 L
B 2464.4444 V
C 1521.37346 T
D 2.3875 L V
E 0.552778 L T
F 980.55556 V T
G 0.001825 L 2
H 2025 V 2
I 583.95062 T 2
Disclaimer/Publisher’s Note: The statements, opinions and data contained in all publications are solely those of the individual author(s) and contributor(s) and not of MDPI and/or the editor(s). MDPI and/or the editor(s) disclaim responsibility for any injury to people or property resulting from any ideas, methods, instructions or products referred to in the content.

Share and Cite

MDPI and ACS Style

Wang, C.; Jian, X.; Yang, Q.; Sun, K.; Zhang, S. Theoretical and Experimental Study on Coating Uniformity in Automatic Spray-Coating of Pipeline Weld Repairs. Coatings 2025, 15, 1193. https://doi.org/10.3390/coatings15101193

AMA Style

Wang C, Jian X, Yang Q, Sun K, Zhang S. Theoretical and Experimental Study on Coating Uniformity in Automatic Spray-Coating of Pipeline Weld Repairs. Coatings. 2025; 15(10):1193. https://doi.org/10.3390/coatings15101193

Chicago/Turabian Style

Wang, Changjiang, Xiuyang Jian, Qi Yang, Kai Sun, and Shimin Zhang. 2025. "Theoretical and Experimental Study on Coating Uniformity in Automatic Spray-Coating of Pipeline Weld Repairs" Coatings 15, no. 10: 1193. https://doi.org/10.3390/coatings15101193

APA Style

Wang, C., Jian, X., Yang, Q., Sun, K., & Zhang, S. (2025). Theoretical and Experimental Study on Coating Uniformity in Automatic Spray-Coating of Pipeline Weld Repairs. Coatings, 15(10), 1193. https://doi.org/10.3390/coatings15101193

Note that from the first issue of 2016, this journal uses article numbers instead of page numbers. See further details here.

Article Metrics

Back to TopTop