Improved Uniformity Properties and Corrosion Resistance of Zinc–Nickel Composite Coating Enhanced by Nano-SiO2
Abstract
1. Introduction
2. Materials and Methods
2.1. Chemicals and Reagents
2.2. Electrolyte Preparation
2.3. Structural Analysis of Electroplated Coatings
2.4. Electrochemical Tests
2.5. Salt Spray Test Conditions
3. Results and Discussion
3.1. Surface Morphology and Elemental Composition
3.2. Cross-Section Morphology and Coating Thickness
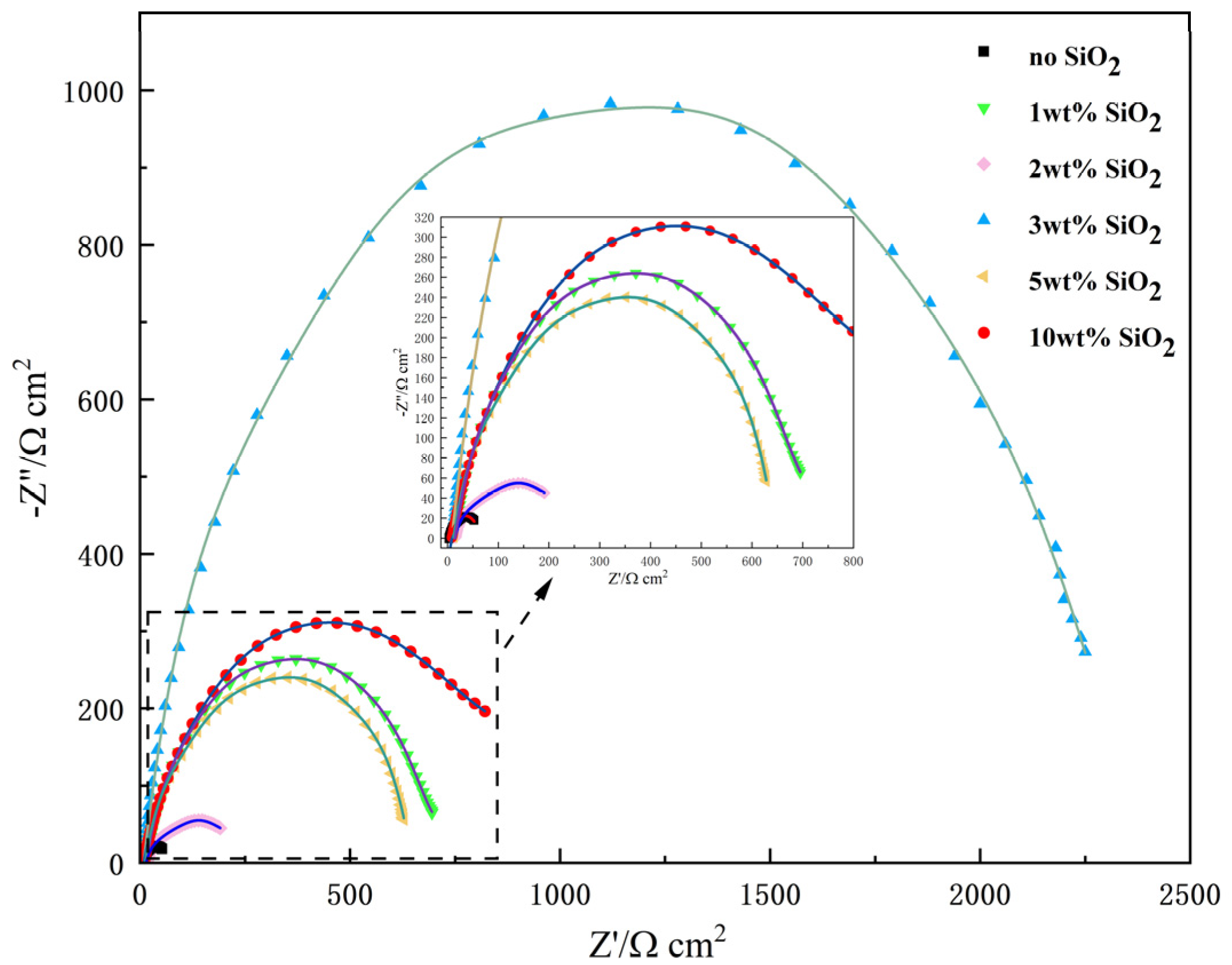
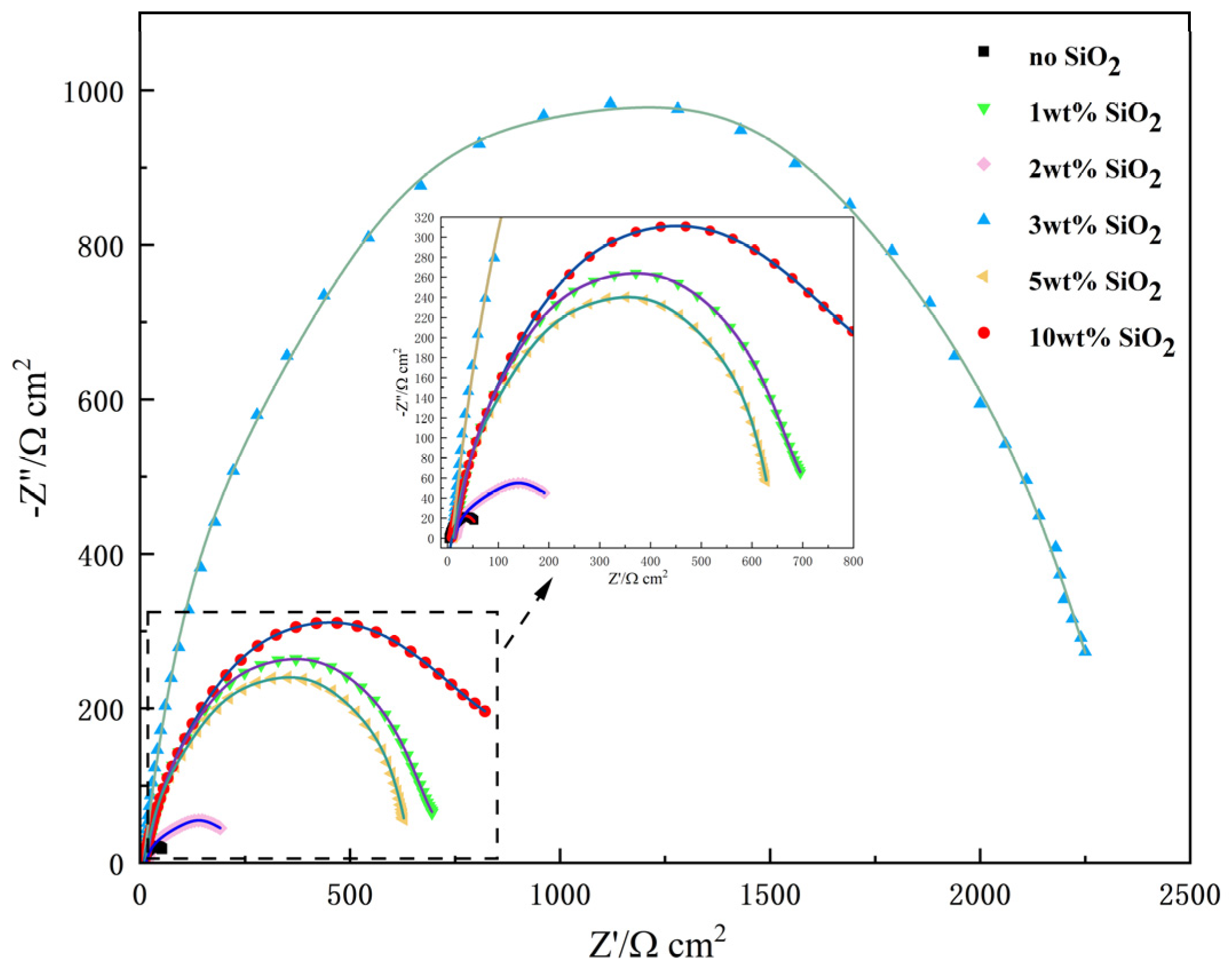
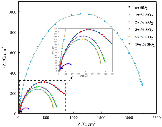
3.3. Electrochemical Corrosion Performance of ZN-SiO2 Composite Coating
3.4. Long-Term Corrosion Resistance Assessment
3.5. Possible Reaction Model
4. Conclusions
Author Contributions
Funding
Institutional Review Board Statement
Informed Consent Statement
Data Availability Statement
Acknowledgments
Conflicts of Interest
References
- Crotty, D. Zinc Alloy Plating for the Automotive Industry. Met. Finish. 1996, 94, 54–58. [Google Scholar] [CrossRef]
- Baldwin, K.R.; Robinson, M.J.; Smith, C.J.E. The Corrosion Resistance of Electrodeposited Zinc-Nickel Alloy Coatings. Corros. Sci. 1993, 35, 1267–1272. [Google Scholar] [CrossRef]
- Brenner, A. Electrodeposition of Alloys: PRINCIPLES and PRACTICE; Elsevier: Amsterdam, The Netherlands, 1963. [Google Scholar]
- Eliaz, N.; Venkatakrishna, K.; Hegde, A.C. Electroplating and Characterization of Zn–Ni, Zn–Co and Zn–Ni–Co Alloys. Surf. Coat. Technol. 2010, 205, 1969–1978. [Google Scholar] [CrossRef]
- Cao, F.; Wang, J.; Lian, Y.; Wang, Y.; Wang, X.; Wang, X.; Song, A.; Shi, L. A Study on the Influence of the Electroplating Process on the Corrosion Resistance of Zinc-Based Alloy Coatings. Coatings 2023, 13, 1774. [Google Scholar] [CrossRef]
- Riđošić, M.; García-Lecina, E.; Salicio-Paz, A.; Bajat, J. The Advantage of Ultrasound during Electrodeposition on Morphology and Corrosion Stability of Zn-Co Alloy Coatings. Trans. IMF 2020, 98, 114–120. [Google Scholar] [CrossRef]
- Anwar, S. Electrochemical and Corrosion Behavior of Electrodeposited Zn, Zn-Ni Alloy and Zn-Ni-TiO2 Composite Coatings. Ph.D. Thesis, Memorial University of Newfoundland, St. John’s, NL, Canada, 2020. [Google Scholar]
- Soleimangoli, F.; Hosseini, S.A.; Davoodi, A.; Alishahi, M. Quantitative Power Spectral Density Analysis of Nano/Microstructured Ni-Zn Electrodeposit and Its Correlation with Superhydrophobicity. Thin Solid Film 2023, 779, 139917. [Google Scholar] [CrossRef]
- Singh, R.; Arab, A.; Caceres, A.; Eybel, R.; Medraj, M. Establishing Industrial Zn Ni Brush Electroplating Process without Post-Plating Hydrogen Embrittlement Relief Baking. Surf. Coat. Technol. 2024, 478, 130363. [Google Scholar] [CrossRef]
- Mosavat, S.H.; Shariat, M.H.; Bahrololoom, M.E. Study of Corrosion Performance of Electrodeposited Nanocrystalline Zn–Ni Alloy Coatings. Corros. Sci. 2012, 59, 81–87. [Google Scholar] [CrossRef]
- Byk, T.V.; Gaevskaya, T.V.; Tsybulskaya, L.S. Effect of Electrodeposition Conditions on the Composition, Microstructure, and Corrosion Resistance of Zn–Ni Alloy Coatings. Surf. Coat. Technol. 2008, 202, 5817–5823. [Google Scholar] [CrossRef]
- Hammami, O.; Dhouibi, L.; Triki, E. Influence of Zn–Ni Alloy Electrodeposition Techniques on the Coating Corrosion Behaviour in Chloride Solution. Surf. Coat. Technol. 2009, 203, 2863–2870. [Google Scholar] [CrossRef]
- Hammami, O.; Dhouibi, L.; Berçot, P.; Rezrazi, E.M.; Triki, E. Study of Zn-Ni Alloy Coatings Modified by Nano-SiO2 Particles Incorporation. Int. J. Corros. 2012, 2012, 301392. [Google Scholar] [CrossRef]
- Tuaweri, T.J.; Jombo, P.P.; Okpala, A.N. Corrosion Resistance Characteristics of Zn-Ni/SiO2 Composite Coatings. Deleted J. 2014, 3, 1–12. [Google Scholar]
- Kwon, M.; Jo, D.; Cho, S.H.; Kim, H.T.; Park, J.-T.; Park, J.M. Characterization of the Influence of Ni Content on the Corrosion Resistance of Electrodeposited Zn–Ni Alloy Coatings. Surf. Coat. Technol. 2016, 288, 163–170. [Google Scholar] [CrossRef]
- Feng, Z.; Li, Q.; Zhang, J.; Yang, P.; An, M. Electrochemical Behaviors and Properties of Zn-Ni Alloys Obtained from Alkaline Non-Cyanide Bath Using 5,5′-Dimethylhydantoin as Complexing Agent. J. Electrochem. Soc. 2015, 162, D412–D422. [Google Scholar] [CrossRef]
- Yang, Y.; Bian, Y.; Gao, Q.; Dong, S.; Ma, R.; Fan, Y.; Du, A.; Zhao, X.; Yang, M.; Cao, X. Corrosion Resistance Study of Zn-Ni-B4C Composite Superhydrophobic Coatings with Hierarchical Rough Structure. Appl. Surf. Sci. 2023, 622, 156882. [Google Scholar] [CrossRef]
- Nhiem, L.T.; Oanh, D.T.Y.; Hieu, N.H. Nanocoating toward Anti-corrosion: A Review. Vietnam. J. Chem. 2023, 61, 284–293. [Google Scholar] [CrossRef]
- Abdeen, D.H.; Hachach, M.E.; Koc, M.; Atieh, M.A. A Review on the Corrosion Behaviour of Nanocoatings on Metallic Substrates. Materials 2019, 12, 210. [Google Scholar] [CrossRef]
- Aliofkhazraei, M.; Walsh, F.C.; Zangari, G.; Köçkar, H.; Alper, M.; Rizal, C.; Magagnin, L.; Protsenko, V.; Arunachalam, R.; Rezvanian, A.; et al. Development of Electrodeposited Multilayer Coatings: A Review of Fabrication, Microstructure, Properties and Applications. Appl. Surf. Sci. Adv. 2021, 6, 100141. [Google Scholar] [CrossRef]
- Sadreddini, S.; Salehi, Z.; Rassaie, H. Characterization of Ni–P–SiO2 Nano-Composite Coating on Magnesium. Appl. Surf. Sci. 2014, 324, 393–398. [Google Scholar] [CrossRef]
- Silviana, S.; Lukmilayani, C. Metal Coatings Derived from Modified Silica as Anti-Corrosion. Defect Diffus. Forum 2024, 431, 77–95. [Google Scholar] [CrossRef]
- Sadreddini, S.; Afshar, A. Corrosion Resistance Enhancement of Ni-P-Nano SiO2 Composite Coatings on Aluminum. Appl. Surf. Sci. 2014, 303, 125–130. [Google Scholar] [CrossRef]
- Li, R.; Hou, Y.; Liang, J. Electro-Codeposition of Ni-SiO2 Nanocomposite Coatings from Deep Eutectic Solvent with Improved Corrosion Resistance. Appl. Surf. Sci. 2016, 367, 449–458. [Google Scholar] [CrossRef]
- Jiang, W.; Huang, M.; Lao, Y.; Yang, X.; Wang, C.; Tian, Z.; Zhou, S.; Mutschke, G.; Eckert, K. Experimental and Numerical Investigations of Ni–Co–SiO2 Alloy Films Deposited by Magnetic-Field-Assisted Jet Plating. Surf. Coat. Technol. 2021, 423, 127583. [Google Scholar] [CrossRef]
- Ramanauskas, R.; Gudavičiūtė, L.; Juškėnas, R.; Ščit, O. Structural and Corrosion Characterization of Pulse Plated Nanocrystalline Zinc Coatings. Electrochim. Acta 2007, 53, 1801–1810. [Google Scholar] [CrossRef]
- Ullal, Y.; Hegde, A.C. Corrosion Protection of Electrodeposited Multilayer Nanocomposite Zn-Ni-SiO2 Coatings. Surf. Engin. Appl. Electrochem. 2013, 49, 161–167. [Google Scholar] [CrossRef]
- Li, R.; Hou, Y.; Liu, B.; Wang, D.; Liang, J. Electrodeposition of Homogenous Ni/SiO2 Nanocomposite Coatings from Deep Eutectic Solvent with in-Situ Synthesized SiO2 Nanoparticles. Electrochim. Acta 2016, 222, 1272–1280. [Google Scholar] [CrossRef]
- Zhang, X.; Xiong, S.; Gao, F.; Du, J.; Du, Q.-J. Preparation and Tribological Properties of SiO2 /WO3 Nanocomposite Lubricant. Ind. Lubr. Tribol. 2022, 75, 60–66. [Google Scholar] [CrossRef]
- Alekseeva, M.V.; Gulyaeva, Y.K.; Bulavchenko, O.A.; Saraev, A.A.; Kremneva, A.M.; Stepanenko, S.A.; Koskin, A.P.; Kaichev, V.V.; Yakovlev, V.A. Promoting Effect of Zn in High-Loading Zn/Ni-SiO2 Catalysts for Selective Hydrogen Evolution from Methylcyclohexane. Dalton Trans. 2022, 51, 6068–6085. [Google Scholar] [CrossRef]
- Xiang, T.; Zhang, M.; Li, C.; Dong, C.; Yang, L.; Chan, W. CeO2 Modified SiO2 Acted as Additive in Electrodeposition of Zn-Ni Alloy Coating with Enhanced Corrosion Resistance. J. Alloy. Compd. 2017, 736, 62–70. [Google Scholar] [CrossRef]
- Karunarathne, V.K.; Paul, S.C.; Šavija, B. Development of Nano-SiO2 and Bentonite-Based Mortars for Corrosion Protection of Reinforcing Steel. Materials 2019, 12, 2622. [Google Scholar] [CrossRef]
- Tu, W.-Y.; Xu, B.-S.; Dong, S.-Y.; Wang, H. Electrocatalytic Action of Nano-SiO2 with Electrodeposited Nickel Matrix. Mater. Lett. 2005, 60, 1247–1250. [Google Scholar] [CrossRef]
- Silva-Alvarez, D.F.; Dominguez-Lopez, I.; Hurtado, M.A.V.; Gutierrez-Antonio, C.; Flores-Garay, K.A.; Garcia-Garcia, A.L. A Review on the Menagerie of Green Fluids and Nanoparticles to Develop Sustainable Biolubricant Technologies. Environ. Technol. Innov. 2024, 33, 103532. [Google Scholar] [CrossRef]
- Hou, C.; Fan, Z.; Yang, J. Construction of Super Hydrophobic Paper by Modified Nano-SiO2 Hybrid Medium Fluoro-Epoxy Polymer and Its Properties. Prog. Org. Coat. 2024, 187, 108180. [Google Scholar] [CrossRef]
- Xiong, Z.; Chen, N.; Wang, Q. Preparation and Properties of Melamine Formaldehyde Resin Modified by Functionalized Nano-SiO2 and Polyvinyl Alcohol. Polym. Polym. Compos. 2020, 29, 96–106. [Google Scholar] [CrossRef]
- Hu, M.; Liu, M.; Li, P.; Du, J.; Yu, Y.; Guo, J. Effects of Triethanolamine Modified Graphene Oxide on Calcium Silicate Hydrate in Synthesized System and Cement Composite. Colloid Surf. Physicochem. Eng. Asp. 2020, 602, 125037. [Google Scholar] [CrossRef]
- Kelly, R.G.; Scully, J.R.; Shoesmith, D.W. Electrochemical Techniques in Corrosion Science and Engineering; CRC Press: Boca Raton, FL, USA, 2003. [Google Scholar]
- Bonin, L.; Vitry, V.; Delaunois, F. Inorganic Salts Stabilizers Effect in Electroless Nickel-Boron Plating: Stabilization Mechanism and Microstructure Modification. Surf. Coat. Technol. 2020, 401, 126276. [Google Scholar] [CrossRef]
- ASTM G5-14; Standard Reference Test Method for Making Potentiodynamic Anodic Polarization Measurements. ASTM International: West Conshohocken, PA, USA, 2021. [CrossRef]
- ASTM G106-89; Standard Practice for Verification of Algorithm and Equipment Used for Electrochemical Impedance Measurements. ASTM International: West Conshohocken, PA, USA, 2015.
- ASTM B117-20; Standard Practice for Operating Salt Spray (Fog) Apparatus. ASTM International: West Conshohocken, PA, USA, 2020.










| Composition and Parameter Selection | Concentration and Parameter Value | Electrodeposition Parameters |
|---|---|---|
| NaOH (g/L) | 130–140 | pH 12.0 |
| ZnO (g/L) | 8–12 | Temperature 25 ± 2 °C |
| NiSO4·6H2O (g/L) | 4–8 | Planting time 15 min |
| TEA (g/L) DPE-III (ml/L) BH-336 | 28–30 5–10 2–6 | Stirring speed 120 rpm Current density 4 A/dm2 |
| Stabilizer (g/L) | 8–12 | - |
| ZN Alloys Coatings | Rp (Ω·cm2) |
|---|---|
| no SiO2 | 68.07 |
| 1% SiO2 | 74.35 |
| 2% SiO2 | 131.4 |
| 3% SiO2 | 2282 |
| 5% SiO2 | 117.7 |
| 10% SiO2 | 110.4 |
| Samples | Ecorr (V) | Icorr (A/cm2) | Corrosion Rate (10−5 g·m−2·h−1) | Anodic Slope (mv/Decade) | Cathodic Slope (mv/Decade) |
|---|---|---|---|---|---|
| no SiO2 | −0.8582 | 1.410 × 10−4 | 1.23 | 7.057 | 11.105 |
| 1% SiO2 | −0.9126 | 4.929 × 10−5 | - | 4.560 | 13.842 |
| 2% SiO2 | −0.9214 | 6.761 × 10−5 | - | 7.642 | 11.584 |
| 3% SiO2 | −0.9549 | 5.762 × 10−6 | 0.58 | 5.229 | 4.800 |
| 5% SiO2 | −0.8872 | 1.100 × 10−4 | 0.96 | 2.897 | 9.611 |
| 10% SiO2 | −0.8914 | 4.676 × 10−5 | - | 2.962 | 9.742 |
| Type of Coating | Time to 5% Red Rust (Hours) |
|---|---|
| no SiO2 | 216 |
| 3% SiO2 | 384 |
| 5% SiO2 | 336 |
Disclaimer/Publisher’s Note: The statements, opinions and data contained in all publications are solely those of the individual author(s) and contributor(s) and not of MDPI and/or the editor(s). MDPI and/or the editor(s) disclaim responsibility for any injury to people or property resulting from any ideas, methods, instructions or products referred to in the content. |
© 2025 by the authors. Licensee MDPI, Basel, Switzerland. This article is an open access article distributed under the terms and conditions of the Creative Commons Attribution (CC BY) license (https://creativecommons.org/licenses/by/4.0/).
Share and Cite
Chang, S.; Wang, Y.; Wang, J.; Hao, Z.; Yang, Y.; Wang, Y.; Wang, X.; Cao, F.; Shi, L. Improved Uniformity Properties and Corrosion Resistance of Zinc–Nickel Composite Coating Enhanced by Nano-SiO2. Coatings 2025, 15, 71. https://doi.org/10.3390/coatings15010071
Chang S, Wang Y, Wang J, Hao Z, Yang Y, Wang Y, Wang X, Cao F, Shi L. Improved Uniformity Properties and Corrosion Resistance of Zinc–Nickel Composite Coating Enhanced by Nano-SiO2. Coatings. 2025; 15(1):71. https://doi.org/10.3390/coatings15010071
Chicago/Turabian StyleChang, Sujie, Yuanhao Wang, Jianpeng Wang, Zerui Hao, Yang Yang, Yi Wang, Xinyi Wang, Fan Cao, and Lei Shi. 2025. "Improved Uniformity Properties and Corrosion Resistance of Zinc–Nickel Composite Coating Enhanced by Nano-SiO2" Coatings 15, no. 1: 71. https://doi.org/10.3390/coatings15010071
APA StyleChang, S., Wang, Y., Wang, J., Hao, Z., Yang, Y., Wang, Y., Wang, X., Cao, F., & Shi, L. (2025). Improved Uniformity Properties and Corrosion Resistance of Zinc–Nickel Composite Coating Enhanced by Nano-SiO2. Coatings, 15(1), 71. https://doi.org/10.3390/coatings15010071

