Next Article in Journal
An Evaluation of the Microstructure and Hardness of Co-Rich PTA Overlays on a Duplex Steel Substrate
Previous Article in Journal
Design of Benzoxazine Coatings to Further Advance Acid Resistance of Aluminium Substrates
 
 
Font Type:
Arial Georgia Verdana
Font Size:
Aa Aa Aa
Line Spacing:
Column Width:
Background:
Article

Study on Preparation and Flame-Retardant Mechanism of Cerium-Doped Mg-Al Hydrotalcite

1
School of Chemistry and Biological Engineering, University of Science and Technology Beijing, Beijing 100083, China
2
CAS Key Laboratory of Standardization and Measurement for Nanotechnology, National Center for Nanoscience and Technology, Beijing 100190, China
3
Inner Mongolia XinYu Rare Earth Functional Materials Co., Ltd., Baotou 014060, China
*
Authors to whom correspondence should be addressed.
These authors contributed equally to this work.
Coatings 2025, 15(1), 68; https://doi.org/10.3390/coatings15010068
Submission received: 22 November 2024 / Revised: 31 December 2024 / Accepted: 2 January 2025 / Published: 9 January 2025

Abstract

Cerium-doped hexagonal lamellar hydrotalcite was prepared via the hydrothermal method and applied to epoxy resin (EP) composites. The characterization results of cerium-doped hydrotalcite showed that the interlayer spacing of hydrotalcite increased with an increase in the cerium doping amount, and an appropriate amount of cerium doping will not destroy the layered structure of hydrotalcite. This study also determined the best cerium doping ratio. The combustion performance of the composite was studied using thermogravimetric infrared analysis, smoke density test, and limiting oxygen index (LOI). The results showed that the addition of cerium-doped hydrotalcite reduced the amount of smoke and the escape of hydrocarbons during the combustion and decomposition of epoxy resin. The main flame-retardant mechanism was that the addition of cerium-doped Mg-Al hydrotalcite promoted the formation of a dense protective layer on the surface of the composite to inhibit the escape of combustible substances, so as to achieve the purpose of a flame retardant and smoke suppression.

1. Introduction

Once a fire occurs, it will cause serious casualties and economic losses. Therefore, the development of efficient flame-retardant materials is very urgent and important. As an indispensable thermosetting polymer, epoxy resin (EP) is widely used in aerospace, national defense, coatings, glue adhesives and other fields [1,2,3]. EP has played a huge role not only in construction engineering but also in electronic appliances and even medical science and technology. However, the limiting oxygen index of EP is only 19.8%, which is an extremely flammable material and produces a large amount of black smoke during combustion [4,5]. Therefore, it has always been an important research topic to develop materials with high flame retardancy and smoke suppression to improve the combustion performance of EP.
Most of the early flame retardants were organic flame retardants, and most of them were halogen flame retardants [6], which were prone to producing a large amount of toxic corrosive gases and smoke during combustion and decomposition [7]. Inorganic flame retardants not only provide good flame-retardant performance but also have relatively fewer combustion products and lower toxicity, such as nitrogen-based and phosphorus-based inorganic flame retardants, etc. [8,9,10,11,12]. The research on the nanocrystallization of inorganic flame retardants has received extensive attention from researchers because it can further improve the flame-retardant efficiency [13,14,15]. Layered double hydroxide (LDH) is a general term for hydrotalcite (HT) and hydrotalcite-like compounds (HTLCs). A series of supramolecular materials assembled via the intercalation of these compounds is called hydrotalcite intercalation materials (LDHs). LDHs have been used as efficient flame retardants, which is related to their unique layered double hydroxide structure [16,17,18]. On the one hand, it decomposes during the combustion process to produce non-combustible gases such as water molecules, which can dilute combustible gases. On the other hand, metal hydroxides are decomposed into metal oxides during the combustion process, forming a dense protective layer to block heat and gas transfer [9]. These characteristics mean that hydrotalcite can be used as a nano-flame-retardant additive in a variety of polymers [19,20,21]. However, the flame-retardant efficiency of hydrotalcite is relatively low. In order to improve the flame-retardant efficiency of hydrotalcite, the modification of hydrotalcite and the combination of hydrotalcite and other various flame retardants have attracted the attention of researchers [22]. Sun et al. [10] reported that a hybrid structure was synthesized by the intercalation of surfactants into hydrotalcite. Chen et al. [23] successfully embedded phosphomolybdate into hydrotalcite using the reconstruction method and prepared hexa (4-aminophenoxy) cyclotriphosphazene (HACP) as a high-performance organophosphorus nitrogen flame retardant. The synergistic flame-retardant effect was investigated. The results showed that the mixed flame retardant significantly reduced the total heat release rate and peak heat release rate of the composite and also had a significant inhibitory effect on the release of toxic gases.
As a new type of flame-retardant additive, cerium oxide (CeO2) has excellent catalytic charring performance during combustion [24,25,26]. Studies have shown that cerium dioxide as a flame-retardant synergist can significantly improve the flame-retardant properties of the composites. Zhang et al. [27] prepared CeO2-loaded titania nanotubes with different CeO2 loadings via the co-precipitation method. The results showed that loading CeO2 could increase the carbon residue of nanocomposites. Hobson et al. [28] introduced cerium oxide into ethylene vinyl acetate/magnesium hydroxide composite materials. Cerium oxide and magnesium hydroxide exhibited excellent synergistic effects in the composite materials, improving the mechanical properties, flame retardancy, and UV aging resistance of the composite materials. However, there are still some problems during the use of cerium oxide as a flame-retardant synergist; for example, the addition of excessive cerium dioxide will make the system lose a stable equilibrium state and reduce the flame-retardant properties.
In this work, the flame-retardant mechanism of magnesia–aluminum–cerium hydrotalcite prepared via the hydrothermal method was studied.

2. Experimental Section

2.1. Synthesis of Nanometer MgAl-LDH and MgAlCe-LDH

The typical synthesis process of MgAl-LDH is as follows: Firstly, a certain proportion of Mg(NO3)2·6H2O and Al(NO3)3·9H2O were dissolved in deionized water (Table 1). The molar concentration of magnesium ion was 0.6 mol/L. Then, 1.0 mol/L NaOH solution was added into the mixed metal salt solution at a rate of 1.0 mL/min. When the pH value reached 8, we stopped stirring and poured the slurry into the hydrothermal reactor. The hydrothermal temperature was set to 140 °C and the reaction time was set to 10 h. After the reaction, the product was centrifuged and washed three times with deionized water. Finally, the powder sample was obtained by drying and grinding.
The synthesis process of MgAlCe-LDH is similar to that of MgAl-LDH. The molar ratio of divalent metal ions to trivalent metal ions was 3 to 2. Different proportions of Mg(NO3)2·6H2O, Al(NO3)3·9H2O and Ce(NO3)3·6H2O were designed (Table 1). The remaining steps were the same as the preparation of MgAl-LDH.
In addition, for comparison, nanometer ceria was prepared separately under the same reaction conditions. The specific preparation process was as follows: 10 g of cerium nitrate was dissolved in 700 mL of water; 3.6 g of sodium hydroxide was added, stirred and sonicated for ten minutes and then placed in a hydrothermal reactor at 140 °C for 10 h. The nanometer ceria powder (labeled as b-CeO2) was obtained after centrifugal washing and drying.

2.2. Synthesis of Flame-Retardant EP Composites

In order to study the flame retardancy and smoke suppression of the prepared hydrotalcite, the prepared hydrotalcite was added to the EP as a flame retardant in a certain proportion, and the performance of the flame-retardant EP composites was tested.
Preparation of pure EP spline: take a certain amount of EP, add an appropriate amount of xylene to dilute, and then a certain proportion of fat polyamine as curing agent is added to the EP, mixed evenly and injected into the polytetrafluoron mold for curing. After curing, the spline is removed and trimmed to obtain the pure EP spline.
Preparation of LDH/EP spline: take a certain amount of EP, add an appropriate amount of xylene for dilution, weigh and add a quantitative amount of LDH powder into EP, disperse evenly, add a certain proportion of curing agent into the mixture, mix evenly and pour into the polytetrafluoron mold for curing reaction; after curing, take out the spline for dressing to obtain the LDH/EP spline. The composite spline of cerium-doped hydrotalcite and epoxy resin was prepared using the same method. As a comparison, b-CeO2 was added to EP at the same weight ratio to make a composite b-CeO2/EP spline.
The preparation formula of EP composites is shown in Table 2.

2.3. Characterization

X-ray diffraction (XRD) analysis was performed using a PANalyticalX’Pert PRO system manufactured by PANalytical Company, (Almolo, Upper Ethel, The Netherlands), its software version number is HighScore 5.3. The measurements were made using Cu-Kα radiation for 2θ values of 5–70° at a sweep rate of 1°/min. The morphologies of the products were examined by transmission electron microscopy (TEM) using a JEM-2100 system (JEOL, Toshima, Tokyo, Japan) operated at 200 kV. Thermogravimetric analysis (TGA) was performed on a Netzsch STA 449 thermal analyzer (Netzsch, Selbu, Bavaria, Germany) at a heating rate of 10 °C/min. The limiting oxygen index (LOI) values of all the samples were determined on a FTA-II, (FTT, East Grinstead, Sussex, UK). The smoke density was measured on a SCY-1 smoke density measurement system, (Beirui, Guangzhou, Guangdong, China), following GB/T 8627-2007 “Smoke density test method for combustion or decomposition of building materials”. Thermogravimetry analysis–Fourier-transform infrared–gas chromatography mass spectrometry (TG-FTIR-GCMS) measurements were carried out using an instrument provided by NETZSCH STA 449 F5/F3 Jupiter, (Netzsch, Selbu, Bavaria, Germany).

3. Result and Discussion

3.1. Characterization of MgAl-LDH, and MgAlCe-LDH

The crystal structure of the synthesized product was characterized by XRD. Figure 1a shows that MgAl-LDH and MgAlCe-LDH (C-1~C-9) have typical LDH layered structures, corresponding to #JCPDS Card NO. 35-0965. Compared with MgAl-LDH, the diffraction peak position and intensity of MgAlCe-LDH (C-1~C-4) are almost unchanged, indicating that a small amount of Ce doping will not damage the layered structure of LDH. By comparing the slow scan results of peak 003 (Figure 1b), we found that the angle of the diffraction peak decreases with an increase in the Ce doping amount. According to Equation (1) [29], the interlayer spacing increases, as shown in Table 3.
2 d   sin   θ   =   n   λ
It can be seen from Figure 1a that C-6 began to develop a small cerium oxide peak, C-7 was slightly more obvious, and C-8 began to clearly show the characteristic diffraction peak of cerium oxide (JCPDS card NO. 34-0394). From the change in the XRD peak shape, it can be predicted that when the doping amount of cerium is too large, cerium ions will independently nucleate and grow into cerium oxide particles, so that the system contains both MgAlCe-LDH and cerium oxide particles. This is due to the fact that in the process of synthesizing hydrotalcite, cerium ions replace part of the position of aluminum ions; while the radius of Ce3+ is 1.02 Å, the radius of Al3+ is 0.535 Å, and the radius of Ce3+ is greater than that of Al3+. This makes the proportion of Al3+ replaced by Ce3+ increase with an increase in cerium content, and the interlayer spacing gradually becomes larger, which is reflected in the XRD spectrum.
The morphology and size of the prepared hydrotalcites were observed via scanning electron microscopy (SEM) and transmission electron microscopy (TEM). Figure 2a shows the TEM image of the prepared MgAl-LDH. It can be seen from the image that the prepared MgAl-LDH is a hexagonal lamellar with a diameter of about 100~200 nm, and the shape and size are relatively uniform. With the doping of cerium, it can be observed from Figure 2b,c that, at the beginning, the doping amount of cerium is low and does not affect the hexagonal lamella structure morphology of LDH. When the ratio of cerium to aluminum is 1:9 (Figure 2c, C-5), a very small number of particles begin to appear on the LDH sheet. However, with an increase in the doping amount of cerium, when the ratio of cerium to aluminum is 1:2 (Figure 2d, C-7), some granular substances are produced, which may be due to the formation of CeO2 impurities. Figure 3 shows an SEM diagram of hydrotalcite, from which it can also be observed that hydrotalcite particles are lamellar and have a certain thickness of about 20 nm, indicating that hydrotalcite particles are stacked by several layers. Figure 3 is as shown in Figure 2, where an appropriate amount of cerium doping has little effect on the morphology of hydrotalcite particles. In order to explore the composition of impurities, the nano-sheets were tested via energy spectrum surface scanning (TEM-EDS) (Figure 4). The results show that the small granular material on the surface of the nano-sheets is cerium oxide. From Figure 2d, it can be observed that the oxides formed by excess cerium oxides particles and sheets of hydrotalcite are agglomerated and deposited together, which indicates that the formed LDH is poor in crystallinity and more cerium oxide is formed, which is consistent with the results of XRD.
According to the comparative analysis of XRD and TEM of samples with different doping ratios, it can be judged that the C-5 prepared with a cerium–aluminum ratio of 1:9 has a complete morphology, and the doping ratio is the most suitable.
The doping of cerium was studied using X-ray photoelectron spectroscopy (XPS). Figure 5 shows an XPS image of Ce3d of the sample, with six peaks labeled as V0 (882.8 eV), V1 (888.2 eV), V2 (899.0 eV), V0′ (901.4 eV), V1′ (907.2 eV), and V2′ (917.0 eV), which can be identified as characteristic of Ce4+ 3d final states. The characteristic peaks of Ce3+ are also observed at 903.4/885.5 eV and 898.2/880.0 eV, labeled as U1/U1′ and U0/U0′, respectively [30]. According to Equation (2) [31], it is estimated that the content of Ce3+ in MgAlCe-LDH (C-5) is 13.36%, and the content of Ce3+ in the physical particle mixtures of MgAl-LDH and CeO2 is 4.65%. In comparison with the samples mixed physically, the content of Ce3+ in MgAlCe-LDH samples increased, suggesting that cerium was doped into the layered structure of hydrotalcite.
X C e 3 + = A C e 3 + / S C e Σ A C e 3 + + C e 4 + / S C e × 100 %
where XCe3+ is the percentage content of Ce3 +, A is the integrated area of the characteristic peak in the XPS pattern, and S is the sensitivity factor (S = 7.399).
Figure 6 shows FT-IR diagrams of MgAl-LDH and MgAlCe-LDH. It can be seen from the infrared spectrum curves that the two samples measured both have wide O-H vibration absorption peaks near 3450 cm−1 and 1635 cm−1, which are, respectively, the stretching and bending vibration characteristic absorption peaks of hydroxyl groups. The O-H characteristic peak at 3450 cm−1 is shifted to the right, and blue shift occurs when compared with the O-H key at 2600 cm−1 in the free state, indicating that the water molecules between LDH layers have hydrogen bonding with NO3−. The peaks appearing in the range of 1000–500 cm−1 belong to the lattice vibration of cations and are the skeleton vibration absorption peaks of LDH compounds, which can prove that the synthesized product is LDH. It can be seen from the data in Table 4 that compared with MgAl-LDH, the hydroxyl stretching vibration ν-OH characteristic peak and the stretching vibration ν-MO absorption peak between metal and oxygen atoms after Ce doping MgAl-LDH to obtain MgAlCe-LDH have shifted, and the hydroxyl vibration ν-OH absorption peak of the cerium-doped plate has shifted towards the higher wave number, so the stretching vibration ν-MO absorption peak shifts towards lower wave numbers. This is because the doping of cerium has replaced a portion of the aluminum position, and their radii are different, resulting in a change in the density of charges on the LDH layer plate and a small displacement of the two vibration absorption peaks.
The TG-DTG curves of MgAl-LDH and MgAlCe-LDH are shown in Figure 7. In this comparative test, four samples were selected: Ce-free doped LDH, a small amount of Ce-doped C-2, a suitable amount of Ce-doped C-5, and an excessive amount of Ce-doped C-8. Figure 7a shows that MgAl-LDH exhibits the highest water molecular weight loss, approximately 15%. As the cerium doping level increases, the water molecular weight loss gradually decreases. Among the samples, the C-8 group samples show the lowest loss, likely due to the excessive cerium content, which forms substantial cerium oxide. Figure 7b illustrates that the thermal weight loss of hydrotalcite is primarily segmented into three distinct phases. The initial thermal decomposition process below 250 °C is primarily attributed to the loss of weight due to the physical adsorption of water on the hydrotalcite surface and the evaporation of water molecules between layers. Table 5 presents the thermal degradation behaviors of various hydrotalcites, indicating the temperatures at the maximum thermal degradation rates in the first and second stages, denoted as Tmax1 and Tmax2, respectively. In the first stage, the maximum thermal degradation temperatures of the four groups of samples were 48 °C, 107 °C, 118 °C, and 93 °C, respectively. This indicates that the surface of MgAl-LDH has a high adsorption water content, while the interaction force between water molecules and the layers of the C-5 group samples is stronger, and the structure is more stable, making it more difficult to lose. In addition, the second thermal decomposition stage of the four samples is within the range of 250–400 °C. The second stage of the thermal decomposition process involves the removal of hydroxyl groups and interlayer anions from the layered structure of hydrotalcite. The maximum thermal degradation temperatures of the four samples are 327 °C, 326 °C, 341 °C, and 333 °C, respectively. Among them, the maximum thermal degradation temperature of the C-5 group sample is the highest, indicating that the interaction forces between hydroxyl groups and interlayer anions on the laminates of the C-5 group sample and metal cations are stronger, so higher temperatures are needed to achieve removal and generate metal oxides and water molecules. The thermal decomposition of the third stage occurs after 400 °C, and the thermal weight loss in this stage is due to the removal of the remaining interlayer anions. The residual carbon content of the four groups of samples is 55.59%, 60.06%, 70.59%, and 81.49%, respectively. This can prove that with an increase in cerium doping, the hydrotalcite sample and the oxide generated by subsequent decomposition have higher thermal stability and are difficult to further decompose at high temperatures.

3.2. Thermal Analysis of Flame-Retardant EP Composite Materials

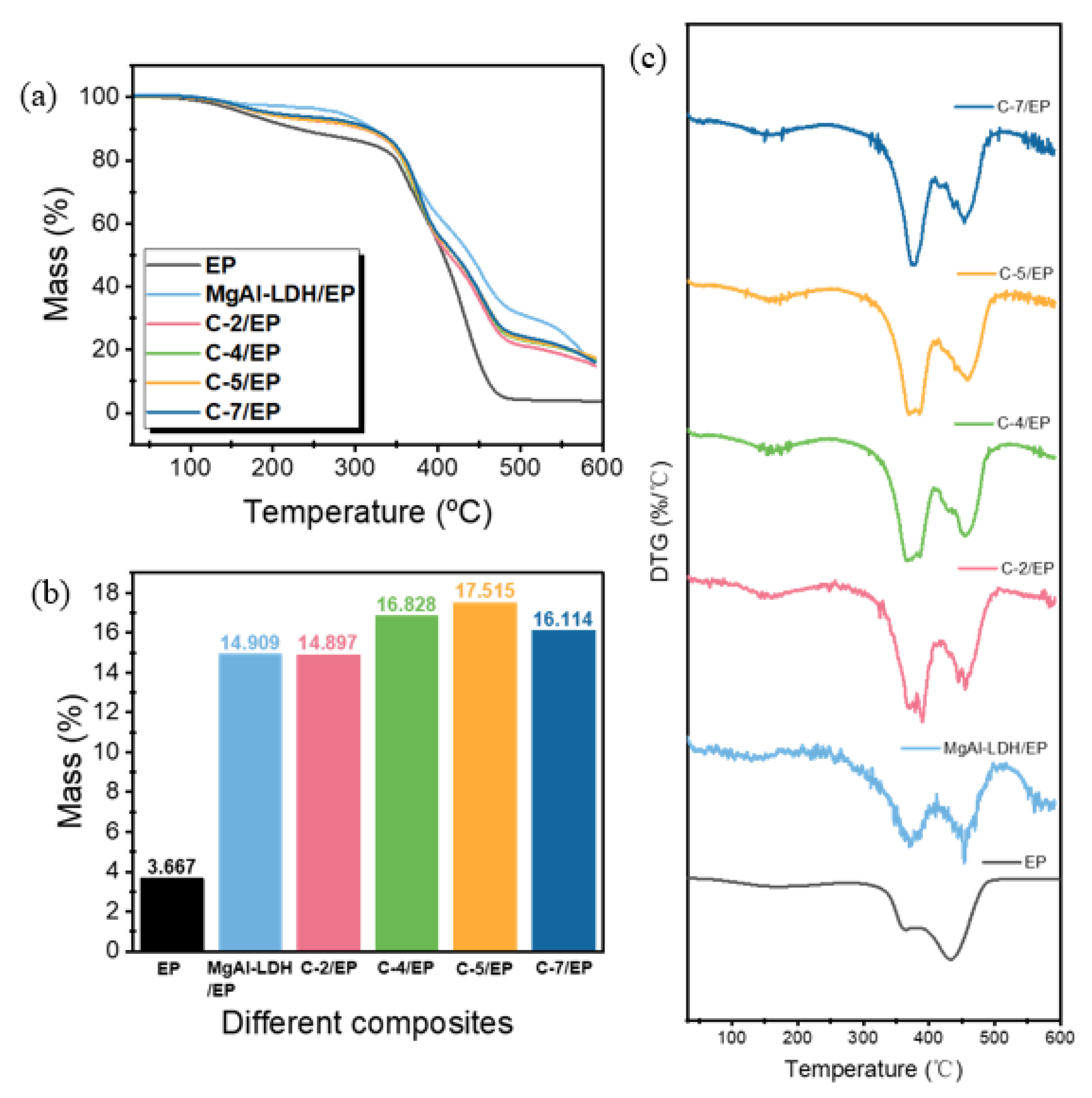
Figure 8 shows the thermal weight loss curves of pure EP, MgAl LDH/EP, and several MgAlCe-LDH/EP samples. The initial decomposition temperature (T5%), maximum weight loss rate temperature (Tmax), and temperature at 50% weight loss (T50%) are shown in Table 6. The initial decomposition temperature and maximum thermal decomposition temperature both move towards higher temperatures. The trend of the curve is roughly consistent, indicating that the introduction of hydrotalcite does not significantly change the pyrolysis behavior of the epoxy resin. Observing the weight loss curve (Figure 8a), it can be seen that the composite material has three thermal weight loss stages. Before 200 °C, there is a weight loss step, which is due to the removal of physically adsorbed moisture particles in the composite material and the release of decomposition products at low temperatures. The weight loss step in the second stage is between 300 °C and 400 °C. The reason for the thermal weight loss in this stage is the breakage of the three-dimensional network macromolecules in the epoxy resin and the removal of the hydroxyl groups in the hydrotalcite. As shown in Figure 8c, due to the addition of flame retardants, the maximum thermal decomposition rate temperature in this stage tends to increase. The weight loss in the third stage is after 400 °C, and the pyrolysis behavior in this stage is manifested by further thermal oxidation of the residual carbon layer and removal of interlayer anions in the hydrotalcite layer in the later stage of thermal decomposition. After adding flame retardants, the temperature of the epoxy composite material at the maximum thermal decomposition rate in this stage increased by 20–30 °C compared to pure epoxy resin.
From Figure 8b, it can be seen that the residual carbon rate of the pure epoxy resin is 3.667%. When 7.5% MgAl LDH is added, the residual carbon rate increases to 14.909%, and the sample with the highest residual carbon rate is the C-5/EP group, with a residual carbon rate of 17.515%. Due to the fact that hydrotalcite can absorb a large amount of heat from the combustion zone during thermal decomposition, it can lower the temperature of the combustion material. Moreover, hydrotalcite can decompose under heat, not only removing water molecules between layers but also allowing the water molecules generated by its hydroxyl groups to escape and dilute combustible gases, delaying combustion. Meanwhile, the oxides generated by the thermal decomposition of hydrotalcite, including magnesium oxide, aluminum oxide, and cerium oxide, can block the material from continuing to burn. MgAl-LDH/EP and MgAlCe-LDH/EP will undergo thermal decomposition during heating, which is mainly divided into three stages. The first stage is below 200 °C, which is mainly the evaporation of physically adsorbed water. The second stage is at 200–400 °C, mainly the removal of interlayer water. The third stage is at 400–600 °C; this can be divided into two stages (400–500 °C and after 500 °C), where 400–500 °C is mainly the removal of hydroxyl groups and the formation of metal oxides. After 500 °C, the layered structures of MgAl-LDH and MgAlCe-LDH/EP begin to collapse, resulting in structural damage and the weight loss rate reaches a stable state. The carbon residue rate of the C-5 group sample doped with cerium is the highest. This is because the appropriate addition of cerium catalyzes the carbonization of the EP composites, forms a barrier layer, delays the combustion, and plays a flame-retardant role. Because C-5 has an appropriate amount of cerium doping, the proportion of the lamellar structure is the highest, and the free cerium oxide is very small, so the structure collapse is most difficult after 500 °C.
In order to investigate the effect of the addition of hydrotalcite on the thermal decomposition of epoxy resin materials, thermal gravimetric infrared spectroscopy (TG-IR) was used to analyze the gaseous products produced by the thermal decomposition of different hydrotalcite composite epoxy resin materials (Figure 9). The main peak positions are divided into the following: 3950–3500 cm−1 is the characteristic peak of water vapor, 3015 cm−1 is the characteristic peak of unsaturated hydrocarbons, 2965 cm−1 is the characteristic peak of saturated hydrocarbons, 1509 cm−1 is the characteristic peak of aromatic compounds, 1178 cm−1 is the characteristic peak of ether compounds, and 2000–2500 cm−1 is the characteristic peak of carbon dioxide. Compared with the spectra of the six samples, the spectra of the main thermal decomposition products of the composite material with added flame retardants showed a decrease in peak intensity compared to pure EP, but the peak position did not change, indicating that the addition of flame retardants reduced the release and escape of thermal decomposition products but did not affect the types of thermal degradation products of epoxy resin. Some characteristic peaks of pyrolysis products disappear in the low-temperature zone, and carbon dioxide characteristic peaks appear after 300 °C, indicating that the addition of flame retardants affects the thermal decomposition reaction of epoxy composite materials and can form a dense protective layer to block the escape of thermal decomposition products.
From Figure 10, it can be seen that the intensity of the characteristic absorption peaks of the four main volatile thermal decomposition products, saturated hydrocarbons, unsaturated hydrocarbons, aromatic compounds, and ether compounds, significantly decreases when flame retardants are added. The different types of flame retardants added result in slightly different peak intensities. With an increase in the cerium doping amount in hydrotalcite, the characteristic peak intensities of these four volatile decomposition products also slightly decrease at the maximum thermal decomposition rate, and the characteristic peak intensities of carbon dioxide also decrease. This indicates that MgAl-LDH and MgAlCe-LDH have inhibitory and blocking effects on the escape of thermal decomposition products from epoxy resin combustion, and the barrier ability of the formed carbon layer also increases with an increase in cerium doping amount.

3.3. Smoke Density Test Analysis of Epoxy Composite Materials

In the smoke density test, the maximum smoke density can be obtained based on the curve of the smoke production performance of the sample over the burning time, and the smoke density rating (SDR) can be tested.
Pure epoxy and epoxy composites were tested for comparison. The addition ratio of the flame retardant in the epoxy composite is 7.5%. The test results are shown in Figure 11. It can be seen that the smoke density of pure epoxy resin is always higher than that of other composite materials. The smoke production of pure epoxy is the highest. After adding flame-retardant materials, the smoke density decreased to some extent, indicating that the added flame-retardant materials have certain smoke suppression properties. When 7.5% MgAl LDH or 7.5% MgAlCe LDH (C-5) is added, the smoke suppression effect is more significant. The flame-retardant and smoke suppression effect of cerium oxide (b-CeO2/EP) is not as good as that of MgAl-LDH and MgAlCe-LDH, and the smoke density grade of C-7 is higher than that of pure MgAl-LDH, indicating that the layered structure of LDH has a better smoke suppression effect. In addition, excessive cerium-doped C-7 affects the superposition reproducibility of the LDH sheet structure. The C-5 doped with an appropriate amount of cerium retains the intact layered structure and exerts the catalytic carbon formation effect of the cerium element.

3.4. Test Analysis of LOI of EP Composites

The limiting oxygen index (LOI) refers to the minimum oxygen volume fraction required to maintain the complete combustion state of the sample in a mixture of oxygen and nitrogen. From Table 7, the LOI value of pure epoxy resin is 20.3%. After adding flame retardants, the oxygen index increases. When 7.5% MgAlCe-LDH is added, the LOI values of both C-4 and C-5 increase. The higher the proportion of cerium, the more the oxygen index increases, indicating that cerium can play a certain synergistic role in hydrotalcite. There is an optimal doping ratio of cerium in LDH. After adding the same weight ratio of pure nano-ceria, the LOI of EP reached 22.9, which was slightly higher than 22.2 of C-5. This is related to the catalytic oxidation carbonization ability of cerium oxide itself. When the LOI level is comparable, C-5 has a stronger smoke suppression ability than pure cerium oxide. MgAlCe-LDH also has a cost advantage over pure nano-cerium oxide as a flame retardant.

3.5. Analysis of Residual Carbon in Epoxy Composite Materials

Figure 12 shows the images of residual carbon after the combustion of pure epoxy resin and epoxy composite materials. From Figure 12a, it can be seen that pure epoxy resin will produce molten droplets during combustion, which is very dangerous. The epoxy composite material with added flame retardants did not produce molten droplets and, at the same time, formed a carbon layer protective shell. This protective shell can also act as a barrier to combustion and inhibit the release of decomposition products and combustible gases during the combustion process. From the actual combustion effect of the spline in Figure 12, the cerium-doped LDH (Figure 12c) is superior to the undoped LDH (Figure 12b) in the flame-retardant effect. The anti-dripping performance of C-5/EP is better than that of b-CeO2/EP, which may be related to the lamellar structure of C-5.
Figure 13a,b shows the cross-section SEM images of pure EP and LDH/EP composites, respectively. It can be seen from the figures that the LDH flame retardant is dispersed inside the epoxy resin matrix and is relatively uniform. The residual carbon on the surface of b-CeO2/EP after combustion (Figure 13c) is small particle accumulation. It can be seen from the cross-section that the carbonized layer composed of small particles forms a protective layer on the surface of EP without combustion (Figure 13d). From the SEM of the residual carbon surface after the combustion of MgAl-LDH/EP (Figure 13e) and MgAlCe-LDH/EP (Figure 13f), the former has many fine particles evenly spaced on the surface, and the latter has stronger continuity to form a surface overall effect. The EP composite with added hydrotalcite can form a denser and more complete carbon layer, which plays a more effective shielding role, reduces the escape of pyrolysis products, and is conducive to preventing further combustion of the material. This result is consistent with the analysis of thermal decomposition products in Section 3.2.
According to the combustion process of epoxy resin, it is known that the heat in the system is used for the thermal decomposition of the material, and during the cracking process, volatile combustible gases are produced to support the continued combustion of the system. By analyzing the thermal decomposition behavior, pyrolysis products, and residual carbon of epoxy composite materials, the flame-retardant mechanism of epoxy composite materials was explored.
Through carbon layer analysis, the addition of flame retardants can promote the formation of a dense carbon layer in composite materials, delay the escape of thermal decomposition products, and block the transfer of heat. The carbon layer formed after adding hydrotalcite is denser and completer than that of pure EP, which can play a more effective barrier role, suppress the escape of thermal decomposition products, and effectively isolate the heat and mass transfer of the entire system. When flame retardants are introduced into the epoxy resin matrix, the thermal stability and flame-retardant performance of the composite material are obviously improved. Due to the layered structure of hydrotalcite, in the early stage of pyrolysis, it effectively shields the escape of the initial pyrolysis products. With an increase in temperature, hydrotalcite undergoes thermal decomposition, generating non-combustible gases such as water vapor to dilute the combustible gas in the system and generate stable oxides. Strengthening the carbon layer is more effective in hindering the escape of volatile substances during thermal decomposition, thereby inhibiting combustion and reducing the smoke density. The thermal stability of the cerium-doped LDH is higher than that of the undoped LDH, and the cerium element has the performance of catalyzing carbon formation. Therefore, the comprehensive flame-retardant and smoke suppression ability of MgAlCe-LDH is stronger.

4. Conclusions

In this work, regular and uniform hexagonal layered MgAl LDH and MgAlCe LDH were synthesized. The effect of cerium doping on the layered structure of hydrotalcite was investigated, and the results showed that as the cerium doping amount increased, the interlayer spacing of the layered structure of hydrotalcite gradually increased. Meanwhile, as the doping amount of cerium increases, the thermal stability of hydrotalcite is improved. However, when the doping amount of cerium is too high, cerium oxide particles will form outside the layer of hydrotalcite. When the molar ratio of divalent metal to trivalent metal is 3:2, the best ratio of cerium to aluminum is 1:9.
In addition, cerium-doped LDH has the best flame-retardant, smoke suppression, and anti-dripping effects, indicating that the interlayer spacing of LDH is increased by cerium doping, which makes it more effective in isolating heat conduction during epoxy resin combustion. At the same time, the cerium element improves the heat resistance stability of LDH. As a flame-retardant additive, it has better high-temperature decomposition ability. The cerium element also plays a role in catalyzing carbon formation, allowing the epoxy resin to form a dense carbon layer during surface combustion, isolating oxygen and heat penetration, and cooperating with the lamellar structure of LDH to play a perfect flame-retardant effect.

Author Contributions

Conceptualization, M.L. and Y.M.; methodology, Y.L.; software, G.S.; validation, Y.L., Z.W. and Y.G.; formal analysis, M.Y.; investigation, J.L.; resources, D.J.; data curation, Y.G.; writing—original draft preparation, Y.L.; writing—review and editing, M.L.; visualization, Z.W.; supervision, M.Y.; project administration, Q.W.; funding acquisition, Q.W. All authors have read and agreed to the published version of the manuscript.

Funding

This research was funded by the Major Science and Technology Project in Inner Mongolia Autonomous Region (2021ZD0037).

Institutional Review Board Statement

Not applicable.

Informed Consent Statement

Not applicable.

Data Availability Statement

Data is contained within the article.

Conflicts of Interest

Authors Yong Ma and Daiyu Ji were employed by Inner Mongolia XinYu Rare Earth Functional Materials Co., Ltd. The remaining authors declare that the research was conducted in the absence of any commercial or financial relationships that could be construed as a potential conflict of interest.

References

  1. Xu, Y.-J.; Chen, L.; Rao, W.-H.; Qi, M.; Guo, D.-M.; Liao, W.; Wang, Y.-Z. Latent curing epoxy system with excellent thermal stability, flame retardance and dielectric property. Chem. Eng. J. 2018, 347, 223–232. [Google Scholar] [CrossRef]
  2. Huaiyin, L.; Penglun, Z.; Junwei, L.; Jichang, S.; Rui, W.; Haihan, Z.; Jing, W.; Yun, Z.; Quanyi, L. In-situ formation of macromolecule P/N/Si flame retardant for epoxy resin with low smoke toxicity and excellent flame-retardancy. J. Appl. Polym. Sci. 2023, 140, e53926. [Google Scholar]
  3. Qu, L.; Sui, Y.; Zhang, C.; Dai, X.; Li, P.; Sun, G.; Xu, B.; Fang, D. Improved flame retardancy of epoxy resin composites modified with a low additive content of silica-microencapsulated phosphazene flame retardant. React. Funct. Polym. 2020, 148, 104485. [Google Scholar] [CrossRef]
  4. Ma, C.; Sánchez-Rodríguez, D.; Kamo, T. A comprehensive study on the oxidative pyrolysis of epoxy resin from fiber/epoxy composites: Product characteristics and kinetics. J. Hazard. Mater. 2021, 412, 125329. [Google Scholar] [CrossRef]
  5. Ai, Y.-F.; Xia, L.; Pang, F.-Q.; Xu, Y.-L.; Zhao, H.-B.; Jian, R.-K. Mechanically strong and flame-retardant epoxy resins with anti-corrosion performance. Compos. Part B Eng. 2020, 193, 108019. [Google Scholar] [CrossRef]
  6. Bevington, C.; Williams, A.J.; Guider, C.; Baker, N.C.; Meyer, B.; Babich, M.A.; Robinson, S.; Jones, A.; Phillips, K.A. Development of a Flame Retardant and an Organohalogen Flame Retardant Chemical Inventory. Sci. Data 2022, 9, 295. [Google Scholar] [CrossRef]
  7. Vahidi, G.; Bajwa, D.S.; Shojaeiarani, J.; Stark, N.; Darabi, A. Advancements in traditional and nanosized flame retardants for polymers—A review. J. Appl. Polym. Sci. 2020, 138, 50050. [Google Scholar] [CrossRef]
  8. Chai, W.; Su, X.; Xia, Y.; Gao, M.; Li, Y.; Liao, C.; Zheng, Z. Construction of a novel halogen-free and phosphorus-free and synergistic flame retardant system with low addition in simultaneously improving the flame retardancy, water resistance and mechanical properties for silicone rubber. Appl. Clay Sci. 2023, 238, 106926. [Google Scholar] [CrossRef]
  9. Chao, D.; Yang, L.; Hao, J.; Yuqing, L.; Mingyu, W.; Junyou, S.; Heejun, P. Study on the preparation of flame retardant plywood by intercalation of phosphorus and nitrogen flame retardants modified with Mg/Al-LDH. Constr. Build. Mater. 2023, 374, 130939. [Google Scholar]
  10. Xiaochun, H.; Yuqing, L.; Wen, L.; Zhiqiang, S. Synergistic interaction between inorganic layered materials and intumescent fire retardants for advanced fire protection. Carbon 2021, 187, 290–301. [Google Scholar]
  11. Paduani, C.; Rappe, A.M. Design of New Complexes of Inorganic Salts Based on Lithium and Magnesium Hydroxides and Carbonates for Usage as Propellants and Flame Retardants. J. Phys. Chem. A 2016, 120, 7764–7770. [Google Scholar] [CrossRef] [PubMed]
  12. Wen, N.; Zeng, W.; Yang, Y.; Yang, Z.; Li, H.; Li, X.; Li, Q.; Ding, H.; Lei, Z. Preparation of the Intrinsic Flame-Retardant Curing Agent of Inorganic Epoxy Resin Containing Nitrogen and Phosphorus. J. Inorg. Organomet. Polym. Mater. 2022, 32, 412–422. [Google Scholar] [CrossRef]
  13. Alongi, J.; Carosio, F.; Kiekens, P. Recent Advances in the Design of Water Based-Flame Retardant Coatings for Polyester and Polyester-Cotton Blends. Polymers 2016, 8, 357. [Google Scholar] [CrossRef] [PubMed]
  14. Hatami, M.; Sharifi, A.; Karimi-Maleh, H.; Agheli, H.; Karaman, C. Simultaneous improvements in antibacterial and flame retardant properties of PET by use of bio-nanotechnology for fabrication of high performance PET bionanocomposites. Environ. Res. 2021, 206, 112281. [Google Scholar] [CrossRef]
  15. Li, Y.; Qi, L.; Liu, Y.; Qiao, J.; Wang, M.; Liu, X.; Li, S. Recent Advances in Halogen-Free Flame Retardants for Polyolefin Cable Sheath Materials. Polymers 2022, 14, 2876. [Google Scholar] [CrossRef]
  16. Alongi, J.; Cuttica, F.; Carosio, F. DNA Coatings from Byproducts: A Panacea for the Flame Retardancy of EVA, PP, ABS, PET, and PA6? ACS Sustain. Chem. Eng. 2016, 4, 3544–3553. [Google Scholar] [CrossRef]
  17. Basu, D.; Das, A.; Stöckelhuber, K.W.; Wagenknecht, U.; Heinrich, G. Advances in layered double hydroxide (LDH)-based elastomer composites. Prog. Polym. Sci. 2013, 39, 594–626. [Google Scholar] [CrossRef]
  18. Kuang, Y.; Zhao, L.; Zhang, S.; Zhang, F.; Dong, M.; Xu, S. Morphologies, Preparations and Applications of Layered Double Hydroxide Micro-/Nanostructures. Materials 2010, 3, 5220–5235. [Google Scholar] [CrossRef]
  19. Xu, S.; Li, S.-Y.; Zhang, M.; Zeng, H.-Y.; Du, J.-Z.; Chen, C.-R. Effect of P3O105− intercalated hydrotalcite on the flame retardant properties and the degradation mechanism of a novel polypropylene/hydrotalcite system. Appl. Clay Sci. 2018, 163, 196–203. [Google Scholar] [CrossRef]
  20. Weibin, G.; Shimin, H.; Minjiao, Y.; Long, J.; Yi, D. The effects of hydrothermal aging on properties and structure of bisphenol A polycarbonate. Polym. Degrad. Stab. 2008, 94, 13–17. [Google Scholar] [CrossRef]
  21. Edenharter, A.; Breu, J. Applying the flame retardant LDH as a Trojan horse for molecular flame retardants. Appl. Clay Sci. 2015, 114, 603–608. [Google Scholar] [CrossRef]
  22. Mingtan, W.; Guoqing, X.; Chunlin, C.; Zhengwei, Y.; Fei, Z.; Chunyan, C.; Rui, Z.; Yuanyuan, L.; Ruili, L. Combining layered double hydroxides and carbon nanotubes to synergistically enhance the flame retardant properties of composite coatings. Colloids Surf. A Physicochem. Eng. Asp. 2022, 638, 128315. [Google Scholar]
  23. Chen, X.; Wang, B.; Hao, Z.; Tan, G.; Selim, M.S.; Yu, J.; Huang, Y. Synergistic Effect of Multifunctional Layered Double Hydroxide-Based Hybrids and Modified Phosphagen with an Active Amino Group for Enhancing the Smoke Suppression and Flame Retardancy of Epoxy. ACS Omega 2022, 7, 21714–21726. [Google Scholar] [CrossRef] [PubMed]
  24. Feng, Y.; Yuan, L.; Liang, G.; Gu, A. Phosphorus-free boron nitride/cerium oxide hybrid: A synergistic flame retardant and smoke suppressant for thermally resistant cyanate ester resin. Polym. Adv. Technol. 2019, 30, 2340–2352. [Google Scholar] [CrossRef]
  25. Jiao, C.-M.; Chen, X.-L. Synergistic flame retardant effect of cerium oxide in ethylene-vinyl acetate/aluminum hydroxide blends. J. Appl. Polym. Sci. 2010, 116, 1889–1893. [Google Scholar] [CrossRef]
  26. Wang, J.; Qiu, S.; Chen, W.; Yang, W.; Song, L.; Hu, Y. Synthesis of Nitrogen-Rich Black Phosphorus via a Diazotization Strategy for Efficient Flame Retardancy and Mechanical Properties of Epoxy Resins. Macromol. Mater. Eng. 2022, 307, 2200143. [Google Scholar] [CrossRef]
  27. Zhang, Z.; Pan, H.; Ma, W.; Liang, J.; Shen, Q.; Zhu, Q.; Yang, X. Synthesis of CeO2-loaded titania nanotubes and its effect on the flame retardant property of epoxy resin. Polym. Adv. Technol. 2019, 30, 2136–2142. [Google Scholar] [CrossRef]
  28. Hobson, J.; Yin, G.-Z.; Yu, X.; Zhou, X.; Prolongo, S.G.; Ao, X.; Wang, D.-Y. Synergistic Effect of Cerium Oxide for Improving the Fire-Retardant, Mechanical and Ultraviolet-Blocking Properties of EVA/Magnesium Hydroxide Composites. Materials 2022, 15, 5867. [Google Scholar] [CrossRef]
  29. Pope, C.G. X-Ray Diffraction and the Bragg Equation. J. Chem. Educ. 1997, 74, 129. [Google Scholar] [CrossRef]
  30. Wang, Z.; Shen, G.; Li, J.; Liu, H.; Wang, Q.; Chen, Y. Catalytic removal of benzene over CeO2–MnOx composite oxides prepared by hydrothermal method. Appl. Catal. B Environ. 2013, 138–139, 253–259. [Google Scholar]
  31. Pfau, A.; Schierbaum, K.D. The electronic-structure of stoichiometric and reduced CeO2 surfaces-an XPS, UPS and HREELS study. Surf. Sci. 1994, 321, 71–80. [Google Scholar] [CrossRef]
Figure 1. XRD patterns of cerium-doped MgAl-LDHs with different cerium–aluminum ratios. ☆: the hollow asterisk is the characteristic peak of MgAl-LDH. ★: the solid asterisk is the characteristic peak of CeO2, as indicated by the diffraction peak of C-9.; XRD pattern of 5–70° (a); XRD patterns for each group of hydrotalcite peak (003) (b)).
Figure 1. XRD patterns of cerium-doped MgAl-LDHs with different cerium–aluminum ratios. ☆: the hollow asterisk is the characteristic peak of MgAl-LDH. ★: the solid asterisk is the characteristic peak of CeO2, as indicated by the diffraction peak of C-9.; XRD pattern of 5–70° (a); XRD patterns for each group of hydrotalcite peak (003) (b)).
Coatings 15 00068 g001
Figure 2. TEM image of MgAl-LDH (a), C-2 (b), C-5 (c) and C-7 (d).
Figure 2. TEM image of MgAl-LDH (a), C-2 (b), C-5 (c) and C-7 (d).
Coatings 15 00068 g002
Figure 3. SEM image of MgAl-LDH (a,c) and C-5 (b,d).
Figure 3. SEM image of MgAl-LDH (a,c) and C-5 (b,d).
Coatings 15 00068 g003
Figure 4. TEM map of MgAlCe-LDH (C-5) distribution map of elements.
Figure 4. TEM map of MgAlCe-LDH (C-5) distribution map of elements.
Coatings 15 00068 g004
Figure 5. XPS spectra of MgAlCe-LDH (a) and physical mixtures of MgAl-LDH and CeO2 (b).
Figure 5. XPS spectra of MgAlCe-LDH (a) and physical mixtures of MgAl-LDH and CeO2 (b).
Coatings 15 00068 g005
Figure 6. FT-IR spectrum of MgAl-LDH and C-5.
Figure 6. FT-IR spectrum of MgAl-LDH and C-5.
Coatings 15 00068 g006
Figure 7. TG (a) and DTG (b) curves of different LDHs.
Figure 7. TG (a) and DTG (b) curves of different LDHs.
Coatings 15 00068 g007
Figure 8. TG curve of different hydrotalcite composite epoxy resin materials (a), carbon residue at 600 °C (b) and DTG curve (c).
Figure 8. TG curve of different hydrotalcite composite epoxy resin materials (a), carbon residue at 600 °C (b) and DTG curve (c).
Coatings 15 00068 g008
Figure 9. TG-IR 3D diagram of pure EP (a), MgAl-LDH/EP (b), C-2/EP (c) C-4/EP (d), C-5/EP (e) and C-7/EP (f).
Figure 9. TG-IR 3D diagram of pure EP (a), MgAl-LDH/EP (b), C-2/EP (c) C-4/EP (d), C-5/EP (e) and C-7/EP (f).
Coatings 15 00068 g009
Figure 10. FT-IR of volatile products of composites at maximum thermal decomposition rate.
Figure 10. FT-IR of volatile products of composites at maximum thermal decomposition rate.
Coatings 15 00068 g010
Figure 11. Smoke density–time curve (a) and smoke density rating (SDR) (b) of EP composites.
Figure 11. Smoke density–time curve (a) and smoke density rating (SDR) (b) of EP composites.
Coatings 15 00068 g011
Figure 12. Carbon residue image of pure epoxy resin (a), MgAl-LDH/EP (b),C-5/EP (c) and b-CeO2/EP (d).
Figure 12. Carbon residue image of pure epoxy resin (a), MgAl-LDH/EP (b),C-5/EP (c) and b-CeO2/EP (d).
Coatings 15 00068 g012
Figure 13. SEM images of pure epoxy resin cross-section (a), epoxy composite cross-section (b), carbon residue surface of b-CeO2/EP (c), cross-section of b-CeO2/EP after combustion (d), carbon residue surface of MgAl-LDH/EP (e), and carbon residue surface of MgAlCe-LDH/EP (f).
Figure 13. SEM images of pure epoxy resin cross-section (a), epoxy composite cross-section (b), carbon residue surface of b-CeO2/EP (c), cross-section of b-CeO2/EP after combustion (d), carbon residue surface of MgAl-LDH/EP (e), and carbon residue surface of MgAlCe-LDH/EP (f).
Coatings 15 00068 g013
Table 1. Sample number and molar ratio of metal ions.
Table 1. Sample number and molar ratio of metal ions.
Sample NumberMg2+:Al3+Ce3+:Al3+
MgAl-LDH3:20
C-175:491:49
C-260:391:39
C-345:291:29
C-430:191:19
C-515:91:9
C-615:82:8
C-79:42:4
C-83:11:1
C-99:24:2
Table 2. Preparation formulations of different EP composites.
Table 2. Preparation formulations of different EP composites.
SamplesEP (g)Curing Agent (g)LDH (g)
Pure EP1640
MgAl-LDH/EP1641.5
C-2/EP1641.5
C-4/EP1641.5
C-5/EP1641.5
C-7/EP1641.5
Table 3. Angle and interlayer spacing of peak 003 in MgAl-LDH and MgAlCe-LDH.
Table 3. Angle and interlayer spacing of peak 003 in MgAl-LDH and MgAlCe-LDH.
Sample Code2 Theta (°)d (003) (Å)
MgAl-LDH11.2807.8378
C-111.2797.8383
C-211.2537.8566
C-311.2407.8655
C-411.2207.8796
C-511.2007.8937
C-611.1917.9000
C-711.1617.9214
C-811.0418.0068
C-910.9418.0798
Table 4. IR peak location data of MgAl-LDH and C-5 sample.
Table 4. IR peak location data of MgAl-LDH and C-5 sample.
MgAl-LDHC-5
ν-OH3450.833456.96
ν-MO546.26541.79
Table 5. Thermal degradation behavior of different LDHs.
Table 5. Thermal degradation behavior of different LDHs.
Sample CodeTmax1 (°C)Tmax2 (°C)Residue Rate (%)
MgAl-LDH4832755.49
C-210732660.06
C-511834170.59
C-89333381.49
Table 6. Thermal degradation behavior of different hydrotalcite composite EP materials.
Table 6. Thermal degradation behavior of different hydrotalcite composite EP materials.
SampleT5% (°C)T50% (°C)Tmax1% (°C)Tmax2% (°C)
Pure EP166.60406.90365.00433.00
MgAl-LDH/EP282.14439.45371.58454.23
C-2/EP187.44413.79390.76455.64
C-4/EP188.42420.56373.11455.64
C-5/EP187.56420.39377.46460.11
C-7/EP201.43421.37379.90454.23
Table 7. LOI test results of pure EP and different epoxy composites.
Table 7. LOI test results of pure EP and different epoxy composites.
Sample CodeLOI (%)
Pure EP20.3
C-4/EP21.5
C-5/EP22.2
b-CeO2/EP22.9
Disclaimer/Publisher’s Note: The statements, opinions and data contained in all publications are solely those of the individual author(s) and contributor(s) and not of MDPI and/or the editor(s). MDPI and/or the editor(s) disclaim responsibility for any injury to people or property resulting from any ideas, methods, instructions or products referred to in the content.

Share and Cite

MDPI and ACS Style

Li, Y.; Shen, G.; Liu, M.; Wang, Z.; Gong, Y.; Ma, Y.; Ji, D.; Li, J.; Yang, M.; Wang, Q. Study on Preparation and Flame-Retardant Mechanism of Cerium-Doped Mg-Al Hydrotalcite. Coatings 2025, 15, 68. https://doi.org/10.3390/coatings15010068

AMA Style

Li Y, Shen G, Liu M, Wang Z, Gong Y, Ma Y, Ji D, Li J, Yang M, Wang Q. Study on Preparation and Flame-Retardant Mechanism of Cerium-Doped Mg-Al Hydrotalcite. Coatings. 2025; 15(1):68. https://doi.org/10.3390/coatings15010068

Chicago/Turabian Style

Li, Yanan, Genli Shen, Mi Liu, Zhen Wang, Yan Gong, Yong Ma, Daiyu Ji, Jianqiang Li, Min Yang, and Qi Wang. 2025. "Study on Preparation and Flame-Retardant Mechanism of Cerium-Doped Mg-Al Hydrotalcite" Coatings 15, no. 1: 68. https://doi.org/10.3390/coatings15010068

APA Style

Li, Y., Shen, G., Liu, M., Wang, Z., Gong, Y., Ma, Y., Ji, D., Li, J., Yang, M., & Wang, Q. (2025). Study on Preparation and Flame-Retardant Mechanism of Cerium-Doped Mg-Al Hydrotalcite. Coatings, 15(1), 68. https://doi.org/10.3390/coatings15010068

Note that from the first issue of 2016, this journal uses article numbers instead of page numbers. See further details here.

Article Metrics

Back to TopTop