The Preparation of Polyvinyl Alcohol/Silica Functional Coatings and Their Effect on the Printability of Leather Surfaces
Abstract
1. Introduction
2. Materials and Methods
2.1. Materials
2.2. Instruments
2.3. Preparation of Silica Blend Coating
2.3.1. Preparation Method of Hydrophobic Modified SiO2-APTS
2.3.2. Preparation Method of Polyvinyl Alcohol-Blended Silica Coating
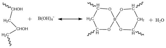
2.3.3. Preparation Method of Polyvinyl Alcohol/Boric Acid Crosslinking and Silica Blend Paint
3. Test and Characterization
3.1. Infrared Analysis (FTIR)
3.2. Contact Angle Test
3.3. Water Resistance Test
3.4. Mechanical Property Test
3.5. Viscosity Test
3.6. Leveling Test
3.7. X-Ray Diffraction (XRD)
3.8. Step Meter Scan
3.9. Leather Surface Patterning Based on Paint Modification
4. Results and Discussion
4.1. Functional Group Analysis of Crosslinked Polyvinyl Alcohol Coatings and Silica Fillers
4.2. Mechanical Properties Test of Crosslinked Polyvinyl Alcohol Coatings
4.3. Effect of Doped SiO2-APTS on the Viscosity and Leveling of Crosslinked Polyvinyl Alcohol Coatings
4.4. Analysis of Water Resistance of Crosslinked Polyvinyl Alcohol Coatings
4.5. Crystallinity Analysis of Polyvinyl Alcohol Coatings Prepared by Crosslinking and Doping
4.6. Analysis of Leather Surface Morphology Modified by Polyvinyl Alcohol Coating
4.7. Patterning of Leather Surfaces Modified with PVA/S-A3.0/BA2.0 Coatings
5. Conclusions
- (1)
- When SiO2-APTS was 3.0 wt%, the physical properties of the obtained coating were stable, and after standing for 48 h, there was no stratification phenomenon, no precipitation of SiO2-APTS, and the hydrophilicity of the PVA coating was effectively reduced.
- (2)
- When BA was 2.0 wt%, the obtained crosslinked coating viscosity was 1010 mPs. When BA exceeded 2.0 wt%, the viscosity of the coating increased sharply, and when the viscosity was as high as 2050~4450 mPs, the flow level decreased sharply, the fluidity became poor, and a uniform coating could not be applied.
- (3)
- For the preparation of PVA-based coatings, a crosslinking agent concentration of 2.0 wt% BA and a filler concentration of 3.0 wt% SiO2-APTS were employed. The resulting coating demonstrated a water absorption rate of 8.80%, and a water solubility rate of 1.20%. These findings indicate that the water absorption and swelling properties of the PVA coating were significantly reduced, while its water resistance was markedly improved. When applied to leather surfaces, the coating effectively mitigated the leather’s strong water absorption, enhancing its surface printability. This improvement facilitated the creation of clear and precise patterns during direct writing and printing on the leather surface.
Author Contributions
Funding
Institutional Review Board Statement
Informed Consent Statement
Data Availability Statement
Conflicts of Interest
References
- Jia, L.; Zeng, S.; Ding, H.; Smith, A.T.; LaChance, A.M.; Farooqui, M.M.; Gao, D.; Ma, J.; Sun, L. Leather-Based Multi-Stimuli Responsive Chromisms. Adv. Funct. Mater. 2021, 31, 2104427. [Google Scholar] [CrossRef]
- Gao, S.; Yu, L. Analysis of Identification of 6 Unconventional Animal Leather Types. China Leather 2024, 53, 20–24+28. [Google Scholar]
- Zilberfarb, A.; Cohen, G.; Amir, E. Increasing Functionality of Fish Leather by Chemical Surface Modifications. Polymers 2023, 15, 3904. [Google Scholar] [CrossRef] [PubMed]
- Zhang, J.; Yan, C.; Bao, Y. Preparation and Application of Waterborne Cellulose Acetate/Waterborne Polyurethane Nanocomposite Emulsion Finishing Agent for Leather. Prog. Org. Coat. 2024, 196, 108707. [Google Scholar] [CrossRef]
- Han, Y.; Hu, J.; Xin, Z. Facile Preparation of High Solid Content Waterborne Polyurethane and Its Application in Leather Surface Finishing. Prog. Org. Coat. 2019, 130, 8–16. [Google Scholar] [CrossRef]
- Iuliano, M.; Cirillo, C.; Fierro, F.; Florio, C.; Maffei, G.; Loi, A.; Batakliev, T.; Adami, R.; Sarno, M. Titania Nanoparticles Finishing for Smart Leather Surface. Prog. Org. Coat. 2024, 192, 108457. [Google Scholar] [CrossRef]
- Stanca, M.; Gaidau, C.; Alexe, C.-A.; Stanculescu, I.; Vasilca, S.; Matei, A.; Simion, D.; Constantinescu, R.-R. Multifunctional Leather Surface Design by Using Carbon Nanotube-Based Composites. Materials 2021, 14, 3003. [Google Scholar] [CrossRef] [PubMed]
- Ngwabebhoh, F.A.; Zandraa, O.; Sáha, T.; Stejskal, J.; Trchová, M.; Kopecký, D.; Pfleger, J.; Prokeš, J. In-Situ Coating of Leather with Conducting Polyaniline in Colloidal Dispersion Mode. Synth. Met. 2022, 291, 117191. [Google Scholar] [CrossRef]
- An, W.; Ma, J.Z.; Xu, Q. Bio-Template Synthesis of Mgal Layered Double Hydroxide with Enhanced Flame Retardant Property for Leather Finishes. Appl. Surf. Sci. 2021, 551, 149409. [Google Scholar] [CrossRef]
- Ngwabebhoh, F.A.; Zandraa, O.; Sáha, T.; Stejskal, J.; Kopecký, D.; Trchová, M.; Pfleger, J. Coating of Leather with Dye-Containing Antibacterial and Conducting Polypyrrole. Coatings 2023, 13, 608. [Google Scholar] [CrossRef]
- Marques, S.M.; Carvalho, I.; Leite, T.R.; Henriques, M.; Carvalho, S. Antimicrobial Tin-Ag Coatings in Leather Insole for Diabetic Foot. Materials 2022, 15, 2009. [Google Scholar] [CrossRef]
- Wu, X.; Wu, J.; Mu, C.; Wang, C.; Lin, W. Advances in Antimicrobial Polymer Coatings in the Leather Industry: A Comprehensive Review. Ind. Eng. Chem. Res. 2021, 60, 15004–15018. [Google Scholar] [CrossRef]
- Luo, Q.Q.; Gao, H.Q.; Peng, L.H.; Liu, G.Y.; Zhang, Z.C. Synthesis of Pegylated Chitosan Copolymers as Efficiently Antimicrobial Coatings for Leather. J. Appl. Polym. Sci. 2016, 133, 43465. [Google Scholar] [CrossRef]
- Carvalho, I.; Lima, M.J.; Nobre, D.; Marques, S.M.; Castro, D.; Leite, T.R.; Henriques, M.; Duarte, F.; Ramalho, A.; Carvalho, S. Silver Oxide Coatings Deposited on Leathers to Prevent Diabetic Foot Infections. Surf. Coat. Technol. 2022, 442, 128338. [Google Scholar] [CrossRef]
- Fierro, F.; Iuliano, M.; Cirillo, C.; Florio, C.; Maffei, G.; Loi, A.; Batakliev, T.; Adami, R.; Sarno, M. Multifunctional Leather Finishing Vs. Applications, through the Addition of Well-Dispersed Flower-like Nanoparticles. Sci. Rep. 2024, 14, 2163. [Google Scholar] [CrossRef]
- Xu, Q.; Bai, Z.; Ma, J.; Yang, Y.; Huang, M. Zein–Sodium Alginate Based Microcapsules for Essence Controlled Releasing Coating as Leather Finishes. J. Ind. Eng. Chem. 2021, 100, 204–211. [Google Scholar] [CrossRef]
- Liang, F.; Wang, T.; Fan, H.; Xiang, J.; Chen, Y. A Leather Coating with Self-Healing Characteristics. J. Leather Sci. Eng. 2020, 2, 5. [Google Scholar] [CrossRef]
- Goudarzi, A.; Soleimani-Gorgani, A.; Avinc, O. Generation of Flexible Multifunctional Electronic Textile Displaying Appropriate Fastness Properties Utilizing Single-Stage Inkjet Printing onto Cotton Fabric Pre-Treated with Pvc. Fibers Polym. 2023, 24, 555–573. [Google Scholar] [CrossRef]
- Liu, Y.Y.; Xue, B.L.; Liu, X.J.; Liang, S.H.; Nie, J.J.; Zhou, Y.L.; Chen, L.H.; Liu, P.Q.; Zhang, S.C.; Zhu, J.D.; et al. Study on Photocrosslinking Self-Plasticized Polyvinyl Alcohol Photosensitive Film. Prog. Org. Coat. 2024, 189, 108203. [Google Scholar] [CrossRef]
- Beraldo, C.H.; Spinelli, A.; Scharnagl, N.; da Conceiçao, T.F. Phosphorylated Pva Coatings for Corrosion Protection of Mg Az31 Alloy. J. Coat. Technol. Res. 2024, 21, 243–253. [Google Scholar] [CrossRef]
- Zhang, S.; Xu, J. Multifunctional Metallic Cotton Fabric: Effect of Coating Methods and Pva Pretreatment. J. Mater. Sci. Mater. Electron. 2022, 33, 20257–20270. [Google Scholar]
- Wang, M.Q.; Cheng, X.; Jiang, G.J.; Xie, J.Y.; Cai, W.B.; Li, J.D.; Wang, Y.J. Preparation and Pervaporation Performance of Pva Membrane with Biomimetic Modified Silica Nanoparticles as Coating. J. Membr. Sci. 2022, 653, 120535. [Google Scholar] [CrossRef]
- Jeon, I.K.; Qudoos, A.; Lee, H.; Kim, H.G. Effect of Pva/Pvac Based Polymer Coating on Dust Reduction in Playground. Appl. Sci. 2021, 11, 3144. [Google Scholar] [CrossRef]
- Kucińska-Lipka, J. Polyurethanes Crosslinked with Poly(Vinyl Alcohol) as a Slowly-Degradable and Hydrophilic Materials of Potential Use in Regenerative Medicine. Materials 2018, 11, 352. [Google Scholar] [CrossRef]
- Aslam, M.; Kalyar, M.A.; Raza, Z.A. Polyvinyl Alcohol: A Review of Research Status and Use of Polyvinyl Alcohol Based Nanocomposites. Polym. Eng. Sci. 2018, 58, 2119–2132. [Google Scholar] [CrossRef]
- Wu, G.; Yang, Y.; Lei, Y.; Fu, D.; Li, Y.; Zhan, Y.; Zhen, J.; Teng, M. Hydrophilic Nano-Sio2/Pva-Based Coating with Durable Antifogging Properties. J. Coat. Technol. Res. 2020, 17, 1145–1155. [Google Scholar] [CrossRef]
- Xu, Y. Study on Hydrophilic and Hydrophobic Surface Modification and Properties of Polyethylene. Master’s Thesis, Guizhou University, Guiyang China, 2023. [Google Scholar]
- Lim, M.; Kwon, H.; Kim, D.; Seo, J.; Han, H.; Khan, S.B. Highly-Enhanced Water Resistant and Oxygen Barrier Properties of Cross-Linked Poly(Vinyl Alcohol) Hybrid Films for Packaging Applications. Prog. Org. Coat. 2015, 85, 68–75. [Google Scholar] [CrossRef]
- Zhang, J.D.; Zhang, L.; Li, C.Z. Modified Tio@Graphene Oxide and Montmorillonite Synergistically Enhanced Multifunctional Nanocomposite Films. Polym. Compos. 2021, 42, 2511–2522. [Google Scholar] [CrossRef]
- Wang, N.; Zhao, L.; Zhang, C.; Li, L. Water States and Thermal Processability of Boric Acid Modified Poly(Vinyl Alcohol). J. Appl. Polym. Sci. 2015, 133, 43246. [Google Scholar] [CrossRef]
- JB/T 3998-1999; Test Method for Leveling Characteristics of Paints by Draw-Down Method. Chinese Mechanical Industry Standard: Beijing, China, 1999.
- GB/T 36598-2018; Digital Printing—Test Method for Image Quality Attribute of Inkjet Printing. Chinese National Standard: Beijing, China, 2018.












Disclaimer/Publisher’s Note: The statements, opinions and data contained in all publications are solely those of the individual author(s) and contributor(s) and not of MDPI and/or the editor(s). MDPI and/or the editor(s) disclaim responsibility for any injury to people or property resulting from any ideas, methods, instructions or products referred to in the content. |
© 2025 by the authors. Licensee MDPI, Basel, Switzerland. This article is an open access article distributed under the terms and conditions of the Creative Commons Attribution (CC BY) license (https://creativecommons.org/licenses/by/4.0/).
Share and Cite
Chu, F.; Dong, H.; Chao, J.; Wang, S.; Sun, B.; Huang, Q. The Preparation of Polyvinyl Alcohol/Silica Functional Coatings and Their Effect on the Printability of Leather Surfaces. Coatings 2025, 15, 48. https://doi.org/10.3390/coatings15010048
Chu F, Dong H, Chao J, Wang S, Sun B, Huang Q. The Preparation of Polyvinyl Alcohol/Silica Functional Coatings and Their Effect on the Printability of Leather Surfaces. Coatings. 2025; 15(1):48. https://doi.org/10.3390/coatings15010048
Chicago/Turabian StyleChu, Fuqiang, Hang Dong, Jilei Chao, Shuo Wang, Bing Sun, and Qiqi Huang. 2025. "The Preparation of Polyvinyl Alcohol/Silica Functional Coatings and Their Effect on the Printability of Leather Surfaces" Coatings 15, no. 1: 48. https://doi.org/10.3390/coatings15010048
APA StyleChu, F., Dong, H., Chao, J., Wang, S., Sun, B., & Huang, Q. (2025). The Preparation of Polyvinyl Alcohol/Silica Functional Coatings and Their Effect on the Printability of Leather Surfaces. Coatings, 15(1), 48. https://doi.org/10.3390/coatings15010048
