An Experimental Study on the Shear Performance of a CFRP–Steel Composite Component Bushing Bolt Connection
Abstract
1. Introduction
2. Materials and Methods
2.1. Specimen Preparation
2.2. Mechanical Test (Static Tensile Test, Hysteretic Test)
3. Analysis of Monotonic Load Test Results
3.1. Load–Displacement Response Analysis
3.2. Component Failure Mode
4. Analysis of Test Results Under Cyclic Loading
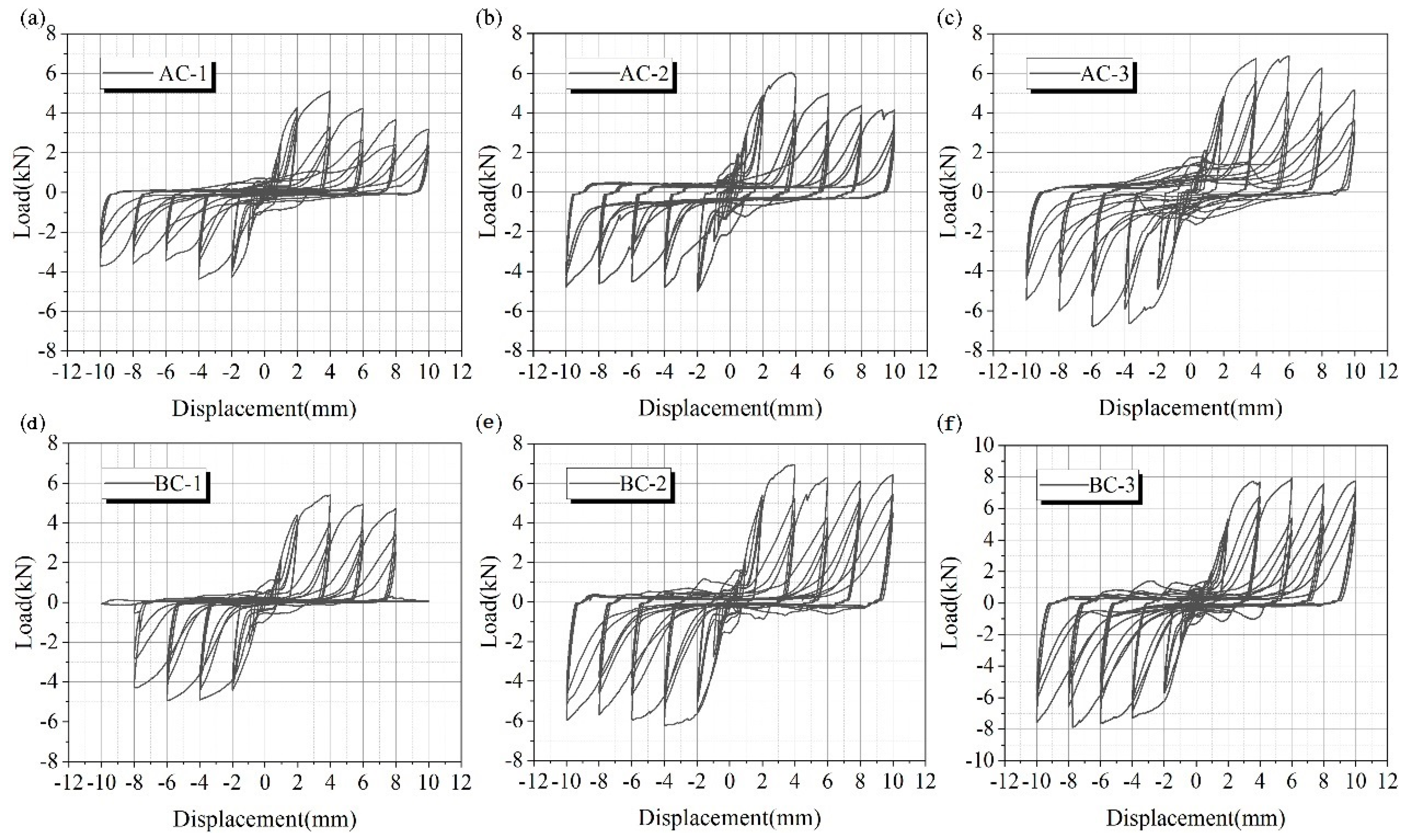
4.1. Hysteretic Response Analysis
4.2. Component Failure Mode
4.3. Strength Degradation
4.4. Stiffness Degradation
5. Conclusions
- (1)
- The primary failure mechanism observed in CFRP–steel bushing bolt connections subjected to both monotonic and cyclic loading is the embedding of the bolt caps into the composite plate, accompanied by a torn appearance at the fracture surface. In the hysteresis tests, the components featuring a steel plate thickness of 1.5 mm and a bolt diameter of 4 mm exhibit bolt shear failure.
- (2)
- In the tensile tests, the shear resistance of the members improves as the thickness of the steel plate and bolt diameter increases. With a 1.0 mm thick steel plate, the ultimate load between the M4, M5, and M6 bolts increases by 5.82% and 39.90%, respectively. For a 1.5 mm thick steel plate, the increases are 28.94% and 16.38%. Comparing the same bolt diameters, the ultimate load for the 1.5 mm thick plate shows increases of 5.82%, 24.64%, and 3.68% over the 1.0 mm thick plate.
- (3)
- In the hysteresis tests, the performance of the components improves as both the steel plate thickness and bolt diameter increase. For a steel plate thickness of 1.0 mm, the ultimate loads for the M4, M5, and M6 bolts increase by 17.98% and 14.22%, respectively. With a 1.5 mm thick steel plate, the increases are 28.21% and 14.46%. Additionally, under the same bolt diameter conditions, the ultimate load of the 1.5 mm thick plate increases by 6.10%, 15.31%, and 15.54% compared to the 1.0 mm thick plate.
- (4)
- Under cyclic loading, all components experience significant reductions in strength and stiffness. The reductions are more pronounced during positive loading phases, with strength and stiffness eventually dropping to approximately 55% and 40% of their initial values, respectively. Increasing the plate thickness and bolt diameter has similar effects on strength and stiffness degradation, and in combination, an increase in plate thickness is preferred to improve the shear resistance of the member.
Author Contributions
Funding
Institutional Review Board Statement
Informed Consent Statement
Data Availability Statement
Conflicts of Interest
References
- Hong, J.; Xu, P. Electromagnetic Interference Shielding Anisotropy of Unidirectional CFRP Composites. Materials 2021, 14, 1907. [Google Scholar] [CrossRef] [PubMed]
- Melinda, A.P.; Higuchi, S.; Yoresta, F.S.; Yamazaki, Y.; Nhut, P.V.; Nuryanti, P.; Matsumoto, Y. Bending performance of laminated veneer lumber timber beams strengthened in the compression side with near-surface mounted CFRP plates. Case Stud. Constr. Mater. 2024, 21, e03418. [Google Scholar] [CrossRef]
- Duan, Z.; Liu, G.; Fan, X.; Chen, T. Study on cutting force performance and cutting mechanism of Carbon Fibre Reinforced Polymer (CFRP) composites. JAMDSM 2021, 15, JAMDSM0037. [Google Scholar] [CrossRef]
- Xiang, X.; Xiao, C.; Lu, G.; Xie, Y.M.; Yang, H.; Zhang, J.; San Ha, N. Novel interaction effects enhance specific energy absorption in foam-filled CFRP tapered tubes. Compos. Struct. 2024, 343, 118288. [Google Scholar] [CrossRef]
- Doroudi, Y.; Fernando, D.; Hosseini, A.; Ghafoori, E. Behavior of cracked steel plates strengthened with adhesively bonded CFRP laminates under fatigue Loading: Experimental and analytical study. Compos. Struct. 2021, 266, 113816. [Google Scholar] [CrossRef]
- Li, Y.; Li, C.; He, J.; Gao, Y.; Hu, Z. Effect of functionalized nano-SiO2 addition on bond behaviour of adhesively bonded CFRP-steel double-lap joint. Constr. Build. Mater. 2020, 244, 118400. [Google Scholar] [CrossRef]
- He, J.; Xian, G.; Zhang, Y.X. Effect of moderately elevated temperatures on bond behaviour of CFRP-to-steel bonded joints using different adhesives. Constr. Build. Mater. 2020, 241, 118057. [Google Scholar] [CrossRef]
- Colombi, P.; Fava, G. Fatigue behaviour of tensile steel/CFRP joints. Compos. Struct. 2012, 94, 2407–2417. [Google Scholar] [CrossRef]
- Koord, J.; Hühne, C. Bolt-bearing behaviour of hybrid CFRP-steel laminates at low temperature. J. Compos. Mater. 2024, 58, 2443–2455. [Google Scholar] [CrossRef]
- Mumtaz, Y.; Shimozato, T.; Yamashita, S. A study on effective rehabilitation method of shear buckling strength by CFRP in steel girder. Structures 2023, 56, 105008. [Google Scholar] [CrossRef]
- Al-Salih, H.; Bennett, C.; Matamoros, A. Evaluation of novel combined CFRP-steel retrofit for repairing distortion-induced fatigue. J. Constr. Steel Res. 2021, 182, 106642. [Google Scholar] [CrossRef]
- Wang, Z.-Y.; Zhang, N.; Wang, Q.-Y. Tensile behaviour of open-hole and bolted steel plates reinforced by CFRP strips. Compos. Part B Eng. 2016, 100, 101–113. [Google Scholar] [CrossRef]
- Amraei, M.; Zhao, X.-L.; Björk, T.; Heidarpour, A. Bond characteristics between high/ultra-high-strength steel and ultra-high modulus CFRP laminates. Eng. Struct. 2020, 205, 110094. [Google Scholar] [CrossRef]
- Batuwitage, C.; Fawzia, S.; Thambiratnam, D.; Al-Mahaidi, R. Evaluation of bond properties of degraded CFRP-strengthened double strap joints. Compos. Struct. 2017, 173, 144–155. [Google Scholar] [CrossRef]
- Zhang, Z.-X.; Xu, S.-H.; Mu, L.; Peng, S.-Y. Experimental and Theoretical Investigation on Flexural Behavior of Corroded Steel Beams Strengthened by CFRP Plate. KSCE J. Civ. Eng. 2020, 24, 2160–2172. [Google Scholar] [CrossRef]
- Nhut, P.V.; Matsumoto, Y. Experimental analytical and theoretical investigations of CFRP strengthened thin-walled steel plates under shear loads. Thin-Walled Struct. 2020, 155, 106908. [Google Scholar] [CrossRef]
- Hu, L.; Feng, P. Prestressed CFRP-reinforced steel columns under axial and eccentric compression. Compos. Struct. 2021, 268, 113940. [Google Scholar] [CrossRef]
- Song, S.; Wang, G.; Min, X.; Duan, N.; Tu, Y. Experimental study on the cyclic response of concrete frames reinforced by Steel-CFRP hybrid reinforcement. J. Build. Eng. 2021, 34, 101937. [Google Scholar] [CrossRef]
- Szewczak, I.; Rozylo, P.; Rzeszut, K. Influence of Mechanical Properties of Steel and CFRP Tapes on the Effectiveness of Strengthening Thin-Walled Beams. Materials 2021, 14, 2388. [Google Scholar] [CrossRef] [PubMed]
- Sagiroglu, M.; Maali, M.; Kar, M.; Bilen, M. Bugra Cold-Formed Steel Beam-to-Column Screw Connections Exposed to High Temperatures Reinforced with CFRP. Iran. J. Sci. Technol. Trans. Civ. Eng. 2023, 47, 1941–1957. [Google Scholar] [CrossRef]
- El-Sisi, A.E.D.; Sallam, H.E.D.; Salim, H.A.; El-Husseiny, O.M. Structural behaviour of hybrid CFRP/steel bolted staggered joints. Constr. Build. Mater. 2018, 190, 1192–1207. [Google Scholar] [CrossRef]
- Yu, J.-G.; Zhu, S.-Q.; Feng, X.-T. Seismic behaviour of CFRP-steel composite plate shear wall with edge reinforcement. J. Constr. Steel Res. 2023, 203, 107816. [Google Scholar] [CrossRef]
- Zheng, Y.; Zhang, C.; Tie, Y.; Wang, X.; Li, M. Tensile properties analysis of CFRP-titanium plate multi-bolt hybrid joints. Chin. J. Aeronaut. 2022, 35, 464–474. [Google Scholar] [CrossRef]
- Xu, W.; Wang, D. Static and dynamic impact performance optimization of CFRP/Al bolt joint coupling structure–lay-up–connection parameters. Archiv. Civ. Mech. Eng. 2022, 22, 118. [Google Scholar] [CrossRef]
- Wemming, H.; Lindström, S.B.; Johansson, L.; Kapidžić, Z. Modelling and experimental parameter identification for fasteners in composite–aluminium bolted structures. Compos. Struct. 2023, 323, 117464. [Google Scholar] [CrossRef]
- Kapidžić, Z. Comparison of fatigue life and flexibility between aluminium-composite and aluminium–aluminium bolted joints. Int. J. Fatigue 2022, 157, 106695. [Google Scholar] [CrossRef]
- Zhang, M.; Cao, Z.; Zheng, G.; Zuo, D.; Guo, C.; Wang, Y. Quasi-static tensile failure mechanism analysis of CFRP/Al countersunk electromagnetic riveted joints with different rivet-hole clearances. Eng. Fail. Anal. 2024, 155, 107759. [Google Scholar] [CrossRef]
- Shan, M.; Zhao, L.; Liu, F.; Qi, D.; Zhang, J. Revealing the competitive fatigue failure behaviour of CFRP-aluminum two-bolt, double-lap joints. Compos. Struct. 2020, 244, 112166. [Google Scholar] [CrossRef]
- Xu, G.; Cheng, H.; Zhang, K.; Liang, B.; Cheng, Y.; Hu, J.; Liu, C. Modeling of damage behaviour of carbon fibre reinforced plastic composites interference bolting with sleeve. Mater. Des. 2020, 194, 108904. [Google Scholar] [CrossRef]
- Raju, K.P.; Bodjona, K.; Lim, G.-H.; Lessard, L. Improving load sharing in hybrid bonded/bolted composite joints using an interference-fit bolt. Compos. Struct. 2016, 149, 329–338. [Google Scholar] [CrossRef]
- Xu, Z.; Guo, X.; Zhao, Y. Experimental and theoretical study on axial stiffness of CFRP-bolted timber joints with slotted-in corrugated steel plates. Constr. Build. Mater. 2024, 416, 135001. [Google Scholar] [CrossRef]
- ASTM D 5961/5961M-17; Standard Test Method for Bearing Response of Polymer Matrix Composite Laminates. ASTM International: West Conshohocken, PA, USA, 2017.
- Wang, D.; Zhu, Y.; Wang, B.; Xiang, M.; Song, C. Effect of Bushing Structure on Mechanical Properties and Failure Mechanism of CFRP Laminated Titanium Nail Riveting. Coatings 2024, 14, 1076. [Google Scholar] [CrossRef]
- ASTM D1761-12; Standard Test Method for Mechanical Fasteners in Wood. ASTM International: West Conshohocken, PA, USA, 2012.
- ISO 16670; Timber Structures-Joints Made with Mechanical Fasteners-Quasi-Static Reversed-Cyclic Test Method. The International Organization for Standardization: Geneva, Switzerland, 2003.
- Su, L.; Shi, J. Displacement-based earthquake loss assessment methodology for RC frames infilled with masonry panels. Eng. Struct. 2013, 48, 430–441. [Google Scholar] [CrossRef]
- Tjhin, T.N.; Aschheim, M.A.; Wallace, J.W. Yield displacement-based seismic design of RC wall buildings. Eng. Struct. 2007, 29, 2946–2959. [Google Scholar] [CrossRef]
- Su, H.; Deng, K.; Yang, D.; Zhan, X.; Xie, Z.; Qin, J.; Ma, L. Performance and failure analysis of perforated CFRP/aluminium alloy bonding and self-piercing riveting hybrid joints. Eng. Fail. Anal. 2024, 156, 107803. [Google Scholar] [CrossRef]
- Suo, H.; Deng, K.; Zhang, K.; Cheng, H.; Liang, B.; Li, H.; Luo, B. Static/fatigue response and degradation behaviors of CFRP/Ti bolted joints under salt-fog and ultraviolet synergistic marine environment. Thin-Walled Struct. 2024, 203, 112251. [Google Scholar] [CrossRef]
- Liu, X.; Bi, Z.; Hu, J.; Hao, H.; Lin, Z.; Li, H.; Xie, Y.; Zhao, K.; Jing, Y.; Yang, G. Bolted shear connectors in steel–concrete composite structures: Shear behavior. Structures 2023, 58, 105524. [Google Scholar] [CrossRef]
- Li, G.; Lyu, Y.; Wang, Y. State-of-the-art on resistance of bearing-type bolted connections in high strength steel. Front. Struct. Civ. Eng. 2020, 14, 569–585. [Google Scholar] [CrossRef]
- Liu, K.; Liu, Y.; Sabbrojjaman, M.; Tafsirojjaman, T. Effect of bolt size on the bearing strength of bolt-connected orthotropic CFRP laminate. Polym. Test. 2023, 118, 107894. [Google Scholar] [CrossRef]
- Xu, Q.; Sebastian, W.; Lu, K.; Yao, Y.; Wang, J. Longitudinal shear performance of lightweight steel-UHPC composite connections based on large-diameter high strength friction-grip bolts. Eng. Struct. 2022, 260, 114220. [Google Scholar] [CrossRef]
- Jiang, L.; Yang, L.; Yang, B.; Liao, Z.; Xiao, S.; Xiong, H. Fatigue properties and damage evolution of CFRP/Al bolted joint under high load level using micro-CT technology. Int. J. Fatigue 2024, 185, 108360. [Google Scholar] [CrossRef]
- Dong, S.; Liao, W.; Zheng, K.; Xue, F.; Sun, L. Hole surface strengthening mechanism and riveting fatigue life of CFRP/aluminum stacks in robotic rotary ultrasonic drilling. Chin. J. Aeronaut. 2023, 36, 471–484. [Google Scholar] [CrossRef]
- Wang, C.; Liu, J.; Lu, B.; Zhang, Y.; Ma, Z. Stiffness degradation and mechanical behavior of microfiber-modified high-toughness recycled aggregate concrete under constant load cycling. Eng. Fract. Mech. 2024, 312, 110608. [Google Scholar] [CrossRef]
















| Number | Test Mode | Bushing Bolt Diameter/mm | Steel Plate Thickness/mm |
|---|---|---|---|
| A-1 | Static tensile test | 4.6 | 1.0 |
| A-2 | 5.6 | ||
| A-3 | 6.6 | ||
| B-1 | 4.6 | 1.5 | |
| B-2 | 5.6 | ||
| B-3 | 6.6 | ||
| AC-1 | Hysteretic test | 4.6 | 1.0 |
| AC-2 | 5.6 | ||
| AC-3 | 6.6 | ||
| BC-1 | 4.6 | 1.5 | |
| BC-2 | 5.6 | ||
| BC-3 | 6.6 |
| Number | Pmax/kN | ∆u/mm | Py/kN | ∆y/mm |
|---|---|---|---|---|
| A-1 | 5.26 | 7.20 | 4.53 | 2.22 |
| A-2 | 5.56 | 10.31 | 4.52 | 3.45 |
| A-3 | 7.78 | 8.56 | 6.47 | 3.39 |
| B-1 | 5.38 | 6.06 | 4.76 | 2.65 |
| B-2 | 6.93 | 6.30 | 6.18 | 3.05 |
| B-3 | 8.07 | 7.29 | 7.13 | 3.39 |
| Number | Pmax,+/kN | Pmax,−/kN | ∆u,+/mm | ∆u,−/mm |
|---|---|---|---|---|
| AC-1 | 5.095 | −4.372 | 5.981 | −5.994 |
| AC-2 | 6.011 | −4.992 | 7.998 | −5.995 |
| AC-3 | 6.866 | −6.817 | 9.926 | −9.997 |
| BC-1 | 5.406 | −4.936 | 7.964 | −7.954 |
| BC-2 | 6.931 | −6.235 | 9.953 | −9.997 |
| BC-3 | 7.933 | −8.017 | 9.993 | −9.963 |
Disclaimer/Publisher’s Note: The statements, opinions and data contained in all publications are solely those of the individual author(s) and contributor(s) and not of MDPI and/or the editor(s). MDPI and/or the editor(s) disclaim responsibility for any injury to people or property resulting from any ideas, methods, instructions or products referred to in the content. |
© 2025 by the authors. Licensee MDPI, Basel, Switzerland. This article is an open access article distributed under the terms and conditions of the Creative Commons Attribution (CC BY) license (https://creativecommons.org/licenses/by/4.0/).
Share and Cite
Guo, B.; Luo, G.; Wang, Z.; Wang, D.; Zhang, Q.; Zhang, L.; Wang, X. An Experimental Study on the Shear Performance of a CFRP–Steel Composite Component Bushing Bolt Connection. Coatings 2025, 15, 35. https://doi.org/10.3390/coatings15010035
Guo B, Luo G, Wang Z, Wang D, Zhang Q, Zhang L, Wang X. An Experimental Study on the Shear Performance of a CFRP–Steel Composite Component Bushing Bolt Connection. Coatings. 2025; 15(1):35. https://doi.org/10.3390/coatings15010035
Chicago/Turabian StyleGuo, Bing, Guangxin Luo, Ziyu Wang, Deyi Wang, Qun Zhang, Longbo Zhang, and Xingxing Wang. 2025. "An Experimental Study on the Shear Performance of a CFRP–Steel Composite Component Bushing Bolt Connection" Coatings 15, no. 1: 35. https://doi.org/10.3390/coatings15010035
APA StyleGuo, B., Luo, G., Wang, Z., Wang, D., Zhang, Q., Zhang, L., & Wang, X. (2025). An Experimental Study on the Shear Performance of a CFRP–Steel Composite Component Bushing Bolt Connection. Coatings, 15(1), 35. https://doi.org/10.3390/coatings15010035
