Next Article in Journal
A Comparative Study on Corrosion and Tribocorrosion Behaviors of NiCoCrAlY High-Entropy Alloy Coatings and M50 Steel
Previous Article in Journal
Research on the Relationship Between the Microstructure of Embedded Micro-Agglomerated Particle TBCs and Their Sintering Resistance Based on a Data-Mechanism Hybrid Driving Model
 
 
Font Type:
Arial Georgia Verdana
Font Size:
Aa Aa Aa
Line Spacing:
Column Width:
Background:
Article

Preparation of Corncob Biochar Film and Its Efficiency in Removing Cr(VI) in Wastewater

1
School of Food Engineering, Harbin University of Commerce, Harbin 150028, China
2
School of Light Industry, Harbin University of Commerce, Harbin 150028, China
*
Authors to whom correspondence should be addressed.
Coatings 2025, 15(1), 25; https://doi.org/10.3390/coatings15010025
Submission received: 18 November 2024 / Revised: 28 December 2024 / Accepted: 30 December 2024 / Published: 31 December 2024

Abstract

With the advancement of China’s agricultural modernization and scientific and technological progress, there has been a substantial increase in corn production, resulting in significant agricultural waste of materials such as corncobs. Conventional incineration methods fail to efficiently utilize the recyclable resources present in corncobs. In this investigation, corncob biochar film (CBC) was synthesized through the pyrolysis of corncob. Single-factor and orthogonal experiments were used to determine the conditions needed to prepare biochar film with the best Cr(VI) adsorption effect. The experiments showed that at a heating rate of 5 °C/min, pyrolysis temperature of 500 °C and pyrolysis time of 120 min, the Cr(VI) removal rate of prepared biochar film reached 73.55% and the adsorption capacity was 18.39 mg/g. Meanwhile, the factors affecting the removal of Cr(VI), including pH value, initial concentration of Cr(VI) solution, dosage of adsorbent, adsorption kinetics and isothermal adsorption, were analyzed in detail. The structures of CBC before and after Cr(VI) adsorption were analyzed by SEM, FTIR, XRD, XPS, and BET. These findings demonstrate the efficacy of corncob biochar film in Cr(VI) removal.

1. Introduction

The advancement of science and technology in our nation has led to an increase in the level of agricultural modernization, resulting in a rise in the annual output of agricultural products. Corn, as a principal food crop in China, boasts an annual output of approximately 280 million tons, with corncobs, a by-product of corn production, yielding about 56 million tons annually [1,2]. These statistics underscore the substantial scale of agricultural development in China and the abundance of corn resources. Formerly regarded as waste, corncobs now hold significant resource potential [3], offering ample opportunities for the utilization of agricultural waste resources, thereby fostering rural economic growth and enhancing farmers’ income [4,5,6]. Consequently, harnessing and leveraging corncob resources not only enhances resource utilization efficiency but also fosters the sustainable development of the agricultural industry, thereby bolstering rural economic prosperity [7].
Traditionally, due to budget constraints and technological limitations, the prevailing practice has been to stack and incinerate corncobs [8,9]. Although this method is convenient, its adverse environmental impact on the soil and the atmosphere cannot be overlooked. Moreover, the direct return of corncobs to the field or their use as a fuel resource falls short of meeting environmental protection standards. Research indicates that corncobs are rich in carbon elements, polysaccharides, cellulose, lignin, and hemicellulose [10], rendering them suitable for the production of functional biochar film [11]. Presently, common methods for biochar film preparation include pyrolysis, hydrothermal carbonization, and microwave carbonization [12]. Among these, pyrolysis stands out for its simplicity, efficiency, and environmental friendliness, thus enjoying widespread application in biochar film production [13]. Hydrothermal carbonization, characterized by its ease of operation and ability to yield biochar film with an abundant pore structure and high specific surface area, is gaining prominence for its environmental benefits [14,15]. Additionally, the microwave carbonization method offers advantages such as uniform heating, rapidity, and low energy consumption [16,17].
Corncob is often relegated to waste [18,19]. However, this ostensibly discarded material represents a valuable carbonaceous resource that can undergo thermochemical conversion processes to yield biochar film. Biochar film, characterized by high stability and a well-defined pore structure, possesses surface functional groups that render it an exceptional adsorbent, particularly in the treatment of heavy metal-contaminated wastewater [20,21,22]. Chromium (VI), a highly toxic industrial wastewater pollutant, poses significant environmental and human health risks [23,24]. Given the drawbacks of traditional treatment methods, including high costs and secondary pollution, there is an urgent need to develop economically viable, efficient, and sustainable treatment approaches. By repurposing them [25], not only can the utilization scope of corncob be broadened, but a novel approach to agricultural waste recycling can be provided, thereby achieving the dual objectives of waste management and environmental pollution mitigation [26].
The rapid growth of contemporary industries has exacerbated environmental pollution stemming from chromium (Cr) discharge in wastewater [27,28]. This study focuses on the removal of Cr from sewage by preparing corncob biochar film. The influence of pyrolysis parameters on biochar film adsorption performance was investigated [29,30], with discussions on Cr(VI) removal efficiency elucidated by variations in initial Cr(VI) concentration, material dosage, and pH. Characterization techniques such as X-ray diffraction (XRD), scanning electron microscopy (SEM), and X-ray photoelectron spectroscopy (XPS) were employed to analyze samples before and after adsorption, facilitating a deeper understanding of the adsorption mechanism.

2. Materials and Methods

2.1. Preparation of Biochar Film Materials

The main chemicals and reagents are shown in Table 1.
Table 2 lists the main instruments.

2.2. Preparation Method of Corncob Biochar Film

Biochar film is a new type of inorganic film material prepared by high-temperature carbonization in isolated air or in a vacuum. The pyrolysis method stands as a widely employed approach for biochar film preparation, involving the thermal decomposition or carbonization of biomass at elevated temperatures, resulting in a series of physical and chemical transformations. This process typically encompasses pretreatment, drying, pyrolysis or carbonization, cooling, and additional treatment steps. The characteristics and composition of the raw materials significantly influence the quality and properties of the resulting biochar. In this experimental procedure, the corncob is first dried in a blast oven at 60 °C and then placed in a tubular furnace with nitrogen. High-temperature pyrolysis is conducted under varying conditions, including carbonization times (30 min, 60 min, 120 min, 180 min, and 240 min), carbonization temperatures (400 °C, 500 °C, 600 °C, and 700 °C), and heating rates (5 °C/min, 10 °C/min, 20 °C/min, 30 °C/min, and 50 °C/min). Upon completion of pyrolysis and subsequent cooling, the resultant corncob biochar film is retrieved and stored in a drying dish for subsequent use [31].

2.3. Characterization and Principle of Materials

2.3.1. Scanning Electron Microscope (SEM) Determination

In this experiment, the morphology of the samples was observed and analyzed by a Hitachi SU5000 scanning electron microscope, EHT = 20 KV. The sample was dried thoroughly and spray gold was applied before testing began.

2.3.2. Specific Surface Area (BET) and Aperture Analysis

The specific surface area, total pore volume, and average pore diameter of corncob biochar film samples were measured by the nitrogen adsorption–desorption method, and the pore structure was evaluated by analyzing the types of desorption curves. The instrument used was a 3H-2000PS pore structure analyzer with a specific surface area.

2.3.3. X-Ray Diffraction (XRD) Determination

In this experiment, the crystal structure of the material was determined by an X-ray diffractometer. The instrument used was the ARL EQUINOX 100 X-ray diffractometer. The test conditions were as follows: a scanning angle of 5–90° and a scanning speed of 5°/min.

2.3.4. X-Ray Photoelectron Spectroscopy (XPS) Determination

In this experiment, the composition and valence information of the sample elements were determined by X-ray photoelectron spectroscopy. The instrument used was the Thermo Scientific K-Alpha X-ray photoelectron spectrometer. All energy spectra (C1s(C-107C284.8eV)) underwent corrections.

2.3.5. Fourier Infrared Spectroscopy (FTIR) Determination

The structure of the sample was characterized by a PerkinElmer SpectrumTwo infrared spectrometer with a spectral range of 4000–400 cm−1 and a resolution of 0.5 cm−1.

2.4. Adsorption Experiment

2.4.1. Cr(VI) Standard Curve Drawing

The Cr(VI) standard curve was drawn according to the national standard GB7467-87 [32].
(1) Preparation of reagents.
To prepare the Cr(VI) standard solution, potassium dichromate (K2Cr2O7) of 0.2829 ± 0.001 g, with superior purity, is precisely weighed and subsequently dissolved in water to produce a chromium standard storage solution of 100 mg/L concentration. From this stock solution, 5 mL is withdrawn and diluted to 500 mL, yielding a chromium standard solution with a concentration of 1 mg/L.
For the color-developing agent, dibenzoyl dihydrazine (C13H14N4O) is weighed at 2 g and dissolved in 50 mL of acetone, followed by dilution with distilled water to reach a final volume of 100 mL. This solution is stored in a brown bottle at low temperature. Prior to utilization, it is imperative to inspect the color of the solution, as any darkening indicates its unsuitability for use. The reaction between Cr(VI) and C13H14N4O results in the formation of a purple-red compound.
(2) Cr(VI) determination
In a colorimetric tube, 50 mL of distilled water is taken and supplemented with 0.5 mL of sulfuric acid solution (sulfuric acid—distilled water = 1:1) and 0.5 mL of phosphoric acid solution (phosphoric acid—distilled water = 1:1), followed by thorough agitation. Subsequently, 2 mL of the color developer is added, and the solution is vigorously shaken then allowed to stand for 5–10 min. The absorbance is then measured at a wavelength of 540 nm and utilized as a blank test. Prior to testing (with a Cr(VI) concentration < 0.05 mg/L), the sample is diluted to 50 mL, and absorbance is determined in a similar manner. The concentration of Cr(VI) is calculated by subtracting the absorbance value of the blank test and employing the standard curve.
(3) Drawing of standard curves
The Cr(VI) standard solution is added to the 50 mL colorimetric tube in different volumes (0 mL, 1 mL, 2 mL, 5 mL, 10 mL, 20 mL, 30 mL, 40 mL, and 50 mL), diluted to the line, and the absorbance is measured according to the established steps, and then the concentration–absorbance curve is drawn accordingly [33]. Then, subsequent adsorption experiments are conducted. Figure 1 shows the standard curve.

2.4.2. Adsorption Test Method

First, 0.1 g biochar film and 50 mL Cr(VI) solution (50 mg/L, pH = 2) are oscillated in a water bath at 25 °C and 130 r/min for 24 h in the adsorption experiment. After the adsorption, 0.22 μm filter membrane is used for filtering and sampling, and the remaining concentration of Cr(VI) is measured by standard curve to evaluate the adsorption performance of biochar. The adsorption capacity and removal rate are calculated by the initial and residual mass concentrations of Cr(VI). The removal rate R and adsorption capacity Q are calculated according to the Formulas (1) and (2):
R = ( C 0 C t ) C 0 × 100 %
Q = ( C 0 C t ) × V m
Formula:
C0—Cr(VI) initial mass concentration (mg/L);
Ct—Cr(VI) mass concentration at time t (mg/L);
V—solution volume (L);
t—adsorption time (min);
m—the dosage of biochar.

2.5. Adsorption Kinetics Experiment

Next, 0.1 g biochar film is added to 50 mL Cr(VI) solution (50 mg/L). Oscillation is performed for 0 min, 10 min, 30 min, 60 min, 90 min, 120 min, 180 min, 360 min, 540 min, 720 min, and 1440 min in a constant-temperature water bath oscillator at 25 °C, 130 r/min. The absorbance of residual Cr(VI) in the solution is measured by 0.22 μm filter membrane, and the removal rate R and adsorption amount Q are calculated.

2.6. Isothermal Adsorption Experiment

A series of Cr(VI) solutions with concentrations of 10 mg/L, 20 mg/L, 30 mg/L, 40 mg/L, 50 mg/L, 75 mg/L, and 100 mg/L (pH = 2) are prepared and 0.1 g biochar film is added. After shaking for 24 h in a constant-temperature water bath oscillator at 25 °C and 130 r/min, 0.22 μm filter membrane is used for filtering and sampling, and the removal rate R and adsorption capacity Q are calculated.

2.7. Adsorption Cycle Regeneration Experiment

Next, 0.1 g of adsorbent is added to 50 mL Cr(VI) solution (50 mg/L, pH = 2) and oscillated in a constant-temperature water bath oscillator at 25 °C and 130 r/min for 24 h. After saturation adsorption, the adsorbent is placed in 50 mL, 0.1 mol/L NaOH, and shaken under the same conditions to release Cr(VI). After that, the removal experiment of Cr(VI) is carried out with the adsorbent treated by regeneration, and the removal efficiency is measured.

2.8. Data Processing

Microsoft Excel 2019 is used for data processing and Origin is used for mapping. Differences and correlations are analyzed using IBM SPSS Statistics 26.0.

3. Results and Discussion

3.1. Parameter Optimization of Biochar Film Preparation Process

The preparation process parameters examined in this experiment include pyrolysis time, pyrolysis temperature, and heating rate, and the optimum preparation process parameters are determined by factor analysis.

3.1.1. Analysis of Single-Factor Test Results

(1) Influence of pyrolysis time on the removal of Cr(VI) from biochar film.
Figure 2 depicts the impact of pyrolysis time on the efficiency of Cr(VI)’s removal from biochar film. When the heating rate is 5 °C/min and the pyrolysis temperature is 500 °C, the results illustrate that as the pyrolysis time increases, the efficacy of Cr(VI)’s removal from biochar film exhibits a relatively consistent trend. Concurrently, the adsorption capacity remains relatively stable, indicating minimal influence of pyrolysis time within the specified range. In summary, while the initial stages of the experiment show a significant effect of pyrolysis time on Cr(VI) removal, this influence stabilizes over time. This phenomenon may be attributed to alterations in surface functional groups and the stability of the microstructure of biochar film.
(2) Influence of pyrolysis temperature on the removal of Cr(VI) from biochar film.
Figure 3 illustrates the impact of pyrolysis temperature on Cr(VI)’s removal from biochar film. When the heating rate is 5 °C/min and the pyrolysis time is 120 min, the results indicate that pyrolysis temperature has a pronounced influence on both the efficiency and adsorption capacity of Cr(VI) removal. Initially, the removal rate increases, reaching its peak at 500 °C, suggesting optimal conditions for Cr(VI) adsorption onto biochar film. However, as the temperature surpasses this point, the removal rate diminishes, possibly due to detrimental alterations in the biochar film’s microstructure, such as pore collapse or reduction in active sites. Similarly, the adsorption capacity attains its maximum at 500 °C, declining thereafter with rising temperatures. This decline may be attributed to changes in the biochar film’s pore structure and surface functional groups, which impact its Cr(VI) adsorption capacity.
(3) The effect of heating rate on the removal of Cr(VI) from biochar film.
Figure 4 illustrates the impact of heating rate on Cr(VI)’s removal from biochar film. When the pyrolysis temperature is 500 °C and the pyrolysis time is 120 min, the heating rate has a noticeable influence on both the efficiency and adsorption capacity of Cr(VI)’s removal from biochar film. Specifically, lower heating rates correspond to higher Cr(VI) removal rates, with a rapid decline observed as the heating rate increases. Eventually, a stable removal rate is reached at a certain heating rate. This trend suggests that a slower heating rate allows for the formation of pore structures and functional groups within the biochar film that are conducive to Cr(VI) adsorption. Conversely, excessively fast heating rates may impede the pyrolysis reaction within the biochar film, thereby adversely affecting its adsorption performance.
A similar trend in adsorption capacity is evident in Figure 4. Higher adsorption capacities are observed at lower heating rates, while they decrease with increasing heating rates. This suggests that excessive heating rates may disrupt the pore structure of biochar film, thereby diminishing the availability of effective adsorption sites and resulting in decreased adsorption capacity. Consequently, controlling the appropriate heating rate emerges as a crucial factor in enhancing the adsorption performance of biochar film for Cr(VI) removal from wastewater.

3.1.2. Establishment and Analysis of Orthogonal Experiment

Based on the results of single-factor tests, the main factors of pyrolysis temperature, heating rate, and pyrolysis time were identified. Subsequently, a three-factor, three-level orthogonal test was conducted to ascertain the optimal preparation conditions for corncob biochar film, as delineated in Table 3.
According to the orthogonal test data, the significance of the influencing factors was detected by analysis of variance (ANOVA). The orthogonal experimental results and variance analysis of various factors pertaining to the Cr(VI) removal efficiency of CBC are shown in Table 4 and Table 5.
According to the analysis presented in Table 4, the influence of the three factors on the removal rate of Cr(VI) follows the order A > B > C, indicating that the heating rate exerts the greatest influence, followed by pyrolysis temperature and pyrolysis time. The optimal process condition for preparing CBC is identified as A1B2C2, resulting in a removal rate of 74.77%. This condition has been validated through three repeated tests, yielding an average removal rate of 73.55%. Thus, the optimum preparation conditions for CBC are determined as a heating rate of 5 °C/min, pyrolysis temperature of 500 °C, and pyrolysis time of 120 min. According to the results of variance analysis in Table 5, the heating rate and pyrolysis temperature significantly influence the removal of Cr(VI) by CBC, whereas the pyrolysis time demonstrates no significant impact. At the same time, when biochar adsorption Cr(Ⅵ) is repeated three times, the average removal rate is 68.26%. Yu Y [34] showed that the removal rate of Cr(Ⅵ) adsorbed by raw walnut shell biochar was 14.97%. Cheng H [35] synthesized sulfide nano zero-valent iron (S-nZVI) on the surface of corn stalk biochar (BC). The removal rate of Cr(Ⅵ) was 42%. Dai X [36] synthesized activated biochar nanoparticles (AS-BC) using squid ink. The removal rate of Cr(Ⅵ) was 62.1%. The results showed that under the best conditions, the biochar prepared by corncob had strong adsorption capacity and high use value.

3.2. Study on the Cr(VI) Removal Performance of Biochar Film

3.2.1. Exploring the Factors Affecting Cr(VI) Removal Efficiency

The factors affecting the removal of Cr(VI), including the pH value, initial concentration of Cr(VI) solution, dosage of adsorbent, adsorption kinetics, and isothermal adsorption, were analyzed in detail.
(1) The influence of solution pH on the removal of Cr(VI) by CBC.
The concentration of Cr(VI) solution was 50 mg/L, and the pH of the solution was adjusted with HCl and NaOH solutions (the pH gradients were set to 2, 3, 4, 5, 6, 7, 8, and 9). The dosage of adsorbent was 0.1 g.
Figure 5 illustrates the efficiency of Cr(VI) removal by CBC and the adsorption capacity as the pH of the solution varies. A significant decrease in both removal rate and adsorption capacity is observed with increasing pH values. In particular, within the pH range of 2 to 4, a sharp decline in adsorption capacity and removal rate is evident. The peak removal rate and adsorption capacity, reaching 61.36% and 15.34 mg/g, respectively, are attained at pH 2. Subsequently, as the pH increases from 4 to 9, the removal rate and adsorption capacity stabilize. At pH 9, the removal rate diminishes to 18.71% while the adsorption capacity reduces to 4.68 mg/g.
The behavior of Cr(VI) in solution is profoundly influenced by pH. Cr(VI) predominantly exists as H2CrO4, C r 2 O 7 2 , and C r O 4 2 species, which undergo transformations at different pH levels. At pH < 1, H2CrO4 prevails, while C r 2 O 7 2 emerges at 1 < pH < 3 and a transition to C r 2 O 7 2 and C r O 4 2 occurs between pH 3 and 7, contributing to the excellent removal efficacy observed at pH < 3.
Furthermore, under acidic conditions, the surface of CBC may acquire a positive charge, facilitating the attraction of negatively charged C r O 4 2 and C r 2 O 7 2 ions in solution, thereby enhancing their adsorption onto the CBC’s surface. Conversely, in alkaline environments, the surface charge of the CBC may become negative, and the increase in OH ions competes with Cr(VI) for adsorption sites, resulting in reduced adsorption efficiency.
In conclusion, the efficacy of Cr(VI) removal by CBC is highly contingent on solution pH, with optimal performance achieved under acidic conditions. Thus, adjusting the pH of Cr(VI)-containing wastewater to the acidic range is recommended to enhance CBC removal efficiency.
(2) The effect of Cr(VI) initial concentration on the removal of Cr(VI) by CBC.
The solution concentration of Cr(VI) was 10 mg/L, 20 mg/L, 30 mg/L, 40 mg/L, 75 mg/L, 100 mg/L, the pH was 2, and the dosage of adsorbent was 0.1 g.
In Figure 6, as the Cr(VI) concentration gradually increases, distinct trends are observed in the removal rate and adsorption capacity. Specifically, as the concentration of Cr(VI) rises, the removal rate of Cr(VI) by CBC decreases from 97.59% to 35.66%, while the adsorption capacity increases from 4.88 mg/g to 17.83 mg/g. This phenomenon may arise due to sufficient adsorption sites being available at lower concentrations, allowing each Cr(VI) molecule to readily locate adsorption sites. However, as the initial concentration increases, the removal rate begins to decline, suggesting the onset of adsorption site saturation. With a higher initial concentration, the initial driving force for adsorption becomes more pronounced, resulting in an increase in adsorption capacity. Nonetheless, as the Cr(VI) concentration continues to escalate, a limited number of CBC adsorption sites approach or reach saturation, causing a deceleration in the growth trend of adsorption capacity.
(3) The effect of adsorbent dosage on the removal of Cr(VI) by CBC.
The dosage of adsorbents was 0.05 g, 0.1 g, 0.2 g, 0.3 g, and 0.4 g, respectively, the pH was 2, and the concentration of Cr(VI) solution was 50 mg/L.
In Figure 7, as the dosage of CBC increased from 0.05 g to 0.4 g, the removal rate of Cr(VI) increased similarly, eventually plateauing at 97.59%. Notably, a significant increase in the removal rate occurred as the dosage escalated from 0.05 g to 0.3 g. Concurrently, the adsorption capacity of CBC declined as the dosage increased.
This observation suggests that the augmentation of the CBC dosage augments the number of available adsorption sites, thereby enhancing the contact area between Cr(VI) and CBC, resulting in an escalating removal rate. However, the rate of removal rate growth decelerated as the CBC amount increased, ultimately stabilizing. This phenomenon may be attributed to the potential blockage of effective adsorption sites by newly added CBC particles.
Moreover, the decrease in Cr(VI) adsorption capacity with increasing dosage indicates a reduction in the number of chromium ions available for adsorption per gram of CBC. Consequently, the average adsorption capacity per gram of CBC diminishes, and some adsorption sites may remain underutilized due to limitations in the Cr(VI) concentration. At the same time, when the removal rate is close to 100%, the driving force for adsorption will lessen, resulting in its decline. Therefore, in 50 mL Cr(VI) solution, the optimal dosage of biochar is 0.4 g; that is, the optimal dosage concentration is 8 g/L.

3.2.2. Adsorption Kinetics Experiment

The adsorption process of Cr(VI) removal from water by biochar film can be characterized by Lagergren’s quasi-first-order kinetic model, quasi-second-order kinetic model, and Weber–Morris’s intra-particle diffusion model. These models serve to delineate the rate-controlling steps in the adsorption process. Specifically, the quasi-first-order and quasi-second-order kinetic models elucidate the adsorption process and properties of Cr(VI) adsorbed by CBC, while the intra-particle diffusion model is employed to analyze the diffusion process of Cr(VI) within CBC particles.
(1) Quasi-first-order kinetic equation expression:
l n ( Q e Q t ) = l n Q e K c t
Formula:
Qe—saturated adsorption capacity, mg/g;
Qt—adsorption capacity at time t, mg/g;
Kc—quasi-first-order kinetic model rate constant, min−1;
T—Contact time, min.
(2) Quasi-second-order kinetic equation:
t Q t = 1 K s · Q e 2 + 1 Q t
Formula:
Ks—Rate constant of a quasi-second-order kinetic model, min−1.
(3) Diffusion equation in particles:
Q t = K j · t 1 2 + C
Formula:
Kj—Rate constant of diffusion reaction in particles, mg∙g−1∙min−1/2;
C—The thickness of the boundary layer, mg/g.
The fitting curves of the quasi-first-order dynamic model and quasi-second-order dynamic model of CBC adsorbing Cr (VI) prepared under optimal conditions are shown in Figure 8, and the fitting parameters are shown in Table 6.
According to Table 6, the adsorption of Cr(VI) by CBC conforms more closely to the quasi-second-order kinetic model. The high fitting degree, indicated by the fitting R2 of 0.98229 for CBC using the quasi-second-order kinetic model, surpasses that of the quasi-first-order kinetic model. Additionally, the equilibrium adsorption capacity of 11.9945 mg/g obtained from the model closely aligns with the experimental result of 12.235 mg/g. During the initial 120 min of adsorption, the rapid increase in Cr(VI) adsorption capacity can be attributed to the abundant active functional groups and large specific surface area of newly added CBC, facilitating numerous available adsorption sites.
Therefore, in comparison with the quasi-first-order kinetic model, the quasi-second-order kinetic model more accurately characterizes the dynamics of Cr(VI) adsorption over time following the addition of CBC, indicating that the adsorption process is predominantly governed by chemisorption mechanisms. Furthermore, the rate constant ks < 1 suggests rapid reaction kinetics.
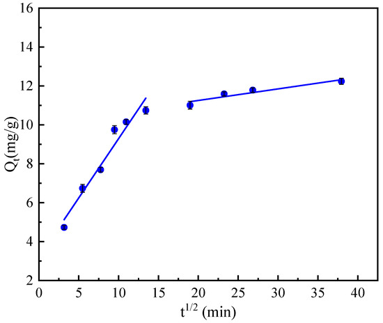
According to Table 7 and Figure 9, the adsorption behavior of Cr(VI) by biochar film can be delineated into two primary stages based on the intra-particle diffusion model: the initial phase characterized by rapid membrane diffusion, followed by the subsequent intra-particle diffusion stage. The adsorption rate during the first stage notably exceeds that of the second stage, suggesting that the swift reaction of Cr(VI) on the CBC surface corresponds to the membrane diffusion phase. Moreover, the diffusion within the particles emerges as the key limiting factor governing the overall adsorption rate. The deviation of the fitting line from the origin indicates the influence of additional mechanisms, such as surface adsorption, alongside intra-particle diffusion, on the adsorption rate.

3.2.3. Isothermal Adsorption Experiment

In order to further explore the concentration relationship when corncob biochar film reached equilibrium during Cr(VI) adsorption, Langmuir and Freundlich isothermal adsorption models were used to describe and fit the isothermal adsorption data. These two models can reveal the adsorption characteristics and mechanism of Cr(VI) adsorption by biochar film, and provide a more comprehensive perspective for understanding the adsorption process. The two equations are expressed as follows:
Langmuir   equation : Q e = Q m K 1 C e 1 + K 1 C e
Formula:
Qe—adsorption capacity at equilibrium concentration, mg/g;
Ce—equilibrium concentration of adsorbed substance in solution, mg/L;
Qm—the maximum adsorption capacity when the adsorbent surface is saturated, mg/g;
Kl—Langmuir adsorption constant.
Freundlich   equation : Q e = K f C e 1 n
Formula:
Kf—Freundlich adsorption constant;
1 n —index of adsorption strength: 1 n < 1 indicates that the stronger the adsorption capacity, the easier the adsorption process.
As depicted in Table 8 and Figure 10, both the Langmuir and Freundlich adsorption isotherm models exhibit a high degree of fit, with correlation coefficients exceeding 0.9. However, the Langmuir model yields a more significant correlation coefficient (R2) compared to the Freundlich model, suggesting that the adsorption process of Cr(VI) by CBC predominantly adheres to the Langmuir model. This implies that the adsorption sites are uniformly distributed, and the adsorption occurs via monolayer adsorption. Additionally, the Kl value in the Langmuir model is less than 1, indicating favorable adsorption and an easier reaction process. These findings underscore the potential of CBC as a highly efficient adsorbent for Cr(VI) removal, with adsorption properties consistent with monolayer adsorption theory.

3.2.4. Adsorption Cycle Regeneration Experiment

In practical applications, assessing the efficacy of biochar film extends beyond its adsorption capacity to encompass considerations regarding its reusability. As depicted in Figure 11, the removal efficiency of Cr(VI) by CBC diminishes notably after five cycles of use. This decline in performance may stem from the relatively fragile internal structure of CBC, which is prone to pore structure collapse. Additionally, certain heavy metal ions may prove resistant to removal via simple washing procedures, further contributing to reduced removal efficiency. Consequently, the removal rate of CBC decreases to approximately 20% after five cycles of recycling. Thus, enhancing the Cr(VI) removal efficiency of CBC necessitates modifications aimed at improving its recyclability.

3.2.5. Material Characterization and Removal Mechanism Analysis

(1) SEM analysis before and after Cr(VI) adsorption.
The apparent morphology of corncob biochar film can be elucidated through scanning electron microscopy (SEM) analysis. Figure 12 presents SEM images of CBC before and after Cr(VI) adsorption. Figure 12a–c depict SEM images of CBC prior to adsorption. Notably, Figure 12a,b reveal the presence of a developed pore structure with varying pore sizes on the surface of CBC. Figure 12c further illustrates the abundance of small holes on the CBC’s surface, which are indicative of a relatively large specific surface area. This phenomenon may be attributed to the destruction of the fiber structure of corncob during high-temperature thermal cracking. These pore structures are formed during pyrolysis as a result of the release of internal water and volatile substances, as well as the oxidation etching of carbon elements, thereby endowing CBC with favorable adsorption capacity.
Figure 12d illustrates the morphology of CBC after Cr(VI) adsorption, revealing the appearance of new particles within the pores and surface of CBC. These particles may correspond to Cr(VI) entities, leading to partial or complete pore closure and a reduction in pore count. Additionally, the surface appears rougher post-adsorption, which is attributed to Cr(VI) deposition.
(2) Specific surface area (BET) and aperture analysis.
As depicted in Table 9, the BET surface area of corncob biochar film is 235.571257 m2/g, signifying a substantial specific surface area that is conducive to enhanced adsorption performance by providing ample active sites for molecular adsorption. The presence of both micropores and mesopores in CBC is indicated by a mesoporous volume of 0.143878 cm3/g and a micropore volume of 0.069950 cm3/g. Micropores exhibit high efficacy in adsorbing small molecules, while mesopores facilitate the transport pathway of adsorbed molecules. The average pore size of 3.615407 nm falls within the mesoporous range, facilitating the adsorption and diffusion of larger molecules, such as Cr(VI), thus enhancing its removal efficiency.
Figure 13 illustrates the N2 adsorption–desorption isotherm of CBC, which predominantly conforms to a mixed isotherm exhibiting characteristics of type I and type II isotherms. The non-coincidence of the curves and the formation of a H4 hysteresis loop between the desorption and adsorption curves suggest the presence of a mesoporous structure within CBC, consistent with SEM characterization results. Notably, the rapid rise in the adsorption curve at low relative pressure signifies a large specific surface area and well-developed microporous structure within CBC. As the relative pressure increases, the adsorption capacity gradually approaches a plateau, indicating the transition to the adsorption stage of the porous layer following micropore saturation.
The pore size distribution profile reveals a distinct peak within the 10 nm aperture range, indicating a concentrated distribution of pore sizes, possibly corresponding to micropores or small mesopores.
In summary, the observed characteristics of CBC, including its large specific surface area, concentrated pore size distribution, and mesoporous structure, underscore its potential as a porous material favorable for the adsorption of water pollutants such as Cr(VI).
(3) FTIR analysis before and after Cr(VI) adsorption.
Figure 14 illustrates the FTIR spectra acquired before and after the adsorption of Cr(VI) by CBC. Comparative analysis of the infrared spectra enables the qualitative assessment of functional groups present on the surface of CBC.
As depicted in Figure 14, the absorption peaks observed at 1173.72 cm−1 and 1170.28 cm−1 before and after the adsorption of CBC represent the C-O-C tensile vibration. The peaks detected at 1576.58 cm−1 and 1578.21 cm−1 may arise from the stretching vibration of C=O bonds or partial stretching vibration of -COOH groups [37]. Additionally, the peaks at 875.10 cm−1 and 868.55 cm−1 correspond to the bending vibration of aromatic C-H planes [38]. The absorption peaks at 808.82 cm−1 and 803.70 cm−1 indicate condensation reactions, C-H bending vibrations, and aromatic ring formation during the preparation of CBC [39]. Furthermore, the peaks observed at 752.96 cm−1 and 748.21 cm−1 may also be associated with C-H bending vibrations, typically linked to substituted aromatic rings.
Figure 14 further reveals that upon Cr(VI) adsorption by CBC, slight shifts in peak positions and alterations in peak intensities are observed, suggesting chemical interactions between these functional groups and Cr(VI). Notably, the -COOH groups may undergo exchange with cations, enhancing CBC’s adsorption capacity for Cr(VI). The presence of C=O and -COOH groups in the FTIR spectrum indicates their potential for complexation with chromium ions.
(4) XRD analysis before and after Cr(VI) adsorption.
XRD analysis was employed to examine the structural and phase composition changes in corncob biochar film pre- and post-Cr(VI) adsorption. Figure 15 illustrates a broad diffraction peak within the 2θ range of 20–25°, characteristic of carbon materials, which is indicative of corncob aromatization and graphitization during pyrolysis, thereby suggesting an amorphous structure for CBC.
Upon Cr(VI) adsorption, the XRD pattern of CBC exhibited diffraction peaks at 2θ = 26.48° and 54.85°. Comparison with standard card data revealed correspondence to crystal faces PDF#34-0756 (210) and PDF#38-1479 (116), respectively. This finding confirms the presence of K2Cr2O7 and Cr2O3 on the CBC material following Cr(VI) adsorption, signifying successful adsorption of Cr(VI) by CBC.
(5) XPS analysis before and after Cr(VI) adsorption.
Figure 16a displays the total XPS spectra of corncob biochar film before and after Cr(VI) adsorption, revealing the emergence of the Cr2p peak value post-adsorption.
In Figure 16b, the C 1s and O1s spectra before and after Cr(VI) adsorption by CBC are presented. In the C 1s region, the primary chemical states of carbon pre- and post-adsorption include C-C/C-H (around 284.8 eV), C=O (around 286 eV), and C-O/O-C=O (around 288.8 eV). After Cr(VI) adsorption, a slight decrease in the proportion of C-C/C-H (from 76.85% to 76.59%) and an increase in C=O (from 14.50% to 14.66%) suggest the involvement of more carbonyl groups in the adsorption process. Similarly, the proportion of C-O/O-C=O also increased (from 8.65% to 8.75%), potentially indicating the presence of more alcohol or carboxyl groups forming coordination bonds with Cr(VI).
In the fine O 1s spectrum, the main chemical states of oxygen pre- and post-adsorption include C-O (around 532.0 eV, 531.64 eV) and O-H (around 533.74 eV). Following adsorption, there was a notable increase in the proportion of C-O (from 67% to 87.18%) and a decrease in O-H (from 33% to 12.82%). This indicates that during the adsorption process, chemical bonds are formed between the adsorbent surface and the target molecule, resulting in an increase in the proportion of C-O bonds. This usually indicates that adsorbent molecules have reacted with active oxygen functional groups (such as O-H) on the surface of the material to form new C-O bonds [40,41]. The decrease in O-H ratio indicates that the hydroxyl group on the surface of the material is partially consumed, which may result in a dehydration reaction or covalent bond formation with adsorbent molecules. This further proves that the surface active site is involved in the adsorption reaction [42,43]. The increasing proportion of C-O and the decreasing proportion of O-H indicate that the hydroxyl group on the surface of the material participates in the chemical reaction during the adsorption process, leading to the formation of a C-O bond; this reflects an adsorption mechanism dominated by chemisorption and accompanied by the transformation of surface functional groups and the consumption of active sites. This change indicates that there is a strong interaction between adsorbent and material [44,45]. Because a decline in O-H led to an increase in C-O and C=O, this conclusion is also reflected in the figure of C 1s, but because the C-C bond has absolute dominance, the increase in C-O and C=O content is not as significant as that in O 1s [46,47]. A 20% increase in the O 1s signal caused by C-O means that there is a 20% increase in the strength of the O 1s signal in the presence of C-O. This may be because the formation of the C-O bond increases the number of oxygen atoms on the surface of the material, resulting in an enhanced O 1s signal. O’s C 1s signal increased by a total of only 0.26%, This difference may be due to differences in the chemical environment on the surface and inside of the sample. The C-O bond may be primarily present on the surface of the sample, while other oxygen-containing species may be present in different forms inside or on the surface of the sample. In addition, sample preparation and processing may also affect the measurement results of C 1s signals [48,49,50].
In Figure 16c, four distinct peaks are observed in the Cr2p orbit, representing different oxidation states of chromium. The Cr2p3/2 peaks at 577.24 eV and Cr2p1/2 peaks at 586.72 eV indicate the presence of Cr(III), while peaks at 578.24 eV and 588.10 eV indicate the presence of Cr(VI). Notably, the peak intensity of Cr(III) is relatively strong compared to Cr(VI), suggesting that a portion of Cr(VI) undergoes reduction to the less toxic Cr(III) during the adsorption process. This reduction mechanism may be attributed to the interaction between functional groups (e.g., hydroxyl, carbonyl, etc.) on the biochar film surface and Cr(VI), facilitating its reduction to Cr(III) [51].

4. Conclusions

This study investigated the preparation, characterization, and removal of Cr(VI) from water using corncob biochar film, revealing its efficiency through various characterization techniques such as FTIR, XPS, and SEM.
(1) The optimal preparation conditions for CBC were determined as follows: a heating rate of 5 °C/min, a pyrolysis temperature of 500 °C, and a pyrolysis time of 120 min, resulting in a removal rate of 73.55% and an adsorption capacity of 18.39 mg/g. Heating rate and pyrolysis temperature significantly influenced Cr(VI) removal by CBC, whereas pyrolysis time had minimal impact. In the experiment that tested Cr (Ⅵ) adsorption by CBC, the best initial concentration was 0.03 g/L, the best pH was 2, and the best adsorbent dosage was 8 g/L. The adsorption kinetics of Cr(VI) by CBC followed the quasi-second-order kinetic model, and the adsorption isotherm conformed to the Langmuir model.
(2) SEM analysis revealed tube bundle structures in CBC morphology, with pores partially closed and the surface becoming rougher after Cr(VI) adsorption. BET analysis confirmed CBC’s porous nature, while XRD analysis indicated its amorphous structure. FTIR and XPS studies revealed diverse functional groups on the biochar film’s surface, suggesting complex reactions facilitating effective Cr(VI) adsorption. The adsorption mechanism of Cr(VI) by biochar film primarily involves monolayer adsorption controlled by chemical reaction mechanisms, including electrostatic forces and complexation reactions of surface functional groups. Additionally, biochar film’s surface polarity and hydrophilic properties significantly regulate its adsorption efficiency. However, the removal rate decreased to 20.01% after five cycles, indicating decreased efficiency upon reuse.

Author Contributions

Y.W. and J.Z. (Writing—review and editing): Preparation, creation and/or presentation of the published work by those from the original research group, specifically critical review, commentary or revision–including pre- or post-publication stages. S.J. (Formal analysis): Application of statistical, mathematical, computational, or other formal techniques to analyze or synthesize study data. Z.X. and J.L. (Conceptualization): Ideas; formulation or evolution of overarching research goals and aims. T.Y. and C.T. (Resources): Provision of study materials, reagents, laboratory samples, instrumentation, computing resources, or other analysis tools. All authors have read and agreed to the published version of the manuscript.

Funding

This research was supported by The Technological Project of Heilongjiang Province “the open competition mechanism to select the best candidates” (2022ZXJ05C02).

Institutional Review Board Statement

Not applicable.

Informed Consent Statement

Not applicable.

Data Availability Statement

The data presented in this study are available in this article.

Conflicts of Interest

The authors declare no conflicts of interest.

References

  1. Biswas, B.; Pandey, N.; Bisht, Y.; Singh, R.; Kumar, J.; Bhaskar, T. Pyrolysis of agricultural biomass residues: Comparative study of corn cob, wheat straw, rice straw and rice husk. Bioresour. Technol. 2017, 237, 57–63. [Google Scholar] [CrossRef] [PubMed]
  2. Panchal, B.; Sun, Y.; Zhao, C.; Wang, J.; Bian, K.; Zhao, Q.; Liu, B. Waste to value addition: Utilization of waste corn cob from corn plant derived novel green acidic catalyst for effective synthesis of esters. Energy Rep. 2024, 11, 4277–4289. [Google Scholar] [CrossRef]
  3. Liu, C.; Qiu, T.; Mostafa, E.; Liu, H.; Zhao, W.; Zhang, Y. Porous biochar production from pyrolysis of corn straw in a microwave heated reactor. Int. J. Chem. React. Eng. 2024, 22, 267–276. [Google Scholar] [CrossRef]
  4. Choi, J.Y.; Nam, J.; Yuk, H.; Yang, S.; Kim, S. Enhancing the hygrothermal performance of corn cob residue-based eco-friendly building materials through biochar and microencapsulated phase change material incorporation. J. Build. Eng. 2024, 89, 109189. [Google Scholar] [CrossRef]
  5. Perdana, T.; Kusnandar, K.; Perdana, H.H.; Hermiatin, F.R. Circular supply chain governance for sustainable fresh agricultural products: Minimizing food loss and utilizing agricultural waste. Sustain. Prod. Consum. 2023, 41, 391–403. [Google Scholar] [CrossRef]
  6. Kadhim, Z.R.; Ali, S.H.; Barbaz, D.S.; Alnagar, A.S. The Economic and Environmental Effects of Recycling Plant Agricultural Wastes in Iraq (Yellow Maize Production Farms in Babil Province—A Case Study). IOP Conf. Ser. Earth Environ. Sci. 2022, 1060, 012145. [Google Scholar] [CrossRef]
  7. Chen, S.; Zhou, J.; Liu, J.; Bie, Y.; Hu, Q. Sustainable ecological pervious concrete (SEPC) based on modified corn-cob coarse aggregate: Crushing morphology, strength, pore properties, and durability. Constr. Build. Mater. 2024, 426, 136194. [Google Scholar] [CrossRef]
  8. Wang, X.; Chen, Z.; Wang, C.; Zhang, L. Ultrahigh and kinetic-favorable adsorption for recycling urea using corncob-derived porous biochar. Sci. Rep. 2024, 14, 8131. [Google Scholar] [CrossRef]
  9. Ghosh, A.; Ghosh, S.; Faris, P. Alleviating Adverse Implications of Soil Compaction and Stubble Burning on Sustainable Maize Production with ‘Conservation Agriculture’ Protocols. Int. J. Plant Prod. 2023, 17, 607–616. [Google Scholar] [CrossRef]
  10. Lin, H.; Han, S.; Dong, Y.; Ling, W.; He, Y. Structural Characteristics and Functional Properties of Corncob Modified by Hyperbranched Polyamide for the Adsorption of Cr (VI). Water Air Soil Pollut. 2018, 229, 117. [Google Scholar] [CrossRef]
  11. Zheng, A.; Zhao, Z.; Chang, S.; Huang, Z.; Wang, X.; He, F.; Li, H. Effect of torrefaction on structure and fast pyrolysis behavior of corncobs. Bioresour. Technol. 2013, 128, 370–377. [Google Scholar] [CrossRef]
  12. Gabhane, J.W.; Bhange, V.P.; Patil, P.D.; Bankar, S.T.; Kumar, S. Recent trends in biochar production methods and its application as a soil health conditioner: A review. SN Appl. Sci. 2020, 2, 1307. [Google Scholar] [CrossRef]
  13. Khumairoh, P.; Petrus, H.T.B.M.; Purnomo, C.W. Production of biochar from Bitter Melon Seeds Waste by Pyrolysis Method. IOP Conf. Ser. Earth Environ. Sci. 2021, 830, 012019. [Google Scholar] [CrossRef]
  14. Aloud, S.S.; Alharbi, H.A.; Hameed, B.H.; Giesy, J.P.; Almady, S.S.; Alotaibi, K.D. Production of activated carbon from date palm stones by hydrothermal carbonization and microwave assisted KOH/NaOH mixture activation for dye adsorption. Sci. Rep. 2023, 13, 19064. [Google Scholar] [CrossRef]
  15. Gascó, G.; Paz-Ferreiro, J.; Álvarez, M.; Saa, A.; Méndez, A. Biochars and hydrochars prepared by pyrolysis and hydrothermal carbonisation of pig manure. Waste Manag. 2018, 79, 395–403. [Google Scholar] [CrossRef]
  16. Astuti, W.; Meysanti, D.; Salsabila, M.T.; Sulistyaningsih, T. Photodegradation of methylene blue dye by hematite-biochar composite prepared from Dendrocalamus asper using microwave-assisted pyrolysis (MAP). IOP Conf. Ser. Earth Environ. Sci. 2023, 1203, 012053. [Google Scholar] [CrossRef]
  17. Fan, Y.; Jin, L.; Ji, W.; Wang, J.; Zhu, L.; Zhao, W. Microwave-induced carbonization of rapeseed shell for bio-oil and bio-char: Multi-variable optimization and microwave absorber effect. Energy Convers. Manag. 2019, 191, 23–38. [Google Scholar] [CrossRef]
  18. Salas, R.; Ruiz, M.; Felix, M. Revalorisation of a residue from the maize-snack industry through the development of bio-based materials. Effect of the plasticiser. J. Food Eng. 2024, 370, 111964. [Google Scholar] [CrossRef]
  19. Chathiran, W.; On-nom, N.; Somsong, P.; Tiyayon, P.; Niranjan, K.; Srichamnong, W. The efficacy and lipid degradation properties resulting from corncob biochar treatment for acrylamide reduction in reused palm oil. LWT 2024, 192, 115720. [Google Scholar] [CrossRef]
  20. Gunawan, P.; Xiao, W.; Chua, M.W.H.; Tan, C.P.C.; Ding, J.; Zhong, Z. One-dimensional fossil-like γ-Fe2O3@carbon nanostructure: Preparation, structural characterization and application as adsorbent for fast and selective recovery of gold ions from aqueous solution. Nanotechnology 2016, 27, 415701. [Google Scholar] [CrossRef]
  21. Yi, P.; Wang, X.; Sun, H.; Wang, M.; Nan, Y.; Ren, M.; Guo, H.; Wang, M.; Wu, Y.; Duan, J. Biomimetic self-lubricating silicone composite based on biochar for antifouling with improved long-term release. Prog. Org. Coat. 2024, 189, 108306. [Google Scholar] [CrossRef]
  22. Huang, Y.; Chu, H.; Wang, D.; Hui, S. Performance and mechanism of benzene adsorption on ZnCl2 one-step modified corn cob biochar. Environ. Sci. Pollut. Res. Int. 2024, 31, 15209–15222. [Google Scholar] [CrossRef]
  23. Kavindi, G.A.G.; Lei, Z.; Yuan, T.; Shimizu, K.; Zhang, Z. Stability of solid form Cr(VI) after being loaded onto hydrochar under different soil pH conditions. Bioresour. Technol. Rep. 2023, 21, 101376. [Google Scholar] [CrossRef]
  24. Tadjik, F.; Mirzaee, O.; Ebrahimzadeh, H. Characterization of Cr(VI) Removal from Aqueous Solutions by Natural Hydroxyapatite from Bone Ash and Determination of Optimum Conditions. Indian J. Sci. Technol. 2015, 8, 1–7. [Google Scholar] [CrossRef]
  25. Yu, P.; Qin, K.; Crosby, K.; Ong, K.; Gentry, T.; Gu, M. Biochar reduces containerized pepper blight caused by Phytophthora Capsici. Sci. Rep. 2024, 14, 30664. [Google Scholar] [CrossRef]
  26. Haryanto, B.; Nasution, I.T.; Polem, A.F.; Sitohang, O.M.; Tambun, R.; Masyithah, Z.; Alexander, V. Environmental sustainability through the utilization of corn cobs as an adsorbent material in waste cooking oil. IOP Conf. Ser. Earth Environ. Sci. 2023, 1241, 012115. [Google Scholar] [CrossRef]
  27. Ke, Q.; Ren, J.; Feng, K.; Zhang, Z.; Huang, W.; Xu, X.; Zhao, L.; Qiu, H.; Cao, X. Crucial roles of soil inherent Fe-bearing minerals in enhanced Cr(VI) reduction by biochar: The electronegativity neutralization and electron transfer mediation. Environ. Pollut. 2024, 350, 124014. [Google Scholar] [CrossRef]
  28. Chen, L.; Tan, K.; Wang, X.; Chen, Y. A rapid soil Chromium pollution detection method based on hyperspectral remote sensing data. Int. J. Appl. Earth Obs. Geoinf. 2024, 128, 103759. [Google Scholar] [CrossRef]
  29. Shakya, A.; Agarwal, T. Effect of pyrolysis temperature on physicochemical properties and hexavalent chromium adsorption of the corncob biochars. Biomass Convers. Biorefin. 2023, 13, 15197–15210. [Google Scholar] [CrossRef]
  30. Kulmedov, B.; Mohammed, A. Utilizing Modified Maize Cobs as an Agricultural Waste Adsorbent for Removing Zinc (II) and Chromium (VI) Ions from Wastewater. Water Conserv. Sci. Eng. 2023, 8, 30. [Google Scholar] [CrossRef]
  31. Ge, H.; Xie, F.; Wu, S.; Wang, W.; Chen, P.; Wang, Z. Preparation of reduced iron powder by reduction roasting of jarosite residue using straw-type biochar reductant. Biomass Bioenergy 2025, 193, 107539. [Google Scholar] [CrossRef]
  32. GB/T 7467-1987; Water Quality Determination of Hexavalent Chromium Spectrophotometric Method for Diphenylcarbamide Dihydrazine. State Environmental Protection Bureau Planning Standards Office: Washington, DC, USA, 1987.
  33. Zuo, J.; Li, W.; Xia, Z.; Zhao, T.; Tan, C.; Wang, Y.; Li, J. Preparation of Modified Biochar and Its Adsorption of Cr(VI) in Aqueous Solution. Coatings 2023, 13, 1884. [Google Scholar] [CrossRef]
  34. Yu, Y.; An, Q.; Li, Z.; Zhao, B. Synergistic removal of ammonia nitrogen and hexavalent chromium by the hybrid-system of Acinetobacter baumannii AL-6 and original walnut shell biochar in solution: Mechanism and application. J. Environ. Chem. Eng. 2024, 12, 114969. [Google Scholar] [CrossRef]
  35. Cheng, H.; Zheng, X.; Zhu, Y.; Wang, P.; Zhu, J.; Wei, J.; Liu, Z.; Huang, C. Stabilization of sulfidated nano zerovalent iron with biochar: Enhanced transport and application for hexavalent chromium removal from water. J. Environ. Manag. 2024, 371, 123045. [Google Scholar] [CrossRef]
  36. Dai, X.; Luo, Y.; Deng, J.; Wen, J.; He, Y.; Yuan, Y.; Wang, Y. Ultra-efficient removal of aqueous hexavalent chromium by activated biochar nanoparticles derived from squid ink. Environ. Res. 2024, 263, 120185. [Google Scholar] [CrossRef]
  37. Losacco, D.; Campanale, C.; Tumolo, M.; Ancona, V.; Massarelli, C.; Uricchio, V.F. Evaluating the Influence of Nitrogen Fertilizers and Biochar on Brassica oleracea L. var. botrytis by the Use of Fourier Transform Infrared (FTIR) Spectroscopy. Sustainability 2022, 14, 11985. [Google Scholar]
  38. Ray, A.; Banerjee, A.; Dubey, A. Characterization of biochars from various agricultural by-products using FTIR spectroscopy, SEM focused with image processing. Int. J. Agric. Environ. Biotechnol. 2020, 13, 423–430. [Google Scholar] [CrossRef]
  39. de Morais, E.G.; Silva, C.A. PLS Regression Coupled with FTIR Analysis as a Fast Tool to Assess Properties and Nutrient Pools of Biochar-Based Fertilizers. Commun. Soil Sci. Plant Anal. 2024, 55, 1404–1419. [Google Scholar] [CrossRef]
  40. Kitagawa, S.; Seki, H.; Kametani, F.; Sakurai, H. Uptake of hexavalent chromium by bovine erythrocytes and its interaction with cytoplasmic components; The role of glutathione. Chem.-Biol. Interact. 1982, 40, 265–274. [Google Scholar] [CrossRef]
  41. Liu, H.; Liang, S.; Gao, J.; Ngo, H.H.; Guo, W.; Guo, Z.; Li, Y. Development of biochars from pyrolysis of lotus stalks for Ni(II) sorption: Using zinc borate as flame retardant. J. Anal. Appl. Pyrolysis 2014, 107, 336–341. [Google Scholar] [CrossRef]
  42. Shao, T.; Yin, Q.; Bai, J.; Zhu, J.; Gan, M. Adsorption and catalytic reduction of hexavalent chromium based on nanomaterials: A review on metal, metallic oxide, metallic sulfide and carbon-based catalyst. Environ. Res. 2024, 266, 120449. [Google Scholar] [CrossRef] [PubMed]
  43. Adeiga, O.I.; Pillay, K. Polyaniline decorated rooibos tea waste: An adsorbent for the removal of hexavalent chromium and its reuse as a photocatalyst for the degradation of tetracycline. Results Eng. 2024, 24, 102946. [Google Scholar] [CrossRef]
  44. Wijaya, R.A.; Nakagoe, O.; Sano, H.; Tanabe, S.; Kamada, K. Superior comprehensive performance of modified activated carbon as a hexavalent chromium adsorbent. Heliyon 2024, 10, e35557. [Google Scholar] [CrossRef] [PubMed]
  45. Chigondo, M.; Nyamunda, B.; Maposa, M.; Nyenyayi, K.; Nyadenga, D.; Chigondo, F. Histidine-Functionalised Polypyrrole Hybrid Nanocomposite for Adsorption of Toxic Hexavalent Chromium from Water. Water Air Soil Pollut. 2024, 235, 572. [Google Scholar] [CrossRef]
  46. Ni, B.J.; Huang, Q.S.; Wang, C.; Ni, T.Y.; Sun, J.; Wei, W. Competitive adsorption of heavy metals in aqueous solution onto biochar derived from anaerobically digested sludge. Chemosphere 2019, 219, 351–357. [Google Scholar] [CrossRef]
  47. Luo, S.S.; Wen, Y.; Lv, J.D. Study on the mechanism of reduction of hexvalent chromium by sodium lactate mediated by biochar/Ferric clay mineral composite. Environ. Prot. Circ. Econ. 2019, 44, 37–40. (In Chinese) [Google Scholar]
  48. Fan, Q.; Sun, J.; Chu, L.; Cui, L.; Quan, G.; Yan, J.; Hussain, Q.; Iqbal, M. Effects of chemical oxidation on surface oxygen-containing functional groups and adsorption behavior of biochar. Chemosphere 2018, 207, 33–40. [Google Scholar] [CrossRef]
  49. Liu, F.Y. Study on Preparation of Alfalfa Based Biochar Material and Its Cr (Ⅵ) Removal Performance in Water. Ph.D. Thesis, Inner Mongolia University, Hohhot, China, 2023. [Google Scholar]
  50. Zhang W, X. Removal of Hexavalent Chromium From Water by Pigeon Waste Biochar Composite. Ph.D. Thesis, ZhongKai Agricultural Engineering Institute, Guangzhou, China, 2023. [Google Scholar]
  51. Katika, R.M.; Boddu, S.; Mandapati, R.N. Enhanced Photodegradation of Congo Red Using RSM-Optimized TiO2 on Borassus flabellifer Male Inflorescence Biochar. ChemistrySelect 2024, 9, e202403454. [Google Scholar] [CrossRef]
Figure 1. The standard curve of Cr(VI).
Figure 1. The standard curve of Cr(VI).
Coatings 15 00025 g001
Figure 2. Effect of pyrolysis time on Cr(VI) removal from BC.
Figure 2. Effect of pyrolysis time on Cr(VI) removal from BC.
Coatings 15 00025 g002
Figure 3. Effect of pyrolysis temperature on Cr(VI) removal from BC.
Figure 3. Effect of pyrolysis temperature on Cr(VI) removal from BC.
Coatings 15 00025 g003
Figure 4. Effect of heating rate on Cr(VI) removal from BC.
Figure 4. Effect of heating rate on Cr(VI) removal from BC.
Coatings 15 00025 g004
Figure 5. Effect of pH on Cr(VI) removal.
Figure 5. Effect of pH on Cr(VI) removal.
Coatings 15 00025 g005
Figure 6. Effect of initial concentration on Cr(VI) removal.
Figure 6. Effect of initial concentration on Cr(VI) removal.
Coatings 15 00025 g006
Figure 7. Effect of CBC dosage on Cr(VI) removal.
Figure 7. Effect of CBC dosage on Cr(VI) removal.
Coatings 15 00025 g007
Figure 8. Kinetic fitting curve of Cr(VI) adsorption by CBC.
Figure 8. Kinetic fitting curve of Cr(VI) adsorption by CBC.
Coatings 15 00025 g008
Figure 9. Particle diffusion fitting curves of CBC adsorption Cr(VI).
Figure 9. Particle diffusion fitting curves of CBC adsorption Cr(VI).
Coatings 15 00025 g009
Figure 10. Isothermal adsorption fitting curve of Cr(VI) by CBC.
Figure 10. Isothermal adsorption fitting curve of Cr(VI) by CBC.
Coatings 15 00025 g010
Figure 11. The ability of CBC recycling to adsorb Cr(VI).
Figure 11. The ability of CBC recycling to adsorb Cr(VI).
Coatings 15 00025 g011
Figure 12. SEM before and after adsorption of CBC: (ac) Before adsorption; (d) after adsorption.
Figure 12. SEM before and after adsorption of CBC: (ac) Before adsorption; (d) after adsorption.
Coatings 15 00025 g012
Figure 13. Nitrogen adsorption–desorption curves and pore size distribution of CBC.
Figure 13. Nitrogen adsorption–desorption curves and pore size distribution of CBC.
Coatings 15 00025 g013
Figure 14. FTIR diagram of CBC before and after adsorption of Cr(VI).
Figure 14. FTIR diagram of CBC before and after adsorption of Cr(VI).
Coatings 15 00025 g014
Figure 15. XRD of CBC before and after adsorption of Cr(VI).
Figure 15. XRD of CBC before and after adsorption of Cr(VI).
Coatings 15 00025 g015
Figure 16. XPS spectra of CBC. (a) Full spectrogram; (b) C 1s, O 1s; and (c) Cr 2p.
Figure 16. XPS spectra of CBC. (a) Full spectrogram; (b) C 1s, O 1s; and (c) Cr 2p.
Coatings 15 00025 g016aCoatings 15 00025 g016b
Table 1. Chemical reagents in experiment.
Table 1. Chemical reagents in experiment.
DrugChemical FormulaPuritySupplier
Dibenzoyl dihydrazineC13H14N4OAnalytically pureFuchen (Tianjin) Chemical Reagent Co., LTD. (Tianjin, China)
Concentrated sulfuric acidH2SO4Analytically pureTianjin Guangfu Fine chemical Research Institute. (Tianjin, China)
Phosphoric acidH3PO4Analytically pureTianjin Fuyu Fine Chemical Co., LTD. (Tianjin, China)
Potassium dichromateK2Cr2O7Analytically pureTianjin Fuchen chemical reagent factory. (Tianjin, China)
AcetoneC3H6OAnalytically pureNanjing Chemical Reagent Co., LTD. (Nanjing, China)
Hydrochloric acidHCLAnalytically pureNanjing Chemical Reagent Co., LTD. (Nanjing, China)
Sodium hydroxideNaOHAnalytically pureTianjin Mainland chemical reagent factory. (Tianjin, China)
Anhydrous ethanolCH3CH2OHAnalytically pureTianjin Tianli Chemical Reagent Co., LTD. (Tianjin, China)
Table 2. Instrument required in experiment.
Table 2. Instrument required in experiment.
InstrumentModel NumberProducer
Ultraviolet–visible spectrophotometerUV-51Shanghai Yuan analysis Instrument Co., LTD. (Shanghai, China)
Infrared spectrometerSpectrum TwoShanghai Perkinelmer Enterprise Management Co., LTD. (Shanghai, China)
Electronic balanceFA2004Shanghai Yue Ping Scientific Instrument Co., LTD. (Shanghai, China)
Blast-drying ovenDHG-9055AChina Shanghai Yiheng Scientific Instrument Co., LTD. (Shanghai, China)
pH meterPHS-2FShanghai Yi Electrical Scientific Instruments Co., LTD. (Shanghai, China)
Water bath shakerSHC-CShanghai Jingqi Instrument Co., LTD. (Shanghai, China)
Chinese herbal medicine crusher1000CDongguan City Fangtai Electric Co., LTD. (Dongguan, China)
High-temperature combustion tube furnaceSK-2-13Beijing Yongguang Medical Instrument Co., LTD. (Beijing, China)
Table 3. The factors and levels of orthogonal experiment.
Table 3. The factors and levels of orthogonal experiment.
LevelFactor
A Heating Rate (°C/min)B Pyrolysis Temperature (°C)C Pyrolysis Time (min)
1540060
210500120
320600180
Table 4. The design and results of orthogonal experiment.
Table 4. The design and results of orthogonal experiment.
Test NumberFactorRemoval Rate (%)
ABC
111164.93
212264.93
313362.45
421239.84
522342.89
623140.02
731327.15
832135.36
933230.22
K167.38343.97346.770
K240.91751.00748.277
K330.91044.23044.163
R36.4737.033
Primary and secondary factorsA > B > C
Optimal schemeA1B2C2
Table 5. Analysis of variance for orthogonal experiment.
Table 5. Analysis of variance for orthogonal experiment.
SourceDeviation Sum of SquaresDegree of FreedomMean SquareFpSignificance
Heating rate2130.92221065.461567.9730.002*
Pyrolysis temperature95.457247.72825.4430.038*
Pyrolysis time25.984212.9926.9260.126
Error3.75221.876
Note: p < 0.05—significant “*”.
Table 6. Kinetic fitting parameters of Cr (VI) adsorption by CBC.
Table 6. Kinetic fitting parameters of Cr (VI) adsorption by CBC.
SampleQe (mg/g)Quasi-First-Order DynamicsQuasi-Second-Order Dynamics
Qt (mg/g)kc (min−1)R2Qt (mg/g)ks (g·mg−1·min−1)R2
CBC12.2411.230.026880.938411.990.0037500.9823
Table 7. Adsorption particle diffusion fitting parameters for CBC on Cr(VI).
Table 7. Adsorption particle diffusion fitting parameters for CBC on Cr(VI).
The First StageThe Second Stage
R2kj (mg∙g−1∙min−1/2)C (mg/g)R2kj (mg∙g−1∙min−1/2)C (mg/g)
CBC0.95120.60933.1990.90110.0593910.06
Table 8. Isotherm model parameters.
Table 8. Isotherm model parameters.
Langmuir ModelFreundlich Model
Qm (mg/g)Kl (L/mg)R2Kf (L/mg)1/nR2
CBC19.700.030580.99592.1690.42660.9802
Table 9. Parameters of specific surface area and pore structure of CBC.
Table 9. Parameters of specific surface area and pore structure of CBC.
SampleBET Surface Area (m2/g)Vmesoporous (cm3/g)VMicropore (cm3/g)Average Pore Ize (nm)
CBC235.60.14390.069953.615
Disclaimer/Publisher’s Note: The statements, opinions and data contained in all publications are solely those of the individual author(s) and contributor(s) and not of MDPI and/or the editor(s). MDPI and/or the editor(s) disclaim responsibility for any injury to people or property resulting from any ideas, methods, instructions or products referred to in the content.

Share and Cite

MDPI and ACS Style

Zuo, J.; Jiang, S.; Yang, T.; Li, J.; Xia, Z.; Wang, Y.; Tan, C. Preparation of Corncob Biochar Film and Its Efficiency in Removing Cr(VI) in Wastewater. Coatings 2025, 15, 25. https://doi.org/10.3390/coatings15010025

AMA Style

Zuo J, Jiang S, Yang T, Li J, Xia Z, Wang Y, Tan C. Preparation of Corncob Biochar Film and Its Efficiency in Removing Cr(VI) in Wastewater. Coatings. 2025; 15(1):25. https://doi.org/10.3390/coatings15010025

Chicago/Turabian Style

Zuo, Jinlong, Shan Jiang, Tianyi Yang, Junsheng Li, Zhi Xia, Yuyang Wang, and Chong Tan. 2025. "Preparation of Corncob Biochar Film and Its Efficiency in Removing Cr(VI) in Wastewater" Coatings 15, no. 1: 25. https://doi.org/10.3390/coatings15010025

APA Style

Zuo, J., Jiang, S., Yang, T., Li, J., Xia, Z., Wang, Y., & Tan, C. (2025). Preparation of Corncob Biochar Film and Its Efficiency in Removing Cr(VI) in Wastewater. Coatings, 15(1), 25. https://doi.org/10.3390/coatings15010025

Note that from the first issue of 2016, this journal uses article numbers instead of page numbers. See further details here.

Article Metrics

Back to TopTop