Self-Healing Performance of Cellulose-Based Gel Coating with Highly Loaded Hybrid Inhibitor
Abstract
1. Introduction
2. Experimental Details
2.1. Materials
2.2. Preparation of Gel Coating with Inhibitors
2.3. Anti-Corrosion Performance of the Prepared Coatings
2.3.1. Electrochemical Impedance Spectroscopy (EIS) Measurement
2.3.2. Inhibitor Releasing Test
2.3.3. Surface Characterization
3. Results and Discussion
3.1. Effect of IMO-11 Inhibitor Content on the Gel Coating Self-Healing Behavior
3.2. Character of Supramolecular Gel Coating with Hybrid Inhibitors
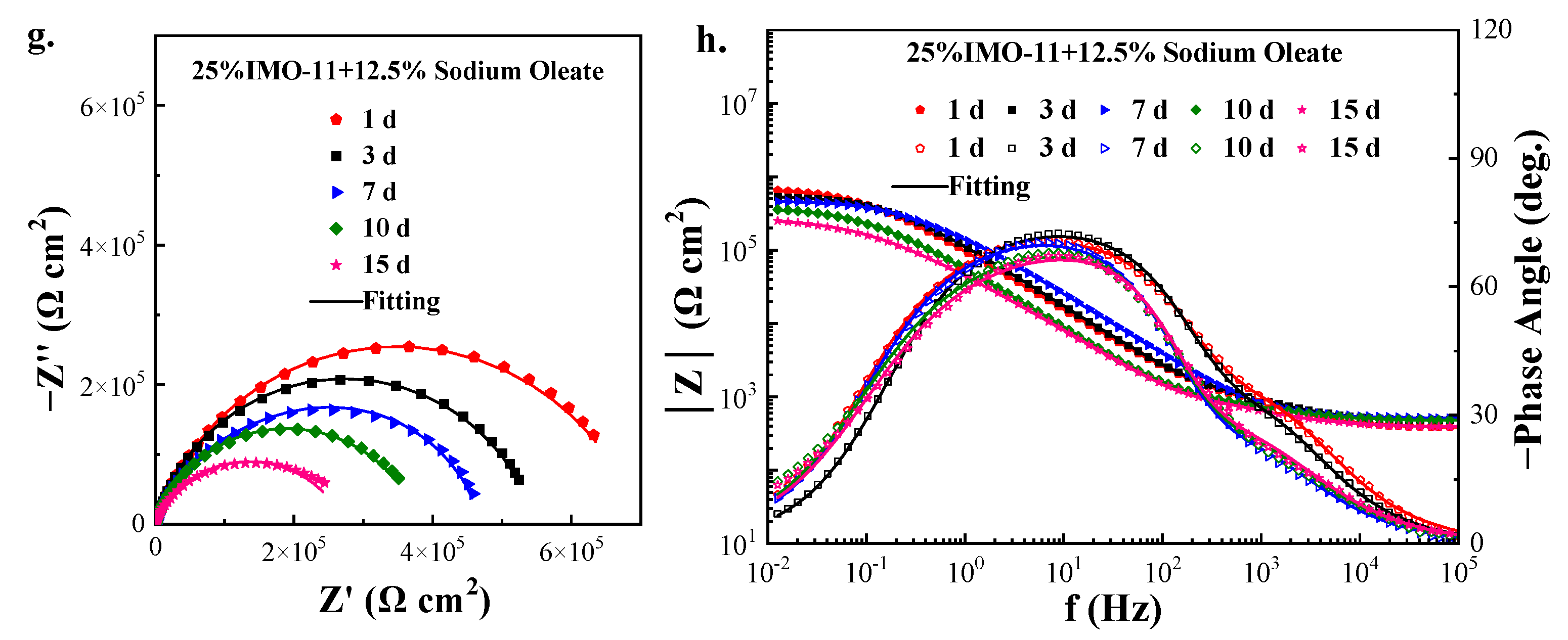
3.3. Self-Healing Performance of Gel Coating with Hybrid Corrosion Inhibitor
3.4. Self-Healing Mechanism of Gel Coating with Hybrid Inhibitor
4. Conclusions
Author Contributions
Funding
Institutional Review Board Statement
Informed Consent Statement
Data Availability Statement
Conflicts of Interest
References
- Zhang, F.; Ju, P.; Pan, M.; Zhang, D.; Huang, Y.; Li, G.; Li, X. Self-healing mechanisms in smart protective coatings: A review. Corros. Sci. 2018, 144, 74–88. [Google Scholar] [CrossRef]
- Zhu, M.; Rong, M.Z.; Zhang, M.Q. Self-healing polymeric materials towards non-structural recovery of functional properties. Polym. Int. 2014, 63, 1741–1749. [Google Scholar] [CrossRef]
- Peter, V.; Mats, M.; Yaiza, G.-G.; Herman, T.; Johannes, M.C.M. Electrochemical Evaluation of Corrosion Inhibiting Layers Formed in a Defect from Lithium-Leaching Organic Coatings. J. Electrochem. Soc. 2017, 164, C396. [Google Scholar] [CrossRef]
- Attaei, M.; Calado, L.M.; Taryba, M.G.; Morozov, Y.; Shakoor, R.A.; Kahraman, R.; Marques, A.C.; Montemor, M.F. Autonomous self-healing in epoxy coatings provided by high efficiency isophorone diisocyanate (IPDI) microcapsules for protection of carbon steel. Prog. Org. Coat. 2020, 139, 105445. [Google Scholar] [CrossRef]
- Toohey, K.S.; Hansen, C.J.; Lewis, J.A.; White, S.R.; Sottos, N.R. Delivery of Two-Part Self-Healing Chemistry via Microvascular Networks. Adv. Funct. Mater. 2009, 19, 1399–1405. [Google Scholar] [CrossRef]
- Zhang, H.; Tang, J.; Han, H.; Zhang, S.; Wang, H.; Wang, Y.; Li, T.; Lin, B. Study on a Novel Recyclable Anticorrosion Gel Coating Based on Ethyl Cellulose and Thermoplastic Polyurethane. Coatings 2019, 9, 618. [Google Scholar] [CrossRef]
- Zhang, H.; Li, S.; Zheng, H.; Han, Z.; Lin, B.; Wang, Y.; Guo, X.; Zhou, T.; Zhang, H.; Wu, J.; et al. A Visual Color Response Test Paper for the Detection of Hydrogen Sulfide Gas in the Air. Molecules 2023, 28, 5044. [Google Scholar] [CrossRef] [PubMed]
- Zhang, H.; Lin, B.; Tang, J.; Wang, Y.; Wang, H.; Zhang, H.; Cao, J.; Hou, J.; Sun, M.; Zhang, H. An ethyl cellulose-based supramolecular gel composite coating for metal corrosion protection and its self-healing property from electromagnetic heating effect. Surf. Coat. Technol. 2021, 424, 127647. [Google Scholar] [CrossRef]
- Wang, J.; Tang, J.; Zhang, H.; Wang, Y.; Wang, H.; Lin, B.; Hou, J.; Zhang, H. A CO2-responsive anti-corrosion ethyl cellulose coating based on the pH-response mechanism. Corros. Sci. 2021, 180, 109194. [Google Scholar] [CrossRef]
- Lin, B.; Wang, J.; Zhang, H.; Wang, Y.; Zhang, H.; Tang, J.; Hou, J.; Zhang, H.; Sun, M. Self-healing performance of ethyl-cellulose based supramolecular gel coating highly loaded with different carbon chain length imidazoline inhibitors in NaCl corrosion medium. Corros. Sci. 2022, 197, 110084. [Google Scholar] [CrossRef]
- Fan, B.; Zhu, H.; Li, H.; Tian, H.; Yang, B. Penetration of imidazoline derivatives through deposited scale for inhibiting the under-deposit corrosion of pipeline steel. Corros. Sci. 2024, 235, 112209. [Google Scholar] [CrossRef]
- Verma, C.; Quraishi, M.A.; Rhee, K.Y. Hydrophilicity and hydrophobicity consideration of organic surfactant compounds: Effect of alkyl chain length on corrosion protection. Adv. Colloid Interface Sci. 2022, 306, 102723. [Google Scholar] [CrossRef] [PubMed]
- Zhu, Y.; Qu, S.; Shen, Y.; Liu, X.; Lai, L.; Dai, Z.; Liu, J. Investigation on the synergistic effects and mechanism of oleic imidazoline and mercaptoethanol corrosion inhibitors by experiment and molecular dynamic simulation. J. Mol. Struct. 2022, 1274, 134512. [Google Scholar] [CrossRef]
- Wang, X.; Yang, J.; Chen, X.; Yan, K.; Wang, Y.; Yang, Z. Structure-Performance Relations of Thio-alcohols and their Synergistic Corrosion Inhibition for Carbon Steel in CO2-saturated Solution. J. Mol. Struct. 2023, 1299, 137144. [Google Scholar] [CrossRef]
- Ren, Y.; Zhang, J.; Du, M.; Niu, L. The synergistic inhibition effect between imidazoline-based dissymmetric bis-quaternary ammonium salts and thiourea on Q235 steel in CO2 corrosion process. Res. Chem. Intermed. 2015, 42, 641–657. [Google Scholar] [CrossRef]
- Okafor, P.C.; Liu, C.B.; Liu, X.; Zheng, Y.G.; Wang, F.; Liu, C.Y.; Wang, F. Corrosion inhibition and adsorption behavior of imidazoline salt on N80 carbon steel in CO2-saturated solutions and its synergism with thiourea. J. Solid State Electrochem. 2010, 14, 1367–1376. [Google Scholar] [CrossRef]
- Eivaz Mohammadloo, H.; Mirabedini, S.M.; Pezeshk-Fallah, H. Microencapsulation of quinoline and cerium based inhibitors for smart coating application: Anti-corrosion, morphology and adhesion study. Prog. Org. Coat. 2019, 137, 105339. [Google Scholar] [CrossRef]
- Sanaei, Z.; Ramezanzadeh, B.; Shahrabi, T. Anti-corrosion performance of an epoxy ester coating filled with a new generation of hybrid green organic/inorganic inhibitive pigment; Electrochemical and surface characterizations. Appl. Surf. Sci. 2018, 454, 1–5. [Google Scholar] [CrossRef]
- Saei, E.; Ramezanzadeh, B.; Amini, R.; Kalajahi, M.S. Effects of combined organic and inorganic corrosion inhibitors on the cerium based conversion coating performance on AZ31 Magnesium Alloy: Morphological and corrosion studies. Corros. Sci. 2017, 127, 186–200. [Google Scholar] [CrossRef]
- GB/T 5210; Paints and varnishes—Pull-Off Test for Adhesion. China National Standardization Management Committee: Beijing, China, 2006.
- Feng, Y.; Cheng, Y.F. An intelligent coating doped with inhibitor-encapsulated nanocontainers for corrosion protection of pipeline steel. Chem. Eng. J. 2017, 315, 537–551. [Google Scholar] [CrossRef]
- Izadi, M.; Shahrabi, T.; Ramezanzadeh, B. Active corrosion protection performance of an epoxy coating applied on the mild steel modified with an eco-friendly sol-gel film impregnated with green corrosion inhibitor loaded nanocontainers. Appl. Surf. Sci. 2018, 440, 491–505. [Google Scholar] [CrossRef]
- Li, L.; Dong, C.; Liu, L.; Li, J.; Xiao, K.; Zhang, D.; Li, X. Preparation and characterization of pH-controlled-release intelligent corrosion inhibitor. Mater. Lett. 2014, 116, 318–321. [Google Scholar] [CrossRef]
- Haddadi, S.A.; Ramazani, S.A.A.; Mahdavian, M.; Arjmand, M. Epoxy nanocomposite coatings with enhanced dual active/barrier behavior containing graphene-based carbon hollow spheres as corrosion inhibitor nanoreservoirs. Corros. Sci. 2021, 185, 109428. [Google Scholar] [CrossRef]
- Wen, J.; Lei, J.; Chen, J.; Gou, J.; Li, Y.; Li, L. An Intelligent Coating Based on pH-Sensitive Hybrid Hydrogel for Corrosion Protection of Mild Steel. Chem. Eng. J. 2019, 392, 123742. [Google Scholar] [CrossRef]
- Shkrob, I.A.; Zhu, Y.; Marin, T.W.; Abraham, D. Reduction of Carbonate Electrolytes and the Formation of Solid-Electrolyte Interface (SEI) in Lithium-Ion Batteries. 1. Spectroscopic Observations of Radical Intermediates Generated in One-Electron Reduction of Carbonates. J. Phys. Chem. C 2013, 117, 19255–19269. [Google Scholar] [CrossRef]
- Zhao, D.; Liu, S.; Wu, Y.; Guan, T.; Sun, N.; Ren, B. Self-healing UV light-curable resins containing disulfide group: Synthesis and application in UV coatings. Prog. Org. Coat. 2019, 133, 289–298. [Google Scholar] [CrossRef]
- Attia, A.M.A.; Nour, M.; El-Seesy, A.I.; Nada, S.A. The effect of castor oil methyl ester blending ratio on the environmental and the combustion characteristics of diesel engine under standard testing conditions. Sustain. Energy Technol. Assess. 2020, 42, 100843. [Google Scholar] [CrossRef]
- Aayisha, S.; Renuga Devi, T.S.; Janani, S.; Muthu, S.; Raja, M.; Sevvanthi, S. DFT, molecular docking and experimental FT-IR, FT-Raman, NMR inquisitions on “4-chloro-N-(4,5-dihydro-1H-imidazol-2-yl)-6-methoxy-2-methylpyrimidin-5-amine”: Alpha-2-imidazoline receptor agonist antihypertensive agent. J. Mol. Struct. 2019, 1186, 468–481. [Google Scholar] [CrossRef]
- Martín-Alfonso, J.E.; Martín-Alfonso, M.J.; Franco, J.M. Tunable rheological-tribological performance of “green” gel-like dispersions based on sepiolite and castor oil for lubricant applications. Appl. Clay Sci. 2020, 192, 105632. [Google Scholar] [CrossRef]
- Mahmoud, S.; Mohammad Hossein, A.; Alireza Sabour, R. Synergistic Corrosion Inhibition of Benzotriazole and Thiourea for Refineries and Petrochemical Plants. Prot. Met. Phys. Chem. Surf. 2022, 58, 200–215. [Google Scholar] [CrossRef]
- Liu, W.; Zhang, J.; Wang, W.; Deng, J.; Chen, B.; Yan, W.; Xiong, S.; Huang, Y.; Liu, J. Flotation behaviors of ilmenite, titanaugite, and forsterite using sodium oleate ads the collector. Miner. Eng. 2015, 72, 1–9. [Google Scholar] [CrossRef]
- Maia, F.; Tedim, J.; Lisenkov, A.D.; Salak, A.N.; Zheludkevich, M.L.; Ferreira, M.G.S. Silica nanocontainers for active corrosion protection. Nanoscale 2012, 4, 1287–1298. [Google Scholar] [CrossRef] [PubMed]
- Huang, Y.; Zhao, C.; Li, Y.; Wang, C.; Shen, T.; Wu, C.; Hu, Z.; Cheng, D.; Yang, H. Enhanced corrosion resistance and self-healing effect of sol–gel coating incorporating one-pot-synthesized corrosion inhibitor encapsulated silica nanocontainers. J. Sol Gel Sci. Technol. 2022, 104, 78–90. [Google Scholar] [CrossRef]
- Jiang, J.; Tang, Y.; Huang, L.; Peng, L.; Xu, Y.; Wei, G.; Li, Y. Nano-emulsification method as a strategy for oil soluble corrosion inhibitor transform to water soluble. J. Mol. Liq. 2023, 386, 122420. [Google Scholar] [CrossRef]
- Fan, W.; Li, W.; Zhang, Y.; Wang, W.; Zhang, X.; Song, L.; Liu, X. Cooperative self-healing performance of shape memory polyurethane and Alodine-containing microcapsules. RSC Adv. 2017, 7, 46778–46787. [Google Scholar] [CrossRef]












| Coating Type | Tensile Strength (MPa) | Adhesive Force (MPa) |
|---|---|---|
| EC coating | 1.86 ± 0.03 | 1.24 ± 0.02 |
| EC coating with 25% IMO-11 | 1.54 ± 0.08 | 1.07 ± 0.04 |
| EC coating with 25% IMO-11+6.25% Thiourea | 1.45 ± 0.06 | 1.06 ± 0.04 |
| EC coating with 25% IMO-11+12.5% Thiourea | 1.32 ± 0.11 | 1.01 ± 0.03 |
| EC coating with 25% IMO-11+6.25% Sodium Oleate | 1.47 ± 0.05 | 1.02 ± 0.05 |
| EC coating with 25% IMO-11+12.5% Sodium Oleate | 1.28 ± 0.09 | 0.94 ± 0.02 |
Disclaimer/Publisher’s Note: The statements, opinions and data contained in all publications are solely those of the individual author(s) and contributor(s) and not of MDPI and/or the editor(s). MDPI and/or the editor(s) disclaim responsibility for any injury to people or property resulting from any ideas, methods, instructions or products referred to in the content. |
© 2024 by the authors. Licensee MDPI, Basel, Switzerland. This article is an open access article distributed under the terms and conditions of the Creative Commons Attribution (CC BY) license (https://creativecommons.org/licenses/by/4.0/).
Share and Cite
Zhao, X.; Wang, J.; Zhang, H.; Zhang, H.; Ma, L.; Zhang, X.; Cheng, W.; Zhang, H.; Khalaf, A.H.; Lin, B.; et al. Self-Healing Performance of Cellulose-Based Gel Coating with Highly Loaded Hybrid Inhibitor. Coatings 2024, 14, 917. https://doi.org/10.3390/coatings14070917
Zhao X, Wang J, Zhang H, Zhang H, Ma L, Zhang X, Cheng W, Zhang H, Khalaf AH, Lin B, et al. Self-Healing Performance of Cellulose-Based Gel Coating with Highly Loaded Hybrid Inhibitor. Coatings. 2024; 14(7):917. https://doi.org/10.3390/coatings14070917
Chicago/Turabian StyleZhao, Xiong, Jixing Wang, Haibing Zhang, Hailong Zhang, Lu Ma, Xianfeng Zhang, Wenhua Cheng, Huiyu Zhang, Ali Hussein Khalaf, Bing Lin, and et al. 2024. "Self-Healing Performance of Cellulose-Based Gel Coating with Highly Loaded Hybrid Inhibitor" Coatings 14, no. 7: 917. https://doi.org/10.3390/coatings14070917
APA StyleZhao, X., Wang, J., Zhang, H., Zhang, H., Ma, L., Zhang, X., Cheng, W., Zhang, H., Khalaf, A. H., Lin, B., & Tang, J. (2024). Self-Healing Performance of Cellulose-Based Gel Coating with Highly Loaded Hybrid Inhibitor. Coatings, 14(7), 917. https://doi.org/10.3390/coatings14070917

