Production of Porous ZrO2–TiO2 Ceramic Coatings on the Biomedical Ti-6Al-4V Alloy via AC PEO Treatment and Their Effects on the Corrosion Behavior in 0.9% NaCl
Abstract
1. Introduction
2. Materials and Methods
3. Results
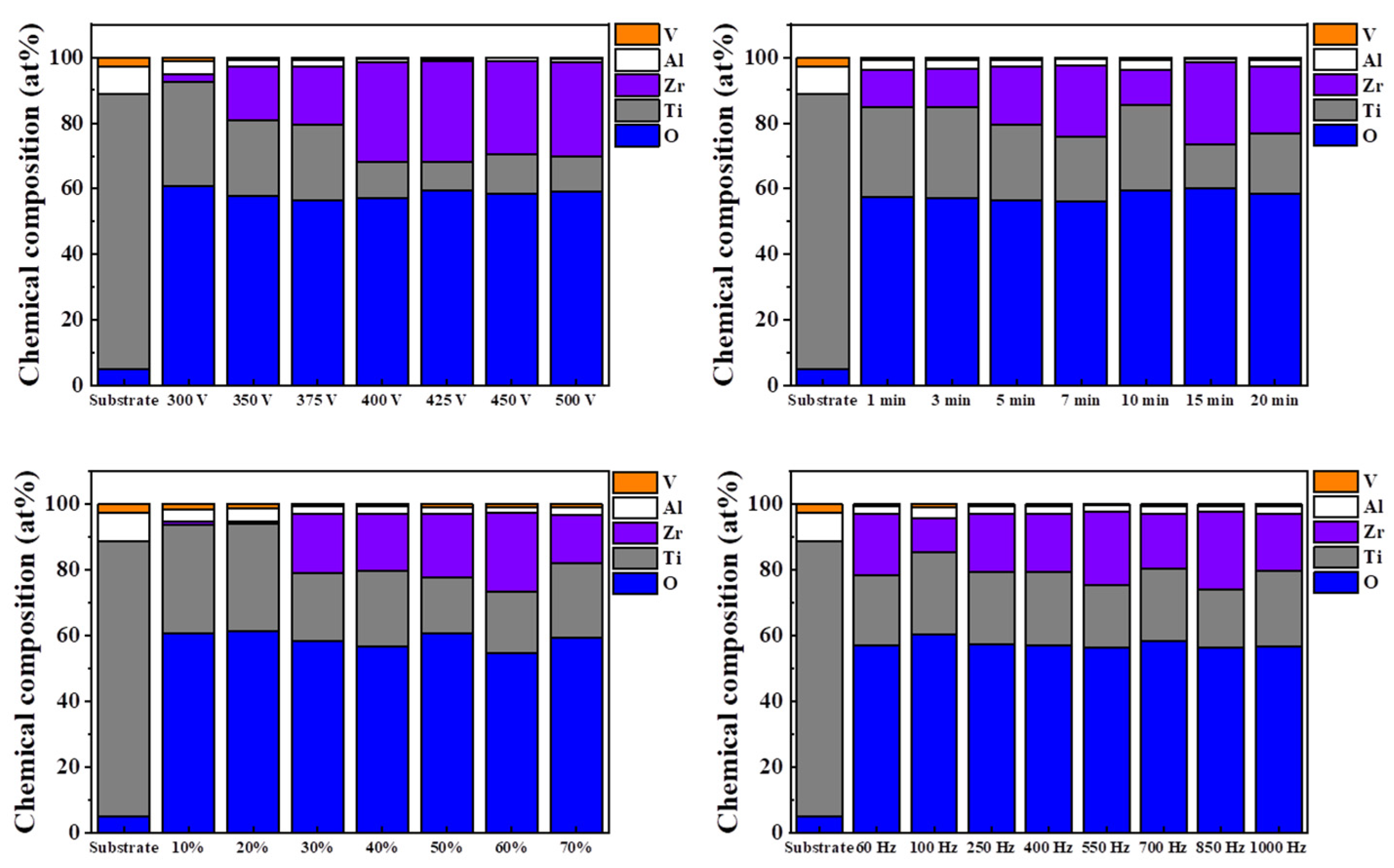
3.1. Effect of Electrical AC Parameters
3.2. Preliminary Electrochemical Evaluation for Biomedical Applications
4. Discussion
5. Conclusions
- The electrical AC parameters affected the initial current density without significant modification in the overall shape of the curves, indicating some minor changes in the oxidative reactions and plasma micro-discharges;
- The topography of the PEO-treated samples depended differently on each electrical AC parameter, interfering in the domain of oxidative reactions or plasma micro-discharges, resulting in a smooth and thick oxide layer with porous structures;
- The chemical analyses indicated that the PEO treatment successfully incorporated ZrO2 in the TiO2 layer, bio-camouflaging the surface of the potentially harmful Al and V ions. Moreover, the electrical AC parameters did not modify the ability to absorb organic molecules from the ambient environment, the plasma micro-discharges promote the formation of a considerable amount of ZrTiO4;
- All the PEO-treated samples depicted micro-scaled thickness and roughness without clear dependence on the electrical AC parameters. However, all the PEO-treated samples showed considerable hydrophobic behavior compared to the bare substrate, which was related to the role of ZrO2 enrichment on the surface;
- Electrochemical evaluation of selected PEO-treated samples in 0.9% NaCl indicated a considerable enhancement of the average OCP, corrosion current density, corrosion potential, and impedance values compared to the bare substrate. The EIS results indicated the presence of a single CPE element with a significant capacitive aspect, which provided protection and nobler behavior of the metallic surface;
- The selected PEO-treated samples resulted in porous ZrO2–TiO2 ceramic coatings with superior corrosion strength, which could benefit biomedical implants, especially those used for hard-tissue replacements in the long-term. Further biological and antimicrobial testing can be helpful to screen its potential thoroughly as a biomaterial.
Supplementary Materials
Author Contributions
Funding
Institutional Review Board Statement
Informed Consent Statement
Data Availability Statement
Acknowledgments
Conflicts of Interest
References
- Sarraf, M.; Rezvani Ghomi, E.; Alipour, S.; Ramakrishna, S.; Liana Sukiman, N. A State-of-the-Art Review of the Fabrication and Characteristics of Titanium and Its Alloys for Biomedical Applications. Bio-Des. Manuf. 2022, 5, 371–395. [Google Scholar] [CrossRef] [PubMed]
- Pesode, P.; Barve, S. A Review—Metastable β Titanium Alloy for Biomedical Applications. J. Eng. Appl. Sci. 2023, 70, 25. [Google Scholar] [CrossRef]
- SHao, L.; Du, Y.; Dai, K.; Wu, H.; Wang, Q.; Liu, J.; Tang, Y. β-Ti Alloys for Orthopedic and Dental Applications: A Review. Coatings 2021, 11, 1446. [Google Scholar] [CrossRef]
- Kaur, M.; Singh, K. Review on Titanium and Titanium Based Alloys as Biomaterials for Orthopaedic Applications. Mater. Sci. Eng. C 2019, 102, 844–862. [Google Scholar] [CrossRef] [PubMed]
- Eliaz, N. Corrosion of Metallic Biomaterials: A Review. Materials 2019, 12, 407. [Google Scholar] [CrossRef] [PubMed]
- Mirza, A.; King, A.; Troakes, C.; Exley, C. Aluminium in Brain Tissue in Familial Alzheimer’s Disease. J. Trace Elem. Med. Biol. 2017, 40, 30–36. [Google Scholar] [CrossRef] [PubMed]
- Exley, C.; Clarkson, E. Aluminium in Human Brain Tissue from Donors without Neurodegenerative Disease: A Comparison with Alzheimer’s Disease, Multiple Sclerosis and Autism. Sci. Rep. 2020, 10, 7770. [Google Scholar] [CrossRef] [PubMed]
- Mold, M.; Chmielecka, A.; Rodriguez, M.R.R.; Thom, F.; Linhart, C.; King, A.; Exley, C. Aluminium in Brain Tissue in Multiple Sclerosis. Int. J. Environ. Res. Public Health 2018, 15, 1777. [Google Scholar] [CrossRef]
- Simchen, F.; Sieber, M.; Kopp, A.; Lampke, T. Introduction to Plasma Electrolytic Oxidation—An Overview of the Process and Applications. Coatings 2020, 10, 628. [Google Scholar] [CrossRef]
- Sikdar, S.; Menezes, P.V.; Maccione, R.; Jacob, T.; Menezes, P.L. Plasma Electrolytic Oxidation (PEO) Process—Processing, Properties, and Applications. Nanomaterials 2021, 11, 1375. [Google Scholar] [CrossRef]
- Aliofkhazraei, M.; Macdonald, D.D.; Matykina, E.; Parfenov, E.V.; Egorkin, V.S.; Curran, J.A.; Troughton, S.C.; Sinebryukhov, S.L.; Gnedenkov, S.V.; Lampke, T.; et al. Review of Plasma Electrolytic Oxidation of Titanium Substrates: Mechanism, Properties, Applications and Limitations. Appl. Surf. Sci. Adv. 2021, 5, 100121. [Google Scholar] [CrossRef]
- Molaei, M.; Nouri, M.; Babaei, K.; Fattah-Alhosseini, A. Improving Surface Features of PEO Coatings on Titanium and Titanium Alloys with Zirconia Particles: A Review. Surf. Interfaces 2021, 22, 100888. [Google Scholar] [CrossRef]
- Jiang, X.J.; Bao, S.J.; Zhang, L.W.; Zhang, X.Y.; Jiao, L.S.; Qi, H.B.; Wang, F. Effect of Zr on Microstructure and Properties of TC4 Alloy Fabricated by Laser Additive Manufacturing. J. Mater. Res. Technol. 2023, 24, 8782–8792. [Google Scholar] [CrossRef]
- Bapat, R.A.; Yang, H.J.; Chaubal, T.V.; Dharmadhikari, S.; Abdulla, A.M.; Arora, S.; Rawal, S.; Kesharwani, P. Review on Synthesis, Properties and Multifarious Therapeutic Applications of Nanostructured Zirconia in Dentistry. RSC Adv. 2022, 12, 12773–12793. [Google Scholar] [CrossRef]
- Patil, N.A.; Kandasubramanian, B. Biological and Mechanical Enhancement of Zirconium Dioxide for Medical Applications. Ceram. Int. 2020, 46, 4041–4057. [Google Scholar] [CrossRef]
- Nikoomanzari, E.; Fattah-alhosseini, A.; Pajohi Alamoti, M.R.; Keshavarz, M.K. Effect of ZrO2 Nanoparticles Addition to PEO Coatings on Ti–6Al–4V Substrate: Microstructural Analysis, Corrosion Behavior and Antibacterial Effect of Coatings in Hank’s Physiological Solution. Ceram. Int. 2020, 46, 13114–13124. [Google Scholar] [CrossRef]
- Nikoomanzari, E.; Fattah-alhosseini, A.; Karbasi, M.; Nourian, A. A Versatile TiO2/ZrO2 Nanocomposite Coating Produced on Ti-6Al-4V via Plasma Electrolytic Oxidation Process. Surf. Interfaces 2022, 32, 102128. [Google Scholar] [CrossRef]
- ASTM F136-13; Standard Specification for Wrought Titanium-6Aluminum-4Vanadium ELI (Extra Low Interstitial) Alloy for Surgical Implant Applications (UNS R56401). ASTM International: West Conshohocken, PA, USA, 2021.
- Marcuz, N.; Ribeiro, R.P.; Rangel, E.C.; Cruz, N.C.; Possato, L.G.; Coan, K.S.; Grandini, C.R.; Correa, D.R.N. Exploiting the Effect of PEO Parameters on the Surface of AISI 1020 Low-Carbon Steel Treated in a TaOH-Rich Electrolyte. Surf. Coat. Technol. 2024, 477, 130374. [Google Scholar] [CrossRef]
- Venkateswarlu, K.; Rameshbabu, N.; Sreekanth, D.; Bose, A.C.; Muthupandi, V.; Babu, N.K.; Subramanian, S. Role of Electrolyte Additives on In-Vitro Electrochemical Behavior of Micro Arc Oxidized Titania Films on Cp Ti. Appl. Surf. Sci. 2012, 258, 6853–6863. [Google Scholar] [CrossRef]
- Wang, R.; Ni, S.; Ma, L.; Li, M. Porous Construction and Surface Modification of Titanium-Based Materials for Osteogenesis: A Review. Front. Bioeng. Biotechnol. 2022, 10, 973297. [Google Scholar] [CrossRef]
- Li, G.; Ma, F.; Liu, P.; Qi, S.; Li, W.; Zhang, K.; Chen, X. Review of Micro-Arc Oxidation of Titanium Alloys: Mechanism, Properties and Applications. J. Alloys Compd. 2023, 948, 169773. [Google Scholar] [CrossRef]
- Abbas, A.; Kung, H.-P.; Lin, H.-C. Effects of Electrical Parameters on Micro-Arc Oxidation Coatings on Pure Titanium. Micromachines 2023, 14, 1950. [Google Scholar] [CrossRef] [PubMed]
- Sobolev, A.; Kossenko, A.; Borodianskiy, K. Study of the Effect of Current Pulse Frequency on Ti-6Al-4V Alloy Coating Formation by Micro Arc Oxidation. Materials 2019, 12, 3983. [Google Scholar] [CrossRef] [PubMed]
- Gabor, R.; Doubkova, M.; Gorosova, S.; Malanik, K.; Vandrovcova, M.; Cvrcek, L.; Drobikova, K.; Mamulova Kutlakova, K.; Bacakova, L. Preparation of Highly Wettable Coatings on Ti–6Al–4V ELI Alloy for Traumatological Implants Using Micro-Arc Oxidation in an Alkaline Electrolyte. Sci. Rep. 2020, 10, 19780. [Google Scholar] [CrossRef]
- Tikhani, F.; Shirkavand Hadavand, B.; Fakharizadeh Bafghi, H.; Jouyandeh, M.; Vahabi, H.; Formela, K.; Hosseini, H.; Paran, S.M.R.; Esmaeili, A.; Mohaddespour, A.; et al. Polyurethane/Silane-Functionalized ZrO2 Nanocomposite Powder Coatings: Thermal Degradation Kinetics. Coatings 2020, 10, 413. [Google Scholar] [CrossRef]
- Gao, Y.; Masuda, Y.; Seo, W.-S.; Ohta, H.; Koumoto, K. TiO2 Nanoparticles Prepared Using an Aqueous Peroxotitanate Solution. Ceram. Int. 2004, 30, 1365–1368. [Google Scholar] [CrossRef]
- Mohsen, Q.; Al-Gethami, W.S.; Zaki, Z.; Alotaibi, S.H.; Ibrahim, M.M.; Ezzat, M.; Amin, M.A.; Kamel, M.M.; Mostafa, N.Y. Effect of PH on Hydrothermal Synthesis of ZrO2 Nanoparticles and Their Electrocatalytic Activity for Hydrogen Production. Int. J. Electrochem. Sci. 2022, 17, 22073. [Google Scholar] [CrossRef]
- Maj, Ł.; Muhaffel, F.; Jarzębska, A.; Trelka, A.; Balin, K.; Bieda, M.; Cimenoglu, H. Unveiling the Mechanisms of Coating Formation during Micro-Arc Oxidation of Titanium in Na2HPO4 Electrolyte. Surf. Coat. Technol. 2024, 476, 130224. [Google Scholar] [CrossRef]
- Yang, G.; Meng, Y.; Qian, C.; Chen, X.; Liu, P.; Zhou, H.; Kang, B.; Tang, X.; Diao, L.; Zhou, F. Review of Microarc Oxidation of Titanium Implant. J. Vac. Sci. Technol. B 2023, 41, 060801. [Google Scholar] [CrossRef]
- Echeverry-Rendón, M.; Galvis, O.; Aguirre, R.; Robledo, S.; Castaño, J.G.; Echeverría, F. Modification of Titanium Alloys Surface Properties by Plasma Electrolytic Oxidation (PEO) and Influence on Biological Response. J. Mater. Sci. Mater. Med. 2017, 28, 169. [Google Scholar] [CrossRef]
- Rahmouni, K.; Besnard, A.; Oulmi, K.; Nouveau, C.; Hidoussi, A.; Aissani, L.; Zaabat, M. In Vitro Corrosion Response of CoCrMo and Ti-6Al-4V Orthopedic Implants with Zr Columnar Thin Films. Surf. Coat. Technol. 2022, 436, 128310. [Google Scholar] [CrossRef]
- Moura de Souza Soares, F.; Barbosa, D.M.; Reis Corado, H.P.; de Carvalho Santana, A.I.; Elias, C.N. Surface Morphology, Roughness, and Corrosion Resistance of Dental Implants Produced by Additive Manufacturing. J. Mater. Res. Technol. 2022, 21, 3844–3855. [Google Scholar] [CrossRef]
- Zhang, Y.M.; Chai, F.; Hornez, J.-C.; Li, C.L.; Zhao, Y.M.; Traisnel, M.; Hildebrand, H.F. The Corrosion and Biological Behaviour of Titanium Alloys in the Presence of Human Lymphoid Cells and MC3T3-E1 Osteoblasts. Biomed. Mater. 2009, 4, 015004. [Google Scholar] [CrossRef] [PubMed]
- Barril, S.; Mischler, S.; Landolt, D. Electrochemical Effects on the Fretting Corrosion Behaviour of Ti6Al4V in 0.9% Sodium Chloride Solution. Wear 2005, 259, 282–291. [Google Scholar] [CrossRef]
- Ejenstam, L.; Tuominen, M.; Haapanen, J.; Mäkelä, J.M.; Pan, J.; Swerin, A.; Claesson, P.M. Long-Term Corrosion Protection by a Thin Nano-Composite Coating. Appl. Surf. Sci. 2015, 357, 2333–2342. [Google Scholar] [CrossRef]
- Zhang, W.; Guo, H.; Sun, H.; Zeng, R.-C. Photogenerated Cathodic Protection and Invalidation of Silane/TiO2 Hybrid Coatings. J. Coat. Technol. Res. 2017, 14, 417–424. [Google Scholar] [CrossRef]
- Li, R.; Liu, L.; Cui, Y.; Liu, R.; Wang, F. Corrosion Behavior of Pure Ti under Continuous NaCl Solution Spraying at 600 °C. npj Mater. Degrad. 2022, 6, 53. [Google Scholar] [CrossRef]













| Sample Designation | Voltage (V) | Time (min) | Duty Cycle (%) | Frequency (Hz) |
|---|---|---|---|---|
| 300 V | 300 | 5 | 40 | 1000 |
| 350 V | 350 | |||
| 375 V | 375 | |||
| 400 V | 400 | |||
| 425 V | 425 | |||
| 450 V | 450 | |||
| 500 V | 500 | |||
| 1 min | 375 | 1 | 40 | 1000 |
| 3 min | 3 | |||
| 5 min | 5 | |||
| 7 min | 7 | |||
| 10 min | 10 | |||
| 15 min | 15 | |||
| 20 min | 20 | |||
| 10% | 375 | 5 | 10 | 1000 |
| 20% | 20 | |||
| 30% | 30 | |||
| 40% | 40 | |||
| 50% | 50 | |||
| 60% | 60 | |||
| 70% | 70 | |||
| 60 Hz | 375 | 5 | 40 | 60 |
| 100 Hz | 100 | |||
| 250 Hz | 250 | |||
| 400 Hz | 400 | |||
| 550 Hz | 550 | |||
| 700 Hz | 700 | |||
| 850 Hz | 850 | |||
| 1000 Hz | 1000 |
| Analysis | Parameters | Substrate | 20 min | 375 V | 500 V |
|---|---|---|---|---|---|
| OCP PDP | Average OCP (V) | −0.067 | 0.493 | 0.326 | 0.505 |
| Ecorr (mV) | −381.3 | 182.5 | −68.7 | −55.5 | |
| Icorr (nA·cm−2) | 302.3 | 532.5 | 659.3 | 105.5 | |
| EIS | Rp (MΩ·cm2) | 0.244 | 0.267 | 0.183 | 0.276 |
| Rs (MΩ·cm2) | 5.27 × 10−5 | 4.67 × 10−5 | 4.10 × 10−5 | 3.33 × 10−5 | |
| CPEox (µF·cm2) | 78.8 | 11.9 | 9.1 | 20.9 | |
| n/p | 0.83 | 0.72 | 0.75 | 0.54 | |
| Rox (MΩ·cm2) | 3.38 × 10−3 | 4.11 × 10−3 | 4.87 × 10−3 | 2.26 × 10−3 | |
| Cdl (µF·cm2) | 40.8 | 36.4 | 52.4 | 119.4 | |
| n/p | 0.83 | 0.60 | 0.58 | 0.61 | |
| Rct (MΩ·cm2) | 1.30 × 10−3 | 0.13 × 10−3 | 0.17 × 10−3 | 0.35 × 10−3 | |
| χ2 | 5.14 × 10−4 | 2.17 × 10−3 | 3.94 × 10−3 | 6.37 × 10−4 |
Disclaimer/Publisher’s Note: The statements, opinions and data contained in all publications are solely those of the individual author(s) and contributor(s) and not of MDPI and/or the editor(s). MDPI and/or the editor(s) disclaim responsibility for any injury to people or property resulting from any ideas, methods, instructions or products referred to in the content. |
© 2024 by the authors. Licensee MDPI, Basel, Switzerland. This article is an open access article distributed under the terms and conditions of the Creative Commons Attribution (CC BY) license (https://creativecommons.org/licenses/by/4.0/).
Share and Cite
da Silva, A.C.N.; Ribeiro, R.P.; Rangel, E.C.; da Cruz, N.C.; Correa, D.R.N. Production of Porous ZrO2–TiO2 Ceramic Coatings on the Biomedical Ti-6Al-4V Alloy via AC PEO Treatment and Their Effects on the Corrosion Behavior in 0.9% NaCl. Coatings 2024, 14, 866. https://doi.org/10.3390/coatings14070866
da Silva ACN, Ribeiro RP, Rangel EC, da Cruz NC, Correa DRN. Production of Porous ZrO2–TiO2 Ceramic Coatings on the Biomedical Ti-6Al-4V Alloy via AC PEO Treatment and Their Effects on the Corrosion Behavior in 0.9% NaCl. Coatings. 2024; 14(7):866. https://doi.org/10.3390/coatings14070866
Chicago/Turabian Styleda Silva, Aline C. N., Rafael P. Ribeiro, Elidiane C. Rangel, Nilson C. da Cruz, and Diego R. N. Correa. 2024. "Production of Porous ZrO2–TiO2 Ceramic Coatings on the Biomedical Ti-6Al-4V Alloy via AC PEO Treatment and Their Effects on the Corrosion Behavior in 0.9% NaCl" Coatings 14, no. 7: 866. https://doi.org/10.3390/coatings14070866
APA Styleda Silva, A. C. N., Ribeiro, R. P., Rangel, E. C., da Cruz, N. C., & Correa, D. R. N. (2024). Production of Porous ZrO2–TiO2 Ceramic Coatings on the Biomedical Ti-6Al-4V Alloy via AC PEO Treatment and Their Effects on the Corrosion Behavior in 0.9% NaCl. Coatings, 14(7), 866. https://doi.org/10.3390/coatings14070866

