Lady’s Mantle Flower as a Biodegradable Plant-Based Corrosion Inhibitor for CO2 Carbon Steel Corrosion
Abstract
1. Introduction
2. Materials and Methods
3. Results and Discussion
3.1. Electrochemical Measurements
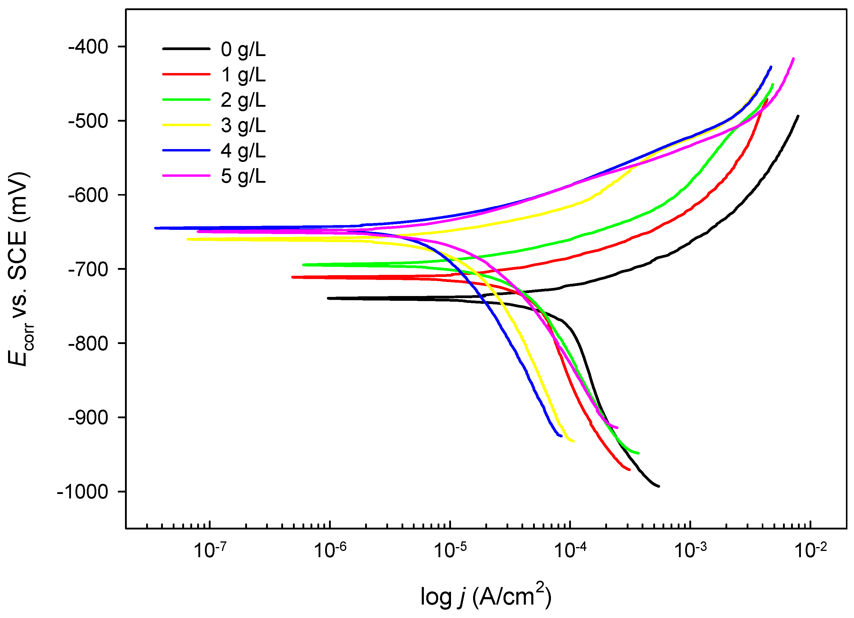
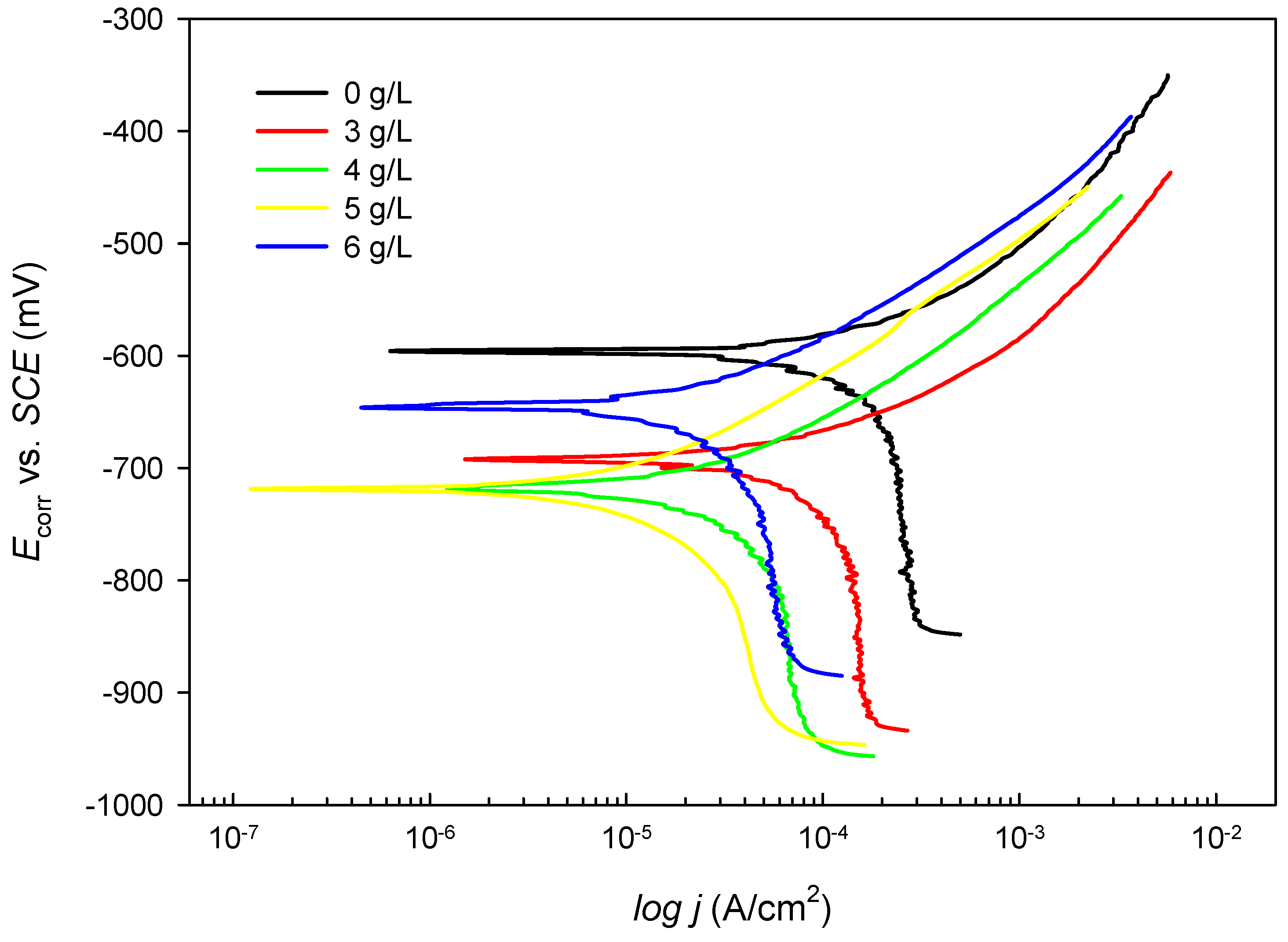
3.1.1. Potentiodynamic Polarization


| γ (g/L) | Ecorr (mV) | jcorr (µA/cm2) | −βk (V/dec) | βa (V/dec) | vcorr (mm/year) | IE (%) | σ |
|---|---|---|---|---|---|---|---|
| 0 | −741 | 97.627 | 0.517 | 0.065 | 1.136 | - | - |
| 1 | −699 | 46.199 | 0.375 | 0.054 | 0.538 | 52.64 | 1.49 |
| 2 | −685 | 34.675 | 0.287 | 0.053 | 0.404 | 64.44 | 1.92 |
| 3 | −662 | 13.370 | 0.275 | 0.053 | 0.156 | 86.27 | 2.51 |
| 4 | −641 | 5.516 | 0.182 | 0.038 | 0.064 | 94.37 | 1.44 |
| 5 | −640 | 12.352 | 0.188 | 0.057 | 0.144 | 87.32 | 1.59 |
| γ (g/L) | Ecorr (mV) | jcorr (µA/cm2) | −βk (V/dec) | βa (V/dec) | vcorr (mm/year) | IE (%) | σ |
|---|---|---|---|---|---|---|---|
| 0 | −613 | 175.441 | 0.686 | 0.145 | 2.042 | - | - |
| 3 | −683 | 86.783 | 0.626 | 0.085 | 1.010 | 50.54 | 1.49 |
| 4 | −708 | 32.193 | 0.347 | 0.099 | 0.351 | 82.81 | 1.18 |
| 5 | −713 | 8.845 | 0.158 | 0.084 | 0.103 | 94.96 | 2.77 |
| 6 | −642 | 18.330 | 0.206 | 0.078 | 0.213 | 89.57 | 2.28 |
- Potentiodynamic polarization in static conditions
- Potentiodynamic polarization in flow conditions
3.1.2. Electrochemical Impedance Spectroscopy
3.2. Scanning Electron Microscopy (SEM) and Fourier Transform Infrared Spectroscopy (FTIR)
3.3. Biodegradability and Toxicity Measurements
4. Conclusions
Author Contributions
Funding
Institutional Review Board Statement
Informed Consent Statement
Data Availability Statement
Conflicts of Interest
References
- Nesic, S.; Wang, S.; Cai, J.; Xiao, Y. Integrated CO2 Corrosion-Multiphase Flow Model. In Proceedings of the SPE International Symposium on Oilfield Corrosion, Aberdeen, UK, 28 May 2004; OnePetro: Aberdeen, UK, 2004. [Google Scholar]
- Koch, G.; Varney, J.; Thompson, N.; Moghissi, O.; Gould, M.; Payer, J. International Measures and Prevention, Application and Economics of Corrosion Technologies Study; NACE International: Houston, TX, USA, 2016. [Google Scholar]
- CONCAWE. Performance of European Cross-Country Oil Pipelines—Details of Spillage Incidents from 2005. Available online: https://www.concawe.eu/publication/performance-of-european-cross-country-oil-pipelines-details-of-spillage-incidents-from-2005/ (accessed on 8 March 2024).
- Haldhar, R.; Vanaraj, R.; Dagdag, O.; Berisha, A.; Kim, S.-C. Convolvulus microphyllus Extract as a Green, Effective, and Affordable Corrosion Inhibitor: Theoretical Calculations and Experimental Studies. Coatings 2023, 13, 860. [Google Scholar] [CrossRef]
- Prasad, D.; Maithani, R.; El Ibrahimi, B. Mimosa pudica extract corrosion inhibitive nature for stainless steel in 0.5 mol L−1 sulfuric acid media. J. Mol. Liq. 2023, 389, 122940. [Google Scholar] [CrossRef]
- Simović, A.R.; Grgur, B.N.; Novaković, J.; Janaćković, P.; Bajat, J. Black Pine (Pinus nigra) essential oil as a green corrosion inhibitor for carbon steel. Metals 2023, 13, 508. [Google Scholar] [CrossRef]
- Gayakwad, N.; Patil, V.; Muralidhara Rao, B. The effect of Rhoeo discolor plant leaves extract on mild steel of corrosion inhibition in acid media. Mater. Today Proc. 2022, 49, 536–541. [Google Scholar] [CrossRef]
- Manh, T.D.; Huynh, T.L.; Thi, B.V.; Lee, S.; Yi, J.; Nguyen, D.N. Corrosion Inhibition of Mild Steel in Hydrochloric Acid Environments Containing Sonneratia caseolaris Leaf Extract. ACS Omega 2022, 7, 8874–8886. [Google Scholar] [CrossRef]
- Zehra, B.F.; Said, A.; Eddine, H.M.; Hamid, E.; Najat, H.; Rachid, N.; Toumert, L.I. Crataegus oxyacantha leaves extract for carbon steel protection against corrosion in 1M HCl: Characterization, electrochemical, theoretical research, and surface analysis. J. Mol. Struct. 2022, 1259, 132737. [Google Scholar] [CrossRef]
- Gapsari, F.; Darmadi, D.B.; Setyarini, P.H.; Izzuddin, H.; Madurani, K.A.; Tanji, A.; Hermawan, H. Nephelium lappaceum Extract as an Organic Inhibitor to Control the Corrosion of Carbon Steel Weldment in the Acidic Environment. Sustainability 2021, 13, 12135. [Google Scholar] [CrossRef]
- Mauro, A.C.; Ribeiro, B.D.; Garrett, R.; Borges, R.M.; da Silva, T.U.; de Paula Machado, S.; de Araujo, J.R.; de Oliveira Massafra, S.; de Oliveira Junior, F.O.R.; D’Elia, E. Ziziphus joazeiro Stem Bark Extract as a Green Corrosion Inhibitor for Mild Steel in Acid Medium. Processes 2021, 9, 1323. [Google Scholar] [CrossRef]
- Nwosu, F.O.; Amusat, S.O. Corrosion Inhibition of Mild Steel Using Parinari polyandra Leave Extracts in Diluted Hydrochloric Acids. Port. Electrochim. Acta 2021, 39, 431–449. [Google Scholar] [CrossRef]
- Saxena, A.; Prasad, D.; Thakur, K.K.; Kaur, J. PDP, EIS, and surface studies of the low-carbon steel by the extract of Tinospora cordifolia: A green approach to the corrosion inhibition. Arab. J. Sci. Eng. 2021, 46, 425–436. [Google Scholar] [CrossRef]
- Dehghani, A.; Bahlakeh, G.; Ramezanzadeh, B.; Ramezanzadeh, M. Potential role of a novel green eco-friendly inhibitor in corrosion inhibition of mild steel in HCl solution: Detailed macro/micro-scale experimental and computational explorations. Constr. Build. Mater. 2020, 245, 118464. [Google Scholar] [CrossRef]
- Saeed, M.T.; Saleem, M.; Niyazi, A.H.; Al-Shamrani, F.A.; Jazzar, N.A.; Ali, M. Carrot (Daucus carota L.) Peels Extract as an Herbal Corrosion Inhibitor for Mild Steel in 1M HCl Solution. Mod. Appl. Sci. 2020, 14, 97–112. [Google Scholar] [CrossRef]
- Sedik, A.; Lerari, D.; Salci, A.; Athmani, S.; Bachari, K.; Gecibesler, I.H.; Solmaz, R. Dardagan Fruit extract as eco-friendly corrosion inhibitor for mild steel in 1 M HCl: Electrochemical and surface morphological studies. J. Taiwan Inst. Chem. Eng. 2020, 107, 189–200. [Google Scholar] [CrossRef]
- Dehghani, A.; Blahlakeh, G.; Ramezanzadeh, B.; Ramezanzadeh, M. A combined experimental and theoretical study of green corrosion inhibition of mild steel in HCl solution by aqueous Citrullus lanatus fruit (CLF) extract. J. Mol. Liq. 2019, 279, 603–624. [Google Scholar] [CrossRef]
- Khan, M.; Abdullah, M.M.S.; Mahmood, A.; Al-Mayouf, A.M.; Alkhathlan, H.Z. Evaluation of Matricaria aurea Extracts as Effective Anti-Corrosive Agent for Mild Steel in 1.0 M HCl and Isolation of Their Active Ingredients. Sustainability 2019, 11, 7174. [Google Scholar] [CrossRef]
- Wang, Q.; Tan, B.; Bao, H.; Xie, Y.; Mou, Y.; Li, P.; Chen, D.; Shi, Y.; Li, X.; Yang, W. Evaluation of Ficus tikoua leaves extract as an eco-friendly corrosion inhibitor for carbon steel in HCl media. Bioelectrochemistry 2019, 128, 49–55. [Google Scholar] [CrossRef]
- Saxena, A.; Prasad, D.; Haldhar, R.; Singh, G.; Kumar, A. Use of Saraca ashoka extract as green corrosion inhibitor for mild steel in 0.5 M H2SO4. J. Mol. Liq. 2018, 258, 89–97. [Google Scholar] [CrossRef]
- Qiang, Y.; Zhang, S.; Tan, B.; Chen, S. Evaluation of Ginkgo leaf extract as an eco-friendly corrosion inhibitor of X70 steel in HCl solution. Corros. Sci. 2018, 133, 6–16. [Google Scholar] [CrossRef]
- Saxena, A.; Prasad, D.; Haldhar, R.; Singh, G.; Kumar, A. Use of Sida cordifolia extract as green corrosion inhibitor for mild steel in 0.5 M H2SO4. J. Environ. Chem. Eng. 2018, 6, 694–700. [Google Scholar] [CrossRef]
- Ugi, B.U.; Obeten, M.E.; Magu, T.O. Phytochemical constituents of Taraxacum officinale leaves as eco-friendly and nontoxic organic inhibitors for stainless steel corrosion in 0.2 M HCl acid Medium. Int. J. Chem. Sci. 2018, 2, 35–43. [Google Scholar]
- Martinović, I.; Pilić, Z.; Zlatić, G.; Barišić, M.; Čelan, S. Corrosion Inhibition of Aluminium by Alchemilla vulgaris L. Extract in 3% NaCl Solution. Croat. Chem. Acta 2021, 94, 103–109. [Google Scholar] [CrossRef]
- Barbouchi, M.; Benzidia, B.; Aouidate, A.; Ghaleb, A.; El Idrissi, M.; Choukrad, M. Theoretical modeling and experimental studies of Terebinth extracts as green corrosion inhibitor for iron in 3% NaCl medium. J. King Saud Univ.—Sci. 2020, 32, 2995–3004. [Google Scholar] [CrossRef]
- Devikala, S.; Kamaraj, P.; Arthanareeswari, M.; Patel, M.B. Green corrosion inhibition of mild steel by aqueous Allium sativum extract in 3.5% NaCl. Mater. Today Proc. 2019, 14, 580–589. [Google Scholar] [CrossRef]
- Devikala, S.; Kamaraj, P.; Arthanareeswari, M.; Pavithra, S. Green corrosion inhibition of mild steel by Asafoetida extract in 3.5% NaCl. Mater. Today Proc. 2019, 14, 590–601. [Google Scholar] [CrossRef]
- Alibakhshi, E.; Ramezanzadeh, M.; Haddadi, S.A.; Bahlakeh, G.; Ramezanzadeh, B.; Mahdavian, M. Persian Liquorice extract as a highly efficient sustainable corrosion inhibitor for mild steel in sodium chloride solution. J. Clean. Prod. 2018, 210, 660–670. [Google Scholar] [CrossRef]
- Prifiharni, S.; Nikitasari, A.; Priyotomo, G.; Musabikha, S.; Kusumastuti, R. Seaweed (Sargassum polycystum) extract as eco-friendly corrosion inhibitor for mild steel in CO2-saturated 3.5% NaCl solution. AIP Conf. Proc. 2024, 3003, 020053. [Google Scholar] [CrossRef]
- Žbulj, K.; Hrnčević, L.; Bilić, G.; Simon, K. Dandelion-Root Extract as Green Corrosion Inhibitor for Carbon Steel in CO2-Saturated Brine Solution. Energies 2022, 15, 3074. [Google Scholar] [CrossRef]
- Žbulj, K.; Bilić, G.; Hrnčević, L.; Simon, K. Potential of using plant extracts as green corrosion inhibitors in the petroleum industry. Rud.-Geološko-Naft. Zb. 2021, 36, 131–139. [Google Scholar] [CrossRef]
- Aribo, S.; Olusegun, S.J.; Ibhadiyi, L.J.; Oyetunji, A.; Folorunso, D.O. Green inhibitors for corrosion protection in acidizing oilfield environment. J. Assoc. Arab. Univ. Basic Appl. Sci. 2017, 24, 34–38. [Google Scholar] [CrossRef]
- Pustaj, G.; Kapor, F.; Jakovljević, S. Carbon dioxide corrosion of carbon steel and corrosion inhibition by natural olive leaf extract: Die Kohlendioxid-Korrosion von Kohlenstoffstahl und die Korrosionshemmung durch natürlichen Olivenblattextrakt. Mater. Werkst. 2017, 48, 122–138. [Google Scholar] [CrossRef]
- Fazal, B.R.; Becker, T.; Kinsella, B.; Lepkova, K. A review of plant extracts as green corrosion inhibitors for CO2 corrosion of carbon steel. npj Mater. Degrad. 2022, 6, 5. [Google Scholar] [CrossRef]
- Shang, Z.; Zhu, J. Overview on plant extracts as green corrosion inhibitors in the oil and gas fields. J. Mater. Res. Technol. 2021, 15, 5078–5094. [Google Scholar] [CrossRef]
- Chima, M.O.; Popoola, L.T.; Archibong, F.N.; Nwokeocha, T.O.; Nlemedim, P.U.; Allen, M.A. A novel application of CO2 corrosion inhibitory potentials of banana peel extract on mild steel: Experimental studies. S. Afr. J. Chem. Eng. 2024, 47, 246–253. [Google Scholar] [CrossRef]
- Tadic, V.; Krgović, N.; Žugić, A. Lady’s mantle (Alchemilla vulgaris L., Rosaceae): A review of traditional uses, phytochemical profile, and biological properties. Lek. Sirovine 2020, 40, 66–74. [Google Scholar] [CrossRef]
- Grlić, L. Enciklopedija Samoniklog Jestivog Bilja, 2nd ed.; August Cesarec: Zagreb, Croatia, 1990; p. 392. [Google Scholar]
- Sastri, V.S. Green Corrosion Inhibitors: Theory and Practice; John Wiley & Sons, Inc.: Hoboken, NJ, USA, 2011. [Google Scholar]
- Tran, T.; Brown, B.; Nesic, S. Corrosion of Mild Steel in an Aqueous CO2 Environment—Basic Electrochemical Mechanisms Revisited. In Proceedings of the CORROSION 2015 Conference & Expo, Dallas, TX, USA, 15–19 March 2015. Paper No. 5671. [Google Scholar]
- Linter, B.R.; Burstein, G.T. Reactions of pipeline steels in carbon dioxide solutions. Corros. Sci. 1999, 41, 117–139. [Google Scholar] [CrossRef]
- Remita, E.; Tribollet, B.; Sutter, E.; Vivier, V.; Ropital, F.; Kittel, J. Hydrogen evolution in aqueous solutions containing dissolved CO2: Quantitative contribution of the buffering effect. Corros. Sci. 2008, 50, 1433–1440. [Google Scholar] [CrossRef]
- Žbulj, K. Extracts of Selected Plants as Steel Corrosion Inhibitors in Hydrocarbon Production and Transportation Systems. Ph.D. Thesis, Faculty of Mining, Geology and Petroleum Engineering, University of Zagreb, Zagreb, Croatia, 7 December 2021. [Google Scholar]
- Jiang, X.; Zheng, Y.; Ke, W. Effect of flow velocity and entrained sand on inhibition performances of two inhibitors for CO2 corrosion of N80 steel in 3% NaCl solution. Corros. Sci. 2005, 47, 2636–2658. [Google Scholar] [CrossRef]
- Esih, I.; Sorić, T.; Pavlinić, Z. Time dependence of inhibiting effect of amidoamines in CO2 saturated chloride solutions. Br. Corros. J. 1998, 33, 309–314. [Google Scholar] [CrossRef]
- Pospelov, M.V.; Ignatov, A.V.; Yaminskiy, V.V.; Fokin, A.V. Hydrophobic interaction in inhibiting acid corrosion of steel by aliphatic amines. In Proceedings of the 6th European Symposium on Corrosion Inhibitors, Ferrara, Italy, 16–20 September 1985; Annali dell’Universita di Ferrara: Ferrara, Italy, 1985; pp. 455–464. [Google Scholar]
- Ekawati, D.; Berntsen, T.; Seiersten, M.; Hemmingsen, T. Effect of Temperature, Bicarbonate, and MEG Concentrations on CO2 Corrosion of Carbon Steels. Corrosion 2017, 73, 1157–1167. [Google Scholar] [CrossRef]
- Desimone, M.P.; Grundmeier, G.; Gordillo, G.; Simison, S.N. Amphiphilic amido-amine as an effective corrosion inhibitor for mild steel exposed to CO2 saturated solution: Polarization, EIS and PM-IRRAS studies. Electrochim. Acta 2011, 56, 2990–2998. [Google Scholar] [CrossRef]
- Ahamad, I.; Prasad, R.; Quraishi, M.A. Inhibition of mild steel corrosion in acid solution by Pheniramine drug: Experimental and theoretical study. Corros. Sci. 2010, 52, 3033–3041. [Google Scholar] [CrossRef]
- Bobina, M.; Kellenberger, A.; Millet, J.P.; Muntean, C.; Vaszilcsin, N. Corrosion resistance of carbon steel in weak acid solutions in the presence of l-histidine as corrosion inhibitor. Corros. Sci. 2013, 69, 389–395. [Google Scholar] [CrossRef]
- Kahyarian, A.; Brown, B.; Nesic, S. Electrochemistry of CO2 corrosion of mild steel: Effect of CO2 on iron dissolution reaction. Corros. Sci. 2017, 129, 146–151. [Google Scholar] [CrossRef]
- Tao, Z.; Zhang, S.; Li, W.; Hou, B. Corrosion inhibition of mild steel in acidic solution by some oxo-triazole derivatives. Corros. Sci. 2009, 51, 2588–2595. [Google Scholar] [CrossRef]
- Satapathy, A.K.; Gunasekaran, G.; Sahoo, S.C.; Amit, K.; Rodrigues, P.V. Corrosion inhibition by Justicia gendarussa plant extract in hydrochloric acid solution. Corros. Sci. 2009, 51, 2848–2856. [Google Scholar] [CrossRef]
- Ferreira, E.S.; Giacomelli, C.; Giacomelli, F.C.; Spinelli, A. Evaluation of the inhibitor effect of l-ascorbic acid on the corrosion of mild steel. Corros. Sci. 2004, 83, 129–134. [Google Scholar] [CrossRef]
- Yan, Y.; Li, W.; Cai, L.; Hou, B. Electrochemical and quantum chemical study of purines as corrosion inhibitors for mild steel in 1 M HCl solution. Electrochim. Acta 2008, 53, 5953–5960. [Google Scholar] [CrossRef]
- Li, W.H.; He, Q.; Zhang, S.T.; Pei, C.L.; Hou, B.R. Some new triazole derivatives as inhibitors for mild steel corrosion in acidic medium. J. Appl. Electrochem. 2008, 38, 289–295. [Google Scholar] [CrossRef]
- Li, Z.; Zhang, J.; Cheng, J. The Influence of Critical Flow Velocity on Corrosion of Stainless Steel. J. Fail. Anal. Prev. 2017, 17, 1234–1240. [Google Scholar] [CrossRef]
- Nam, N.D.; Hien, P.V.; Hoai, N.T.; Thu, V.T.H. A study on the mixed corrosion inhibitor with a dominant cathodic inhibitor for mild steel in aqueous chloride solution. J. Taiwan Inst. Chem. Eng. 2018, 91, 556–569. [Google Scholar] [CrossRef]
- Pustaj, G.; Kapor, F.; Kvasnička, P. Inhibition properties and adsorption behavior of olive leaf extract on N80 carbon steel in CO2-saturated brine solution. Int. J. Mater. Res. 2014, 105, 992–998. [Google Scholar] [CrossRef]
- Khalil, M.M.H.; Ismail, E.H.; El-Magdoub, F. Biosynthesis of Au nanoparticles using olive leaf extract: 1st Nano Updates. Arab. J. Chem. 2012, 5, 431–437. [Google Scholar] [CrossRef]
- Aballe, A.; Bethencourt, M.; Botana, F.J.; Marcos, M. CeCl3 and LaCl3 binary solutions as environment-friendly corrosion inhibitors of AA5083 Al–Mg alloy in NaCl solutions. J. Alloys Compd. 2001, 323–324, 855–858. [Google Scholar] [CrossRef]
- El-Azazy, M.; Min, M.; Annus, P. (Eds.) Electrochemical Impedance Spectroscopy; IntechOpen: London, UK, 2020. [Google Scholar] [CrossRef]
- Pustaj, G.; Kapor, F.; Veinović, Ž. Olive Leaf Extract as a Corrosion Inhibitor of Carbon Steel in CO2-Saturated Chloride–Carbonate Solution. Int. J. Electrochem. Sci. 2016, 11, 7811–7829. [Google Scholar] [CrossRef]
- Herrera Hernández, H.; González Díaz, F.; Fajardo SanMiguel, G.; Velázquez Altamirano, J.C.; González Morán, C.O.; Morales Hernández, J. Electrochemical impedance spectroscopy as a practical tool for monitoring the carbonation process on reinforced concrete structures. Arab. J. Sci. Eng. 2019, 44, 10087–10103. [Google Scholar] [CrossRef]
- Perez, N. Electrochemistry and Corrosion Science, 1st ed.; Kluwer Academic Publishers: New York, NY, USA, 2004; 362p. [Google Scholar]
- Mendoza-Flores, J.; Durán-Romero, R.; Genescá-Llongueras, J. Espectroscopía de Impedancia Electroquímica en Corrosión. In Notas Técnicas Electroquímicas para el Control y Estudios de la Corrosión; Llongueras, J.G., Ed.; Universidad Nacional Autónoma de México (UNAM): Mexico City, Mexico, 2002; pp. 55–91. [Google Scholar]
- Herrera Hernández, H.; Ruiz Reynoso, A.M.; Trinidad González, J.C.; Gonzales Moran, C.O.; Miranda Hernandez, J.G.; Mandujano Ruiz, A.; Morales Hernandez, J.; Orozco Cruz, R. Electrochemical Impedance Spectroscopy (EIS): A Review Study of Basic Aspects of the Corrosion Mechanism Applied to Steels. In Electrochemical Impedance Spectroscopy; IntechOpen: London, UK, 2020. [Google Scholar] [CrossRef]
- Mansfeld, F.; Shih, H.; Greene, H.; Tsai, C.H. Analysis of EIS data for common corrosion processes. In Electrochemical Impedance: Analysis and Interpretation, 1st ed.; Scully, J.R., Silverman, D.C., Kendig, M.W., Eds.; ASTM Publication: Fredericksburg, TX, USA, 1993; pp. 37–53. [Google Scholar]
- Li, L.J.; Zhang, X.P.; Lei, J.L.; Pan, F.S. Osmanthus Fragran Leaves Extract as Corrosion Inhibitor for Carbon Steel in Hydrochloric Acid Solution. Asian J. Chem. 2012, 24, 1649–1653. [Google Scholar]
- Larabi, L.; Harek, Y.; Traisnel, M.; Mansri, A. Synergistic Influence of Poly(4-Vinylpyridine) and Potassium Iodide on Inhibition of Corrosion of Mild Steel in 1M HCl. J. Appl. Electrochem. 2004, 34, 833–839. [Google Scholar] [CrossRef]
- Mansfeld, F.; Kendig, M.W.; Tsai, S. Recording and Analysis of AC Impedance Data for Corrosion Studies. Corrosion 1982, 38, 570–580. [Google Scholar] [CrossRef]
- Shih, H.; Mansfeld, F. A fitting procedure for impedance data of systems with very low corrosion rates. Corros. Sci. 1989, 29, 1235–1240. [Google Scholar] [CrossRef]
- Martinez, S.; Metikoš Huković, M. A nonlinear kinetic model introduced for the corrosion inhibitive properties of some organic inhibitors. J. Appl. Electrochem. 2003, 33, 1137–1142. [Google Scholar] [CrossRef]
- Bentiss, F.; Lebrini, M.; Vezin, H.; Chai, F.; Traisnel, M.; Lagrené, M. Enhanced corrosion resistance of carbon steel in normal sulfuric acid medium by some macrocyclic polyether compounds containing a 1,3,4-thiadiazole moiety: AC impedance and computational studies. Corros. Sci. 2009, 51, 2165–5173. [Google Scholar] [CrossRef]
- Sun, J.B.; Zhang, G.A.; Liu, W.; Lu, M.X. The formation mechanism of corrosion scale and electrochemical characteristic of low alloy steel in carbon dioxide-saturated solution. Corros. Sci. 2012, 57, 131–138. [Google Scholar] [CrossRef]
- Nam, N.D.; Bui, Q.V.; Mathesh, M.; Tan, M.Y.J.; Forsyth, M. A study of 4-carboxyphenylboronic acid as a corrosion inhibitor for steel in carbon dioxide containing environments. Corros. Sci. 2013, 76, 257–266. [Google Scholar] [CrossRef]
- Ramachandran, S.; Jovancicevic, V. Molecular Modeling of the Inhibition of Mild Steel Carbon Dioxide Corrosion by Imidazolines. Corrosion 1999, 55, 259–267. [Google Scholar] [CrossRef]
- Labjar, N.; Lebrini, M.; Bentiss, F.; Chihib, N.E.; El Hajjaji, S.; Jama, C. Corrosion inhibition of carbon steel and antibacterial properties of aminotris-(methylenephosphonic) acid. Mater. Chem. Phys. 2010, 119, 330–336. [Google Scholar] [CrossRef]
- Heydari, M.; Javidi, M. Corrosion inhibition and adsorption behaviour of an amido-imidazoline derivative on API 5L X52 steel in CO2-saturated solution and synergistic effect of iodide ions. Corros. Sci. 2012, 61, 148–155. [Google Scholar] [CrossRef]
- Okafor, P.C.; Liu, X.; Zheng, Y. Corrosion inhibition of mild steel by ethylamino imidazoline derivative in CO2-saturated solution. Corros. Sci. 2009, 51, 761–768. [Google Scholar] [CrossRef]
- Webster, S.; Harrop, D.; McMahon, A.; Partridge, G.J. Corrosion inhibitor selection for oilfield pipelines. In Proceedings of the NACE Corrosion/1993, New Orleans, LA, USA, 8–12 March 1993. Paper No. 109. [Google Scholar]
- Edwards, A.; Osborne, C.; Webster, S.; Klenerman, D.; Joseph, M.; Ostovar, P.; Doyle, M. Mechanistic studies of the corrosion inhibitor oleic imidazoline. Corros. Sci. 1994, 36, 315–325. [Google Scholar] [CrossRef]
- Videm, K. The Anodic Behavior of Iron and Steel in Aqueous Solutions with CO2, HCO3−, CO2− and CI−. In Proceedings of the NACE Corrosion/2000, Orlando, FL, USA, 26–31 March 2000. Paper No. 39. [Google Scholar]
- Cao, C. On electrochemical techniques for interface inhibitor research. Corros. Sci. 1996, 38, 2073–2082. [Google Scholar] [CrossRef]
- Pavia, D.L.; Lampman, G.M.; Kriz, G.S. Introduction to Spectroscopy, 5th ed.; Cengage Learning: Stamford, CT, USA, 2015. [Google Scholar]
- Samudro, G.; Mangkoedihardjo, S. Review on BOD, COD and BOD/COD ratio: A triangle zone for toxic, biodegradable and stable levels. Int. J. Acad. Res. 2010, 2, 235–239. [Google Scholar]





| Static Conditions | |||||||||
| γ (g/L) | Rs (Ω cm2) | Ydl (µΩ−1sn) | n1 | Rp (Ω cm2) | Yinh (µΩ−1sn) | n2 | Rpo (Ω cm2) | IE (%) | σ |
| 0 | 3.12 | 408 | 0.83 | 142.78 | - | - | - | - | - |
| 1 | 5.56 | 407 | 0.77 | 359.05 | - | - | - | 60.23 | 2.97 |
| 2 | 7.04 | 331 | 0.73 | 371.56 | - | - | - | 61.57 | 2.94 |
| 3 | 8.34 | 82.2 | 0.75 | 634.37 | 77.3 | 0.94 | 10.85 | 77.49 | 2.11 |
| 4 | 5.31 | 77.5 | 0.70 | 1629.61 | 67.5 | 0.94 | 12.97 | 91.24 | 1.60 |
| 5 | 5.18 | 65.2 | 0.73 | 516.37 | 68.1 | 0.95 | 16.04 | 72.35 | 1.16 |
| Flow Conditions | |||||||||
| γ (g/L) | Rs (Ω cm2) | Ydl (µΩ−1sn) | n1 | Rp (Ω cm2) | Yinh (µΩ−1sn) | n2 | Rpo (Ω cm2) | IE (%) | σ |
| 0 | 12.31 | 1840 | 0.75 | 113.68 | - | - | - | - | - |
| 3 | 14.03 | 1570 | 0.97 | 219.87 | 310 | 0.83 | 371.86 | 48.30 | 2.18 |
| 4 | 14.20 | 230 | 0.79 | 384.28 | 291 | 0.71 | 512.91 | 70.42 | 2.57 |
| 5 | 14.81 | 140 | 0.83 | 2884.45 | 186 | 1.00 | 832.84 | 96.06 | 1.54 |
| 6 | 14.26 | 18220 | 0.80 | 1288.80 | 170 | 0.82 | 454.16 | 91.18 | 3.72 |
| Parameter | BOD5 (mgO2/L) | COD (mgO2/L) | BOD5/COD | EC50 (%) | TU (%) |
|---|---|---|---|---|---|
| LMFE (γ = 4 g/L) | 4209 | 4363 | 0.96 | 5.17 | 19.34 |
Disclaimer/Publisher’s Note: The statements, opinions and data contained in all publications are solely those of the individual author(s) and contributor(s) and not of MDPI and/or the editor(s). MDPI and/or the editor(s) disclaim responsibility for any injury to people or property resulting from any ideas, methods, instructions or products referred to in the content. |
© 2024 by the authors. Licensee MDPI, Basel, Switzerland. This article is an open access article distributed under the terms and conditions of the Creative Commons Attribution (CC BY) license (https://creativecommons.org/licenses/by/4.0/).
Share and Cite
Žbulj, K.; Bilić, G.; Simon, K.; Hrnčević, L. Lady’s Mantle Flower as a Biodegradable Plant-Based Corrosion Inhibitor for CO2 Carbon Steel Corrosion. Coatings 2024, 14, 671. https://doi.org/10.3390/coatings14060671
Žbulj K, Bilić G, Simon K, Hrnčević L. Lady’s Mantle Flower as a Biodegradable Plant-Based Corrosion Inhibitor for CO2 Carbon Steel Corrosion. Coatings. 2024; 14(6):671. https://doi.org/10.3390/coatings14060671
Chicago/Turabian StyleŽbulj, Katarina, Gordana Bilić, Katarina Simon, and Lidia Hrnčević. 2024. "Lady’s Mantle Flower as a Biodegradable Plant-Based Corrosion Inhibitor for CO2 Carbon Steel Corrosion" Coatings 14, no. 6: 671. https://doi.org/10.3390/coatings14060671
APA StyleŽbulj, K., Bilić, G., Simon, K., & Hrnčević, L. (2024). Lady’s Mantle Flower as a Biodegradable Plant-Based Corrosion Inhibitor for CO2 Carbon Steel Corrosion. Coatings, 14(6), 671. https://doi.org/10.3390/coatings14060671

