Abstract
Mild steel corrosion is a significant challenge in oil and gas exploitation. Inhibitors are frequently employed to minimize the corrosive impact on mild steel. Mixing corrosion inhibitors is an effective method in reducing the dosage of toxic compounds and expanding the potential applications of inhibitors in NaCl solutions. Herein, a mixed corrosion inhibitor composed of imidazoline (IM), sodium molybdate, and sodium dodecylbenzenesulfonate (SDBS) for mild steel in a 3.5 wt% NaCl solution are investigated by orthogonal experimental design and electrochemical measurement. The imidazoline compound was synthesized and identified using Fourier transform infrared (FTIR) spectroscopy. The inhibitory effect is improved by higher concentrations of sodium molybdate and is further enhanced with the addition of 10 mg/L of SDBS. The electrochemical impedance spectroscopy indicates that the combination of IM (100 mg/L), sodium molybdate (50 mg/L), and SDBS (100 mg/L) results in excellent performance with electrochemical impedance (1.8 kohm·cm2). The mild steel surfaces after electrochemical measurement were analyzed using scanning electron microscopy (SEM). The information can contribute to the development of corrosion inhibitors with high performance or to understand the influence of mixing inhibitors on corrosion processes of mild steels.
1. Introduction
Mild steel is a crucial structural component for manufacturing equipment and pipelines due to its excellent mechanical properties, cost-effectiveness, wide availability, and high recyclability. However, mild steel is continuously exposed to corrosion during its service life in chloride-containing environments, resulting in performance degradation and significant economic losses [1,2,3]. Various corrosion inhibitors have been developed to reduce the corrosion rate of mild steel [4,5] and thereby extend the life of the equipment [6,7] in response to this problem. However, there are serious health and environmental hazards associated with conventional high-performance corrosion inhibitors that contain metal salts like tungstates and chromates along with a variety of chemical compounds [8,9]. This contradicts the increasing demand for eco-friendly production. Therefore, it is crucial to develop effective corrosion inhibitors that are both high-performing and environmentally friendly [10,11,12,13].
Among the available organic compounds, IM and its derivatives are widely recognized as corrosion inhibitors, especially for controlling mild steel pipeline corrosion. The IM-based inhibitors are regarded as green corrosion inhibitors, stemming from their excellent performance, low toxicity, biodegradability, and easy availability [14]. Nevertheless, these inhibitors encounter certain challenges, such as issues related to stability during storage, emulsification in production water, and cost-effectiveness [15]. At the same time, sodium dodecylbenzenesulfonate (SDBS), characterized as a highly active surfactant, exhibits an excellent ability to adsorb onto steel surfaces for corrosion protection in aqueous solutions [16]. It can be utilized independently or in conjunction with other chemicals. Sodium molybdate, recognized as a green and non-toxic oxidative corrosion inhibitor, exhibits limited corrosion inhibition efficiency when applied in isolation [17]. Its efficacy is typically enhanced through combination with other corrosion inhibitors. It is thus expected that the combination of IM, SDBS, and sodium molybdate would produce improved corrosion inhibition, as compared to their uses independently, while overcoming the potential problems associated with the use of IM alone [18]. Many studies in the literature consistently show that the incorporation of molybdate into corrosive media increases the adsorption capacity of organic cations [19]. This enhancement is enabled by the establishment of a linking bridge between the negatively charged metal surface and the inhibitor cation, as evidenced in various preceding investigations. Xie et al. investigated the corrosion inhibition performance of imidazoline inhibitors combined with uracil, potassium thiocyanate, sodium dodecyl sulfate (SDS), cetyltrimethylammonium bromide (CTAB), and other substances on A3 carbon steel in a 6% hydrochloric acid solution [20]. Meanwhile, Meng et al. studied the corrosion inhibition efficiency of sodium molybdate at a concentration of 100 mg/L combined with 10 mg/L of SDS, showing an improvement of approximately 17% compared to using sodium molybdate alone at the same concentration [21]. It is reasonable to believe that the combination of inhibitors involving IM, SDBS, and sodium molybdate will improve corrosion protection beyond the performance that can be achieved when applied individually. However, there is limited literature on the significant impact of each corrosion inhibitor when multiple inhibitors are combined.
This study was conducted to investigate the corrosion behavior of mild steel immersed in a 3.5 wt% NaCl solution at ambient temperature, focusing specifically on the impact of three distinct inhibitors IM, SDBS, and sodium molybdate. Corrosion properties were evaluated by dynamic polarization (DP) and electrochemical impedance spectroscopy (EIS) measurements. Scanning electron microscopy (SEM) and energy dispersive spectrometer analysis (EDS) were carried out to gain insight into the surface morphology and element composition. Additionally, Fourier transform infrared spectroscopy (FTIR) was applied to characterize the synthesized IM. This study shed light on the combination and the significant impact of these inhibitors in corrosion inhibition on mild steel and provides an insight on the development of innovative corrosion protection strategies.
2. Experimental
2.1. Sample Preparation and Synthesis of Imidazoline
The chemical composition of the mild steel is listed in Table 1. All samples were cut into 30 mm × 30 mm × 1 mm. Prior to each experiment, samples were wet-ground successively with 240, 500, 800, 1000, and 2000 grit silicon carbide (SiC) paper, cleaned with ethanol and deionized water, and dried with a blower.
Table 1.
Chemical composition of mild steel used (in wt%).
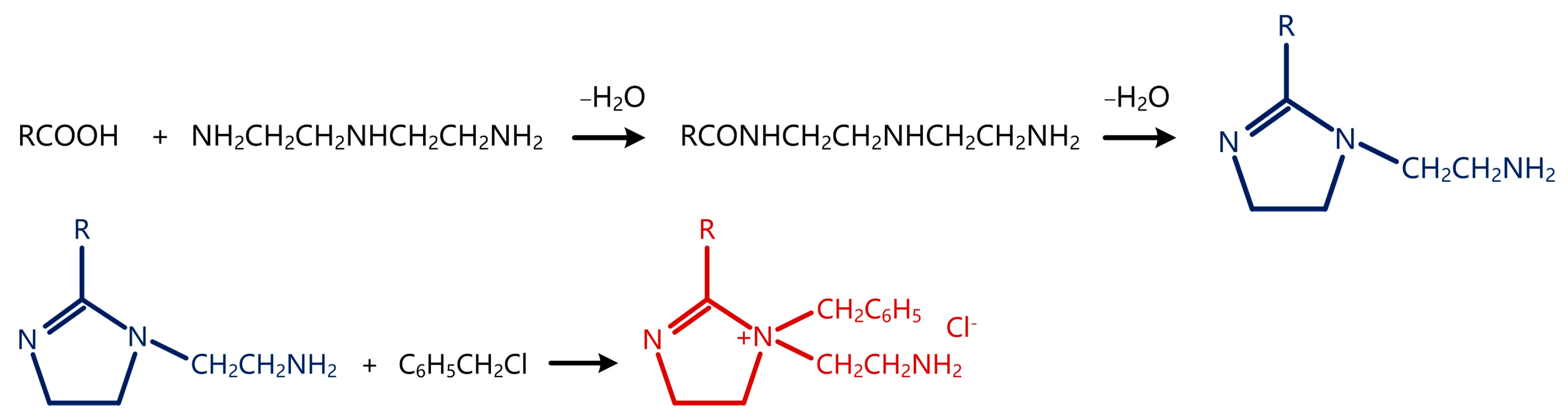
Figure 1 shows the synthesis process of water-soluble imidazoline quaternary ammonium corrosion inhibitors. Figure 2 illustrates the chemical structure of imidazoline. The imidazoline intermediate is initially prepared via a bifurcated synthesis method with fatty acids and diethylene triamine as precursors. This intermediate is then quaternized by adding benzyl chloride, which results in the formation of water-soluble imidazoline-based corrosion inhibitors.
Figure 1.
Synthesis process of water-soluble imidazoline quaternary ammonium corrosion inhibitors.
Figure 2.
Chemical structure of imidazoline.
A predetermined amount of diethylene triamine is added to a triple-necked flask equipped with a phase separator, reflux condenser, and thermometer. The flask is then heated to about 150 °C to synthesize the fatty-acid-type imidazoline intermediate. Specified quantities of fatty acids and 5 mL of xylene are then added under the protective shield of a N2 atmosphere, followed by rapid heating to 170 °C to initiate the acylation dehydration process. This process is sustained until no water can be observed exiting the phase separator.
The temperature is raised to 210 °C via a step-by-step, program-controlled heating technique, which aids in cyclization dehydration. Heating is stopped and the system is cooled in the safe N2 atmosphere after no more water is visible, and the water content in the phase separator matches the theoretical volume.
The remaining diethylene triamine and residual xylene are removed under low pressure, and the mixture is then dried in a vacuum oven to produce a reddish-brown, viscous imidazoline intermediate.
The acylation and cyclization dehydration procedures involved in this reaction occur when the amino groups on the diethylene triamine attack the fatty acid carbonyl carbon atoms. This reaction also results in dehydration and the formation of an alkyl amide intermediate. Excess amine is employed to accelerate the reaction process and prevent the formation of diamides. In the intermediate alkyl amide structure, the amine group (-NH) and the amide carbonyl subsequently undergo dehydration and cyclization.
The best conditions for synthesizing the intermediate can be determined by assessing how the temperature, reaction time, and raw material ratio influence the synthesis reaction. A temperature of 230 °C, a molar ratio of 1:1.2, and a reaction duration of 7 h are optimal for synthesizing the imidazoline intermediate (AI) from fatty acid and diethylene triamine.
The imidazoline intermediate is placed into a flask with three necks and heated to between 100 and 120 °C in an oil bath, followed by treatment with a comparable quantity of benzyl chloride to promote the quaternization reaction and improve the imidazoline’s water solubility. After four hours of reaction, a group of water-soluble imidazoline quaternary salts is generated.
2.2. Orthogonal Test
The additive concentrations in the inhibitors were evaluated using an orthogonal test, shown in Table 2. An L9(33) orthogonal array obtained based on the Taguchi method was employed to estimate the optimum operating conditions by reducing the trials of the experiment. The Taguchi method is a structured approach to experimental design and analysis, involving several key steps identifying quality characteristics and design parameters, choosing the number of factor levels, selecting an orthogonal array, conducting experiments according to the array, performing variance analysis, determining optimal factor levels, and confirming parameters through a test.
Table 2.
Factors and levels by orthogonal test.
The orthogonal test was used to evaluate the additive concentrations of the inhibitors included in the compound formula in order to evaluate the anti-corrosion properties of each inhibitor in addition to the potential effects of the inhibitor combination.
In the study, the corrosion impedance measured through EIS measurement was utilized as the evaluation criteria. The effects of each factor at their respective levels were determined by averaging the inhibition efficiencies across all experiments. These values, denoted as I, II, and III, were used to calculate the mean and range values (R) for each factor. The corrosion inhibition performances showed varying degrees of improvement within the specified range as the inhibitor quantities increased. The inhibition mechanism studies were subsequently carried out through SEM observation.
2.3. Surface Characterization
FTIR spectra were obtained using a Nicolet iS50 (Thermo Fisher Scientific, Waltham, MA, USA) with a 32-scan data accumulation, covering a range of 400–4000 cm−1 at a spectral resolution of 4.0 cm−1. The steel specimens were analyzed for morphology using a scanning electron microscope (SEM, SUS3800, Hitachi, Tokyo, Japan). Energy dispersive spectroscopy (EDS, Xplore30, Oxford Instruments, Oxfordshire, UK) was utilized to analyze the element distribution.
2.4. Electrochemical Measurements
Electrochemical measurement was executed with an electrochemical workstation (Reference 3000, Gamry, Warminster, PA, USA) controlled by Echem Software (Version 5.61). Prior to testing, the test solution was deaerated by passing nitrogen at a rate of 100 mL/min for 24 h. The three-electrode cell configuration consisted of the mild steel sample (working electrode); a silver/silver chloride (Ag/AgCl), which acted as the reference electrode; and platinum mesh as a counter electrode. The exposed area was 1 cm2. The open circuit potential (OCP) was first completed to achieve stability. Electrochemical impedance spectroscopy (EIS) measurements were performed at the Open Circuit Potential (OCP) across a frequency spectrum from 100 kHz to 10 mHz using a 20 mV signal amplitude. The EIS data were analyzed using the Zview software with a specific equivalent circuit model. Dynamic polarization (DP) measurements were performed using a scanning rate of 1 mV/s across a voltage range of ±0.1 V relative to the OCP. For each sample, three parallel tests were performed under the same conditions.
3. Results and Discussion
Figure 3 shows the FTIR spectra of the synthesized imidazoline. The sharp band around 3380 cm−1 corresponds to NH stretching [22]. The absorption peaks observed at 2918 cm−1 and 2854 cm−1 are attributed to the asymmetric methyl CH3 and symmetric methylene CH2 vibrations in IM [23]. A prominent absorption peak is observed at 1605 cm−1, which is associated with the C=N bond within the IM ring [24]. The peaks observed at 1460 cm−1 correspond to the stretching vibrations of the C-N bond [24]. The 1343 cm−1 peak is attributed to the N-H bending vibration. The peak at 1242 cm−1 is related to the NH groups [25]. The C-Cl stretching is responsible for the adsorption peaks observed at 701 cm−1 [26]. Typical molecular absorption bands can be observed, such as C-C-O stretching (1281 cm−1), C-O-C deformation (964 cm−1), and CH2-bending (1151 cm−1) [27]. The peak observed at 841 cm−1 is associated with the bending motion of HNC [28].
Figure 3.
FTIR spectra of the corrosion inhibitor IM.
Figure 4 depicts polarization curves of mild steel immersed in a 3.5 wt% NaCl solution at ambient temperature, both with and without various concentrations of inhibitors, including IM, SDBS, and sodium molybdate. As shown in Figure 4a, the introduction of sodium molybdate slightly increases the current density from 73.29 μA/cm2 to 114.82 μA/cm2.
Figure 4.
Potentiodynamic polarization curves for corrosion of carbon steel specimens exposed to a 3.5 wt% NaCl solution with various concentrations of IM, SDBS, and sodium molybdate. (a) As received, S10+N50, S100+N100; (b) I20+N50, I20+S10+N100, I20+S100; (c) I100+N100, I100+S10, I100+S100+N50.
The inhibitor molecules initially adsorb onto the surface of the mild steel, where they block reaction sites, thereby hindering the process. Contrary to its intended inhibitive function, sodium molybdate exacerbates the corrosion of carbon steel, potentially attributed to insufficient quantities of molybdate ions inducing partial passivation of the steel surface, while other areas remain in an active state. Consequently, this leads to the formation of localized “active-passive” cells, thereby accelerating the corrosion of mild steel [17]. Furthermore, as the concentration of sodium molybdate increases, there is a slight reduction in the corrosion rate of carbon steel by NaCl, indicating that the exclusive use of sodium molybdate fails to provide effective protection against carbon steel in NaCl solutions.
The cooperative influence of IM, SDBS, and sodium molybdate on the polarization characteristics of mild steel is illustrated in Figure 4b,c. Current density and corrosion rates for different combinations of inhibitors are summarized in Table 3. The combination with IM (20 mg/L) and sodium molybdate (50 mg/L) shown in Figure 4b presents a higher current density 93.74 μA/cm2. As shown in Figure 4c, the combined use of IM, SDBS, and sodium molybdate led to a decrease in corrosion current densities, resulting in reductions to 12.66, 8.95, and 6.97 μA/cm2, respectively.
Table 3.
Current density and corrosion rates for different combinations of inhibitors.
Figure 5 shows Nyquist plots that depict the impedance characteristics of mild steel when exposed to a 3.5 wt% NaCl solution with different inhibitor concentrations of IM, SDBS, and Na2MoO4. To evaluate the inhibitory efficacy of these inhibitors on mild steel, specimens were subjected to corrosion solutions following an orthogonal test design. Across the frequency spectrum, all electrochemical impedance spectroscopy (EIS) plots exhibit a depressed capacitive semicircle. The magnitude of this semicircle and the low-frequency impedance modulus show an increase, indicating enhanced corrosion inhibition with differing concentrations of IM, SDBS, and sodium molybdate.
Figure 5.
Nyquist plots for corrosion of mild steel specimens exposed to a 3.5 wt% NaCl solution with various concentrations of IM, SDBS, and sodium molybdate. (a) As received, S10+N50, S100+N100; (b) I20+N50, I20+S10+N100, I20+S100; (c) I100+N100, I100+S10, I100+S100+N50.
To evaluate the impedance data, an electrochemical equivalent circuit is employed, which consists of a parallel combination of a constant phase element (CPE) and charge-transfer resistance (Rct), along with a solution resistance (Rs), as depicted in Figure 6. Typically, Rct inversely correlates with the rate of steel corrosion and serves as an indicator for evaluating corrosion behavior. The impedance of the base material in the 3.5 wt% NaCl solution is around 172 ohm·cm2. However, when 10 mg/L SDBS and 50 mg/L Na2MoO4 are present, it decreases to 110 ohm·cm2, in line with the findings from the polarization curves shown in Figure 4a. With increasing concentrations of SDBS and Na2MoO4 to 100 mg/L each, the impedance rises to approximately 234 ohm·cm2. The combination of IM (100 mg/L), SDBS (100 mg/L), and Na2MoO4 (50 mg/L) demonstrates the highest impedance with the value of 1.8 kohm·cm2.
Figure 6.
Equivalent circuit for the electrochemical impedance spectra. (a) R(RC) for substrate; (b) R(RC(RC)) for specimens exposed to a 3.5 wt% NaCl solution with various concentrations of IM, SDBS, and sodium molybdate.
EIS measurement was performed with the purpose of analyzing changes as a consequence of various concentrations of IM, SDBS, and sodium molybdate on mild steel. Two time constants for protective films are depicted according to the depressed arc in the Nyquist plot, whereas only one relaxation process can be determined on the substrate. The behavior of the impedance is generally explained using an equivalent circuit including a solution resistance (Rs), the pore resistance (Rp), and a constant phase element (CPE). Impedance refers to the overall resistance including the pore resistance and charge transfer resistance (Rtotal = Rp + Rct). Figure 6 illustrates the equivalent circuits employed to analyze the EIS spectrum of both the substrate and protective films. Table 4 illustrates the equivalent circuit parameters of mild steel specimens exposed to a 3.5 wt% NaCl solution with various concentrations of IM, SDBS, and sodium molybdate. The CPE is utilized to simulate the dispersion behavior arising from various physical phenomena, such as local dielectric material inhomogeneities and surface roughness, offering a more accurate calibration. The CPE represents a shift from the capacitor; it is defined as:
where α serves as the CPE exponent that controls the phase shift and can indicate the surface’s roughness or heterogeneity level (0 < α < 1). Additionally, j2 is defined as an imaginary number equal to −1, and ω represents the angular frequency (ω = 2πf, with f denoting the frequency). The different resistances for mild steel in a 3.5 wt% NaCl solution in the presence of inhibitors are listed in Table 5. The response of each factor to its individual level was calculated by averaging the impedance in all experiments at each level for each factor, as indicated by the I, II, and III values. Based on the mean values, range values R were calculated to estimate the influence of each factor. The corrosion inhibition performances improved in different degrees during the selected range with the increased concentrations of all inhibitors. The concentration of the inhibitors with 100 mg/L, 100 mg/L, and 50 mg/L for IM, SDBS, and Na2MoO4 exhibits the most excellent corrosion inhibition. The results from extreme R analysis in Table 5 show that among the factors, the concentration of IM has the greatest impact on the impedance, followed by that of SDBS, and the concentration of Na2MoO4 has the least influence.
Table 4.
Equivalent circuit parameters of mild steel specimens exposed to a 3.5 wt% NaCl solution with various concentrations of IM, SDBS, and sodium molybdate.
Table 5.
Design of L9 (33) by the Taguchi method.
Analysis of variance (ANOVA) calculations were performed to investigate the effect of the selected factors on the inhibition efficiencies. The results are summarized in Table 6. Herein, D.F. stands for degrees of freedom and sum of sq. represents the sum of squares. All the factors have two degrees of freedom. The F-ratio is a tool to demonstrate whether the parameter has a significant effect or not. The F-ratio is a statistical measure used to determine the significance of the factors on the inhibition efficiencies. The higher the F-ratio indicated, the greater the significance of all the three factors. The p-ratio, which is defined as a ratio of the parameters’ sum of square to the total sum of square, indicates the contributions of these parameters. It can be noticed that IM is a significant factor (F = 20.283, p = 0.047 < 0.05), indicating the presence of a main effect. IM exhibits a differential impact on the impedance. Variance analysis can be used to examine particular differences in more detail. SDBS exhibits no statistical significance (F = 1.309, p = 0.433 > 0.05), indicating that SDBS does not have a differential effect on the impedance. Furthermore, Na2MoO4 does not demonstrate significance (F = 0.287, p = 0.777 > 0.05), suggesting that Na2MoO4 has no discernible effect on the impedance.
Table 6.
ANOVA results for the impedance.
Figure 7 displays the microscopic morphology of samples that were either immersed in a NaCl solution with inhibitors or without inhibitors for 24 h. The surface image of the mild steel substrate after 24 h immersion in a NaCl solution alone clearly shows that the surface is badly damaged. Gray clusters and pitting on the metal surface suggest that the steel has experienced widespread corrosion over the whole surface when the inhibitor is not present. However, in the presence of inhibitors with the combination of IM (100 mg/L), SDBS (100 mg/L), and Na2MoO4 (50 mg/L), a homogeneous film shown in Figure 7c is observed on the steel surface, demonstrating the inhibitors’ protective role. Additionally, compared to applying the inhibitors separately, images from the SEM demonstrated that a denser, more uniform, and compact coating formed on the steel surface when the corrosion inhibitors IM, SDBS, and Na2MoO4 were combined [15]. It was discovered that the improved film formation played a role in enhancing the corrosion inhibition performance.
Figure 7.
SEM analysis for mild steel after 24 h immersion in a 3.5 wt% NaCl solution: (a) without inhibitors, (b) with inhibitors (SDBS), and (c) with inhibitors (IM, SDBS, and Na2MoO4).
The microstructure and elemental distribution on the corroded sample surface is shown in Figure 8. According to the EDS mapping results, element mapping of Fe, O, and C indicates the formation of iron oxides corresponding to the poor corrosion resistance. However, Figure 9 demonstrates the formation of inhibitor adsorption films on the steel surface, revealing the effect of IM, SDBS, and Na2MoO4 composite inhibitors in enhancing corrosion inhibition on steel. This pattern is evident in the capacitive loop observed across the full frequency spectrum in the Nyquist plot of electrochemical impedance spectroscopy (EIS). The EDS mapping illustrates that Mo, S, C, and O are evenly distributed throughout the coating. The results of the study show that when IM and SDBS are introduced to the solution at the same time, they ionize into cations and anions that inhibit corrosion. These cations and anions then work together to form a dense, uniform coating that improves the corrosion inhibition performance of steel.
Figure 8.
EDS elemental mapping of mild steel after 24 h immersion in a 3.5 wt% NaCl solution.
Figure 9.
EDS elemental mapping of mild steel after 24 h immersion in a 3.5 wt% NaCl solution with inhibitors (IM, SDBS, and Na2MoO4).
Characterizations demonstrate the formation of the inhibitor adsorption film on the steel surface, which is also indicated by the capacitive semicircle measured in the whole frequency range in EIS plots. It is widely acknowledged that the effectiveness of the inhibitor greatly depends on the structure and integrity of the inhibitor film that is formed. A more compact, uniform, and dense film is generated on the steel surface when the solution contains IM, SDBS, and Na2MoO4, compared to the films formed with only IM, SDBS, or Na2MoO4 individually.
This work also confirms that according to the R value of the orthogonal test, for the inhibitors IM, SDBS, and Na2MoO4, the inhibition performance of IM is much better than that of SDBS and Na2MoO4 when they are used individually. According to the orthogonal experiment analysis, IM exhibits a differential impact on the impedance by EIS measurement, while SDBS and Na2MoO4 do not show significant effects. It is thus expected that, when the three inhibitors are co-present in the solution, the inhibitor IM would dominate the enhanced corrosion inhibition performance.
Figure 10 shows schematically the mechanisms of inhibitors IM and SDBS on corrosion inhibition to the steel. When IM and SDBS are included in the solution, they will be ionized into the corrosion-inhibition cations and anions, respectively. When employed separately, the inhibitor molecules adhere to the steel surface to create a protective layer of inhibitor films. The molecular interaction parameters for inhibitors IM and SDBS are negative, which means that repulsive forces exist among the adsorbed inhibitor molecules (Figure 10a,b) [18].

Figure 10.
The schematic diagram of the mechanisms for corrosion inhibition by inhibitors: (a) repulsive forces among the NH3+; (b) repulsive forces among the SO3−; (c) competitive adsorption between Cl− and among the MoO42−; (d) Co-adsorption and competitive adsorption with the application of different inhibitors in NaCl solution.
SDBS is a common anionic surfactant that possesses a relatively high molecular weight. It can attach to the surface of carbon steel via van der Waals forces and electrostatic attraction, leading to the creation of a physically adsorbed film. However, at low concentrations of SDBS, the formed adsorption film can only achieve partial coverage. Moreover, the adsorption film is characterized by unevenness and lack of compactness, which can potentially give rise to the formation of multiple localized micro-cells, thereby accelerating the corrosion process on mild steel.
Sodium molybdate acts as a mildly oxidizing corrosion inhibitor that produces a gradual and non-dense protective layer. It often results in the formation of micropores, which can cause localized corrosion on carbon steel. The formation of an FeMoO4 solid effectively hinders the dissolution of activated Fe, thereby mitigating the diffusion and propagation of corrosion. As is shown in Figure 10c, there could be a competitive adsorption between MoO42− and Cl− at the defects of the passivation film on the metal surface, according to the literature [17]. The presence of MoO42− weakens the adsorption of Cl− ions, thereby enhancing the passivation film’s capability to withstand corrosion and partially inhibiting the occurrence of corrosion.
Figure 10d illustrates that when the inhibitors IM, SDBS, and MoO42− are employed simultaneously, the anions and cations are co-adsorbed on the steel surface, forming a dense and homogeneous film. SDBS, as an anionic surfactant, possesses a positive effect with IM for the film formation due to the co-adsorption of elements sulfur (from SDBS) and N (from IM) on the exposed Fe atoms. The formed inhibitor film is thus more compact and intact, achieving a better corrosion inhibition performance to the steel. With the addition of a small amount of SDBS, the surface tension of the solution undergoes a significant decrease. As the concentration of SDBS increases, the surface tension further decreases, thereby enhancing the wetting properties of the carbon steel surface by the solution. Consequently, the number of effective contact particles at the interface increases, promoting the film-forming reaction of sodium molybdate on the carbon steel surface. This results in accelerated film formation and the development of denser film layers. Furthermore, the RSO3− active groups present in SDBS possess certain adsorption capabilities. They compete with chloride ions and selectively adhere to the surface of molybdate oxide films, creating a double-layer protective film that fills the gaps in the film layer. The enhanced compactness of the passivation film improves the corrosion inhibition protection on the metal.
4. Conclusions
The study explores the inhibitory impact of imidazoline and its combined effect with SDBS and sodium molybdate on mild steel corrosion in a 3.5 wt% NaCl solution through orthogonal experimental design and electrochemical measurements. The results indicate that the composite inhibitors demonstrate significant corrosion inhibition properties. The combination of imidazoline (100 mg/L), sodium molybdate (50 mg/L), and SDBS (100 mg/L) results in an excellent corrosion inhibition with the value of 1.8 kohm·cm2. The concentration of IM has the greatest impact on the impedance, followed by that of SDBS, and the concentration of Na2MoO4 has the least influence. Insufficient quantities of molybdate ions can induce partial passivation of the steel surface and result in the accelerate of corrosion. The introduction of sodium molybdate with 10 mg/L marginally elevates the current density from 73.29 μA/cm2 to 114.82 μA/cm2. When the inhibitors IM, SDBS, and Na2MoO4 are used at the same time, the anions and cations are co-adsorbed on the steel surface, where the ions are arranged. A dense and homogeneous film can be formed, as indicated by the elemental analysis.
Author Contributions
Conceptualization, X.W.; methodology, X.W. and C.F.; investigation, X.W., D.Z. and N.X.; formal analysis, B.W.; data curation, X.W.; writing—original draft preparation, X.W.; writing—review and editing, X.W., C.F., H.S. and L.S.; funding acquisition, C.F., B.W. and J.X. All authors have read and agreed to the published version of the manuscript.
Funding
This work is supported by the Dongying Major Science and Technology Innovation Project (Science and Technology Development Guidance Plan) (2023ZDJH114) and the Shandong Provincial Natural Science Foundation (ZR2022QE186, ZR2021ME180, ZR2023QE139).
Institutional Review Board Statement
Not applicable.
Informed Consent Statement
Not applicable.
Data Availability Statement
The data supporting this study’s findings are available from the corresponding author upon reasonable request.
Conflicts of Interest
Authors Nan Xu, Bin Wang and Jianbin Xu were employed by Dongying Jinmei Chemical Co., Ltd. The remaining authors declare that the research was conducted in the absence of any commercial or financial relationships that could be construed as a potential conflict of interest.
References
- Behzadnasab, M.; Mirabedini, S.M.; Kabiri, K.; Jamali, S. Corrosion performance of epoxy coatings containing silane treated ZrO2 nanoparticles on mild steel in 3.5% NaCl solution. Corros. Sci. 2011, 53, 89–98. [Google Scholar] [CrossRef]
- Afshari, F.; Ghomi, E.R.; Dinari, M.; Ramakrishna, S. Recent advances on the corrosion inhibition behavior of Schiff base compounds on mild steel in acidic media. ChemistrySelect 2023, 8, e202203231. [Google Scholar] [CrossRef]
- Emmanuel, J.K. Corrosion protection of mild steel in corrosive media, a shift from synthetic to natural corrosion inhibitors: A Review. Bull. Natl. Res. Cent. 2024, 48, 26. [Google Scholar] [CrossRef]
- Shanmugapriya, R.; Ravi, M.; Ravi, S.; Ramasamy, M.; Maruthapillai, A.; J, A.S. Electrochemical and morphological investigations of Elettaria Cardamomum pod extract as a green corrosion inhibitor for mild steel corrosion in 1 N HCl. Inorg. Chem. Commun. 2023, 154, 110958. [Google Scholar] [CrossRef]
- Kadhim, A.; Betti, N.; Al-Bahrani, H.; Al-Ghezi, M.; Gaaz, T.; Kadhum, A.; Alamiery, A. A mini review on corrosion, inhibitors and mechanism types of mild steel inhibition in an acidic environment. Int. J. Corros. Scale Inhib. 2021, 10, 861–884. [Google Scholar]
- Bidi, H.; Ebn Touhami, M.; Baymou, Y.; Chung, I.-M.; Lgaz, H.; Zehra, S. Toward the development of an innovative descaling and corrosion inhibiting solutions to protect mild steel equipment: An experimental and theoretical approach. Chem. Eng. Commun. 2019, 207, 632–651. [Google Scholar] [CrossRef]
- Singh, A.; Ansari, K.R.; Chauhan, D.S.; Quraishi, M.A.; Lgaz, H.; Chung, I.-M. Comprehensive investigation of steel corrosion inhibition at Macro/micro level by ecofriendly green corrosion inhibitor in 15% HCL medium. J. Colloid. Interf. Sci. 2020, 560, 225–236. [Google Scholar] [CrossRef] [PubMed]
- Wang, Y.; Hu, J.; Zhang, L.; Cao, J.; Lu, M. Electrochemical and thermodynamic properties of 1-phenyl-3-(phenylamino)propan-1-one with Na2WO4 on N80 Steel. Roy. Soc. Open. Sci. 2020, 7, 191692. [Google Scholar] [CrossRef]
- Dehghani, A.; Bahlakeh, G.; Ramezanzadeh, B.; hossein Mostafatabar, A.; Ramezanzadeh, M. Estimating the synergistic corrosion inhibition potency of (2-(3,4-)-3,5,7-trihydroxy-4H-chromen-4-one) and trivalent-cerium ions on mild steel in NaCl solution. Constr. Build. Mater. 2020, 261, 119923. [Google Scholar] [CrossRef]
- Vakili Azghandi, M.; Davoodi, A.; Farzi, G.A.; Kosari, A. Water-base acrylic terpolymer as a corrosion inhibitor for SAE1018 in simulated sour petroleum solution in stagnant and hydrodynamic conditions. Corros. Sci. 2012, 64, 44–54. [Google Scholar] [CrossRef]
- Cheng, F.; Tian, H. Novel inhibitors containing multi-functional groups for pipeline corrosion inhibition in oilfield formation water. Corrosion 2015, 72, 472–485. [Google Scholar] [CrossRef] [PubMed]
- Hegazy, M.A.; Abdallah, M.; Ahmed, H. Novel cationic Gemini surfactants as corrosion inhibitors for carbon steel pipelines. Corros. Sci. 2010, 52, 2897–2904. [Google Scholar] [CrossRef]
- Wei, H.; Heidarshenas, B.; Zhou, L.; Hussain, G.; Li, Q.; Ostrikov, K. (Ken) Green inhibitors for steel corrosion in acidic environment: State of art. Mater. Today Sustain. 2020, 10, 100044. [Google Scholar] [CrossRef]
- Kousar, K.; Walczak, M.S.; Ljungdahl, T.; Wetzel, A.; Oskarsson, H.; Restuccia, P.; Ahmad, E.A.; Harrison, N.M.; Lindsay, R. Corrosion inhibition of carbon steel in hydrochloric acid: Elucidating the performance of an imidazoline-based surfactant. Corros. Sci. 2021, 180, 109195. [Google Scholar] [CrossRef]
- Han, P.; Chen, C.; Yu, H.; Xu, Y.; Zheng, Y. Study of pitting corrosion of L245 steel in H2S environments induced by imidazoline quaternary ammonium salts. Corros. Sci. 2016, 112, 128–137. [Google Scholar] [CrossRef]
- Liu, J.; Wang, D.; Gao, L.; Zhang, D. Synergism between cerium nitrate and sodium dodecylbenzenesulfonate on corrosion of AA5052 aluminium alloy in 3 wt.% NaCl solution. Appl. Surf. Sci. 2016, 389, 369–377. [Google Scholar] [CrossRef]
- Fang, J.; Xu, B. Development and developing direction of molybdate inhibitor. Shangdong Chem. Ind. 2008, 37, 17–19. [Google Scholar]
- Qian, S.; Cheng, Y.F. Synergism of imidazoline and sodium dodecylbenzenesulphonate inhibitors on corrosion inhibition of X52 carbon steel in CO2-Saturated Chloride Solutions. J. Mol. Liq. 2019, 294, 111674. [Google Scholar] [CrossRef]
- Rui, Y.; Lu, M.; Liang, Y.; Wei, Y. Inhibition behavior of molybdate inhibitors for carbon steel in sea water. Corros. Prot. 2007, 28, 61–64. [Google Scholar]
- Xie, F.; Xuan, H. Multi-site adsorption imidazoline quaternary ammonium salt corrosion inhibitor Synthesis and corrosion inhibition properties. Chin. J. Chem. 2011, 28, 94–100. [Google Scholar]
- Meng, X.; Ji, D.; Ge, H. Effect of sodium dodecylbenzene sulfonate on corrosion inhibition and surface tension of carbon steel in 3.5% nacl-sodium molybdate solution. Chem. World. 2014, 8, 472–474. [Google Scholar]
- He, Z.; Xiong, L.; Zhang, R.; Hu, J.; Lei, J.; Liu, J.; Shen, M. The synergistic inhibition effects of oleic imidazoline quaternary ammonium salt and sulfonate on Q235 Steel Corrosion in HCl media. Surf. Topogr-Metrol. 2019, 7, 045005. [Google Scholar] [CrossRef]
- Scarano, D.; Bertarione, S.; Spoto, G.; Zecchina, A.; Otero Areán, C. FTIR spectroscopy of hydrogen, carbon monoxide, and methane adsorbed and co-adsorbed on zinc oxide. Thin Solid Film. 2001, 400, 50–55. [Google Scholar] [CrossRef]
- Feng, L.; Yang, H.; Wang, F. Experimental and theoretical studies for corrosion inhibition of carbon steel by imidazoline derivative in 5% NaCl saturated Ca(OH)2 solution. Electrochim. Acta. 2011, 58, 427–436. [Google Scholar] [CrossRef]
- Rusu, E.; Drobota, M.; Barboiu, V. Structural investigations of amines treated polyester thin films by FTIR-ATR spectroscopy. J. Optoelectron. Adv. Mater. 2008, 10, 377–381. [Google Scholar]
- Aiad, I.; Hafiz, A.; El-Awady, M.; Habib, A. Some imidazoline derivatives as corrosion inhibitors. J. Surfactants Deterg. 2010, 13, 247–254. [Google Scholar] [CrossRef]
- Hermann, P.; Kästner, B.; Hoehl, A.; Kashcheyevs, V.; Patoka, P.; Ulrich, G.; Feikes, J.; Ries, M.; Tydecks, T.; Beckhoff, B.; et al. Enhancing the sensitivity of nano-FTIR spectroscopy. Opt. Express. 2017, 25, 16574. [Google Scholar] [CrossRef]
- Raunier, S.; Chiavassa, T.; Marinelli, F.; Allouche, A.; Aycard, J.P. Reactivity of HNCO with NH3 at low temperature monitored by FTIR spectroscopy: Formation of NH4+OCN−. Chem. Phys. Lett. 2003, 368, 594–600. [Google Scholar] [CrossRef]
Disclaimer/Publisher’s Note: The statements, opinions and data contained in all publications are solely those of the individual author(s) and contributor(s) and not of MDPI and/or the editor(s). MDPI and/or the editor(s) disclaim responsibility for any injury to people or property resulting from any ideas, methods, instructions or products referred to in the content. |
© 2024 by the authors. Licensee MDPI, Basel, Switzerland. This article is an open access article distributed under the terms and conditions of the Creative Commons Attribution (CC BY) license (https://creativecommons.org/licenses/by/4.0/).