Next Article in Journal
Effect of Thickness on the Residual Stress Profile of an Aluminum Cold Spray Coating by Finite Element Analysis
Next Article in Special Issue
In Situ Thermal Interactions of Cu-Based Anti-Corrosion Coatings on Steel Implemented by Surface Alloying
Previous Article in Journal
Effect of Polytetrafluoroethylene Coating on Corrosion Wear Properties of AZ31 Magnesium Alloy by Electrophoretic Deposition
Previous Article in Special Issue
The Effect of Resin Interleafing on the Wedge Peel Strength of CF/PEEK Manufactured by Laser-Assisted In Situ Consolidation
 
 
Font Type:
Arial Georgia Verdana
Font Size:
Aa Aa Aa
Line Spacing:
Column Width:
Background:
Article

Microstructure, Hardness, Wear Resistance, and Corrosion Resistance of As-Cast and Laser-Deposited FeCoNiCrAl0.8Cu0.5Si0.5 High Entropy Alloy

1
School of Mechanical and Vehicle Engineering, West Anhui University, Yueliangdao Road, No. 1, Lu’an 237010, China
2
Innovation Platform of High-Performance Complex Manufacturing Intelligent Decision and Control, West Anhui University, Yueliangdao Road, No. 1, Lu’an 237010, China
3
Anhui Province Key Lab of Aerospace Structural Parts Forming Technology and Equipment, Hefei University of Technology, No. 193 Tunxi Road, Baohe District, Hefei 230009, China
*
Author to whom correspondence should be addressed.
Coatings 2024, 14(6), 663; https://doi.org/10.3390/coatings14060663
Submission received: 13 April 2024 / Revised: 14 May 2024 / Accepted: 20 May 2024 / Published: 24 May 2024
(This article belongs to the Special Issue Surface Science of Degradation and Surface Protection)

Abstract

FeCoNiCrAl0.8Cu0.5Si0.5 high-entropy alloys were fabricated using vacuum induction melting and laser deposition processes, followed by a comparison of the structural and mechanical properties of two distinct sample types. The as-cast FeCoNiCrAl0.8Cu0.5Si0.5 alloy is comprised of BCC1, BCC2, and Cr3Si phases, while the laser-deposited alloy primarily features BCC1 and BCC2 phases. Microstructural analysis revealed that the as-cast alloy exhibits a dendritic morphology with secondary dendritic arms and densely packed grains, and the laser-deposited alloy displays a dendritic structure without the formation of granular interdendritic regions. For mechanical properties, the as-cast FeCoNiCrAl0.8Cu0.5Si0.5 alloy demonstrated higher hardness than the as-deposited alloy, with values of 586 HV0.2 and 557 HV0.2, respectively. The wear rate for the as-cast alloy was observed at 3.5 × 10−7 mm3/Nm, with abrasive wear being the primary wear mechanism. Conversely, the as-deposited alloy had a wear rate of 9.0 × 10−7 mm3/Nm, characterized by adhesive wear. The cast alloy exhibited an icorr of 4.062 μA·cm−2, with pitting as the form of corrosion. The laser-deposited alloy showed an icorr of 3.621 μA·cm−2, with both pitting and intergranular corrosion observed. The laser-deposited alloy demonstrated improved corrosion resistance. The investigation of their microstructure and mechanical properties demonstrates the application potential of FeCoNiCrAl0.8Cu0.5Si0.5 alloys in scenarios requiring high hardness and enhanced wear resistance.

1. Introduction

Multicomponent alloys have transcended the constraints of traditional alloy design principles, expanding their compositional range into the central regions of the multicomponent phase diagram [1,2,3]. High-entropy alloys (HEAs), a subset of multicomponent alloys, are typically composed of four or more alloying elements in equiatomic or near-equiatomic ratios. These alloys exhibit unique microstructural characteristics and noteworthy mechanical and physical properties, positioning them as potential substitutes for some traditional alloys and lightweight materials across various industries, including aerospace, biomedical, and marine [4,5,6,7].
The initial exploration of HEA was driven by the high-entropy effect, aiming to inhibit the formation of intermetallic compounds through the combination of multiple elements [8,9]. This approach enabled the creation of single-phase alloy structures, such as the FCC and BCC structures found in CoCrCuFeNi and AlCoCrFeNi HEAs, respectively [10,11,12,13,14]. The CoCrFeMnNi HEA, with its characteristic FCC structure, boasts high thermodynamic stability, superb malleability and machinability, exceptional fracture toughness, and an elevated limit for low-temperature damage resistance. AlCoCrFeNi HEA, which possesses a BCC structure, is distinguished by its significant strength. Although FCC alloys exhibit high toughness and single-phase BCC alloys demonstrate high strength, there remains a need to develop alloys that can simultaneously meet the requirements for high toughness and high strength. Regarding the corrosion of HEAs, the principal metal elements have a significant impact. The Cr element is typically used as a solute in the synthesis of stainless-steel materials. It enhances the alloy by forming a dense oxide film, as seen in martensitic stainless steels (such as 1Cr13, 2Cr13Ni2, 3Cr13, and 4Cr13) and austenitic stainless steels (alloy steels containing elements like Cr-Ni and Cr-Ni-Mn). The element promotes the formation of the BCC in CoCrFeNi alloys, causing the primary phase to shift from FCC to a dual-phase structure of FCC and BCC. This shift leads to galvanic corrosion between different phases within the alloy, reducing its overall corrosion resistance. The Co promotes the formation of the phase in HEAs. As the proportion of the FCC phase increases and the BCC phase decreases, the toughness of the alloy improves, which can significantly expand the application of HEAs in specific service environments. However, an increase in Co content in HEAs reduces the proportion of other corrosion-resistant elements, thereby affecting the overall corrosion resistance of the alloy. The mixing enthalpy of the Cu element is positive, indicating weak bonding with most other elements. This often results in segregation in the interdendritic regions. Galvanic corrosion occurs between Cu-rich and Cu-poor phases, with the Cu-rich phase preferentially dissolving during metal corrosion. Therefore, HEAs containing Cu generally exhibit poor corrosion resistance.
With advancements in HEAs, performance enhancements have been realized through adjustments in manufacturing techniques and changes in elemental compositions. The AlCoCrFeNi2.1 eutectic HEA possesses FCC and BCC structures [15,16]. Combined with a suitable casting process, it achieves a balanced interaction between strength and ductility. Traditional casting methods, such as directional solidification and vacuum induction melting, are commonly used for producing eutectic HEAs. These methods ensure process reliability and reduced defect rates. However, the as-cast eutectic HEAs typically have coarse microstructures, with lamellae thicknesses in the micrometer range, posing challenges to strengthening efforts [17,18,19]. Additionally, realizing the desired properties in eutectic HEA components often requires further thermomechanical treatments [16,20,21]. Hsu et al. studied the friction and wear performance of the AlCoCrFexMo0.5Ni high-entropy alloy system [22]. The trend indicates that hardness is inversely proportional to the coefficient of friction, and the higher the hardness of the alloy, the better its wear resistance. The wear resistance of body-centered cubic phase alloys is superior to that of face-centered cubic phase alloys. Additionally, the more significant the solid solution strengthening effect, the better the wear resistance of the alloy. Chuang et al. studied the wear resistance of AlxCo 1.5CrFeNi1.5Ti series high-entropy alloys and found that Co1.5CrFeNi1.5Ti and Al0.2Co 1.5CrFeNi1.5Ti alloys exhibit excellent wear resistance.
Adjusting the content of principal elements can also enhance alloy performance. In the AlxCrFeCoNi HEA series (where x ranges from 0 to 2.0 in molar ratio), the increase in Al content leads to a transition in the alloy’s microstructure: from single-phase FCC at x = 0 to 0.4 to dual-phase FCC + BCC at x = 0.5 to 0.8, and finally to single-phase BCC at x = 0.85 to 2.0 [23]. Alloys with a single-phase FCC structure exhibit good ductility but lower strength. For example, the Al0.3CrFeCoNi HEA has a tensile elongation of approximately 47%, with a yield strength of approximately 259 MPa. On the other hand, alloys with a single-phase BCC structure display higher strength but reduced ductility. Alloys with a dual-phase FCC + BCC structure offer a favorable combination of high strength and ductility.
Metallurgical theories indicate that alloy properties are influenced not only by manipulating metal elements like Ti, Cr, and Al but also by the incorporation of non-metal elements, which are key in the microstructure and performance of high-entropy alloys (HEAs). Research led by Zhang et al. showed that adding boron to FeCoCrNi HEAs triggers the precipitation of the Fe3B, which improves the hardness and wear resistance. In marine environments, the corrosion resistance of bridge steel related to Si content initially increases and then decreases, suggesting a complex mechanism of Si’s impact on corrosion properties. HEAs, characterized by multiple components, high entropy of mixing, significant lattice distortion, and slow diffusion, are also affected by the addition of non-metal elements like Si, which influence their mechanical properties. Thus, considering non-metal elements such as Si is crucial in the design and research of HEAs to optimize their microstructure and performance.
Recently, additive manufacturing has provided a new avenue for producing HEA components with complex geometrical structures [24,25,26]. Among these, laser deposition, a powder-fed additive manufacturing technique, operates on the principle of using a high-energy laser beam for point-by-point, layer-by-layer scanning to rapidly melt and solidify the powder, thereby directly constructing integrated three-dimensional metal components. Combining the advantages of HEAs and this technology holds the promise of overcoming manufacturing bottlenecks for high-performance complex structural components. Current advancements in optimizing laser process parameters have enabled the printing of nearly fully dense HEAs, with room-temperature mechanical properties significantly surpassing those of cast alloys [27,28]. Further research indicates that the high-temperature gradients and cooling rates during the laser deposition process are conducive to the formation of alloys with excellent microstructural morphology, significantly enhancing the interphase strengthening effect and verifying the feasibility of tailoring the mechanical properties of HEAs [29,30].
This study leverages the theory of forming solid solution alloys by adjusting metal element ratios under the high-entropy effect and further regulating alloy mechanical properties by adding non-metal elements. We also designed the FeCoNiCrAl0.8Cu0.5Si0.5 HEA structure. By comparing HEAs in both laser-deposited and as-cast conditions, we investigate the influence of different processing techniques on the microstructure and properties.

2. Materials and Methods

The experiment prepared FeCoNiCrAl0.8Cu0.5Si0.5 HEA samples using a vacuum induction melting furnace and a Rofin DC050 laser deposition manufacturing system. For cast samples, raw materials in pure forms of Si, Cr, Cu, Co, Ni, Fe, and Al were used to prepare cast samples. The vacuum induction furnace melts these materials under a high-purity argon atmosphere, preventing contamination and oxidation. The induction process generates heat through electromagnetic induction, allowing for uniform heating and melting of the materials. This melting was repeated four times to ensure a homogeneous composition. The molten alloy was then cast into high-entropy alloy button samples using a copper mold in an argon atmosphere.
Laser deposition was performed using the coaxial powder feeding method. This method works by directing a high-power laser beam and a stream of metal powder simultaneously onto a substrate. The laser melts the substrate and the powder, which is fed through a nozzle aligned with the laser beam. As the laser moves, the molten material solidifies, forming a new layer. Spherical powders of Fe, Co, Ni, Al, Cr, Cu, and Si, provided by Changsha Tian Jiu Powder Co. (Changsha, China), with a purity greater than 99.5% and a particle size of 200–325 mesh, were selected. The powders were mixed using a planetary ball mill, and argon gas was added to the mixing chamber to prevent oxidation of the elements during the mixing process. Our research team conducted systematic process experiments on the Al0.8CrFeCoNiCu0.5 Hê, ultimately determining the optimal laser deposition parameters for achieving the best-forming quality, which are as follows [31]: a beam diameter of 1.2 mm; a laser power of 1850 W; a powder feed rate of 5.6 g/min; a scanning speed of 120 mm/min; a duty cycle of 70%; a pulse frequency of 50 Hz; an overlap rate of 30%; and a carrier gas flow rate of 5 L/min.
The HEA was characterized using an Empyrean Panalytical XRD, scanning at 4 (°)/min within a range of 20° to 90°. This scanning range was selected to ensure comprehensive coverage of the most relevant diffraction peaks, providing accurate phase identification. An SEM and EDS (JSM-6510,Tokyo, Japan) were utilized to observe the samples’ microstructure and wear morphologies. These instruments were chosen due to their high resolution, enabling detailed analysis of the microstructure to correlate with wear performance.
Hardness was assessed with an HV-1000 microhardness teste (Shenyang, China), applying a 1000 g load with a 10 s dwell time. This specific load and dwell time were chosen to ensure repeatable measurements while minimizing potential indentation size effects that could skew the hardness values.
The corrosion test for the samples was recorded using a Nova2 electrochemical workstation provided by Metrohm (Herisau, Switzerland) The equipment was selected due to its high sensitivity and accuracy, which is crucial for capturing fine variations in electrochemical behavior. Analysis and computational tasks related to the data were conducted using ZView software (Scribner Associates Inc., Southern Pines, NC, USA).
The setup for the experiments featured a tri-electrode system, where the HEA was designated as the working electrode. A saturated calomel electrode was chosen as the reference due to its stable and well-defined potential, while a platinum sheet electrode was used as the auxiliary electrode for its high conductivity and resistance to corrosion. Electrochemical impedance spectroscopy (EIS) measures the response by applying a small sinusoidal perturbation (potential or current) and calculating the impedance at each frequency. Therefore, EIS can detect minute changes in the electrode surface state and relevant electrochemical processes at the electrode/electrolyte interface without altering the surface state.
An MM200-type machine (Jinan Hengxu Testing Machine Co., Ltd., Changzhou, China) was used to assess the samples’ wear test. Testing conditions were set to room temperature and 20% relative humidity. A GCr15 steel ball was selected as the friction pair due to its standard use in wear testing, ensuring comparability with the existing literature. Testing was performed for 30 min under specified loads, which were carefully chosen to mimic practical applications. The ball’s velocity, hardness (61 HRC), diameter (50 mm), and thickness (10 mm) were noted. Wear resistance was calculated using the formula:
ω =   V loss L   ×   N
L = 2 π Rvt
V loss = B π R 2 180 arcsin ( b 2 R )   b 2 R 2 b 2 4
where Vloss represents the wear volume, B is the length of the wear track (mm), b is the width of the wear track (mm), v is the wheel speed (r/min), and L is the total sliding distance of the wear block on the sample surface (mm).

3. Results and Discussion

3.1. Phase Analysis

Figure 1 presents the XRD spectra of both cast and laser-deposited FeCoNiCrAl0.8Cu0.5Si0.5 samples. It is observed that the laser-deposited alloy exhibits BCC1 and BCC2 while the cast alloy shows BCC1, BCC2, and Cr3Si phases. This indicates that the manufacturing process influences the phase precipitation behavior of the FeCoNiCrAl0.8Cu0.5Si0.5 HEA. According to Gibbs’ phase rule [32], a seven-component alloy system can potentially form up to eight phases. In the FeCoNiCrAl0.8Cu0.5Si0.5 HEA, the actual number of phases is significantly less than the theoretical maximum. This discrepancy arises because the diversity of elements and the increased atomic percentage of each element in the alloy elevate the system’s mixing entropy. Although the as-cast FeCoNiCrAl0.8Cu0.5Si0.5 HEA produces Cr3Si, the significantly reduced Gibbs free energy limits the formation of additional phases, still resulting in an alloy predominantly composed of BCC phases.
Furthermore, the presence of Cr3Si in the cast alloy suggests that the silicon content exceeds the alloy’s solubility limit. The formation of Cr3Si could be attributed to the high melting point of chromium (1907 °C), which may preferentially bond with silicon during the alloy solidification process to form Cr3Si compounds. Additionally, despite the differences in lattice types between chromium (BCC) and silicon (DC), compared to aluminum (FCC), iron (FCC), cobalt (FCC), and nickel (FCC), the lattice type mismatch between silicon and chromium is relatively minor. Since the added silicon content exceeds the solubility limit in the alloy, it forms compounds with Cr. The absence of Cr3Si in the laser-deposited FeCoNiCrAl0.8Cu0.5Si0.5 HEA can be speculated to relate to the rapid heating and cooling during the laser deposition process, which provides inadequate time for silicon compounds to precipitate.
To identify the key elements influencing the phase formation of the FeCoNiCrAl0.8Cu0.5Si0.5 HEA, phase equilibrium information calculations were conducted. ThermoCalc software (version 2022a) was utilized, incorporating the latest high-entropy alloy database TCHEA6. Figure 2 illustrates the calculated equilibrium solidification of the FeCoNiCrAl0.8Cu0.5Si0.5 HEA. The data suggest that the alloy solidifies in the BCC phase, with the liquidus temperature at 1470 °C and the solidus temperature at 1276 °C. The Cr3Si phase emerges around 1136 °C, with its volume fraction increasing as the temperature decreases. Concurrently, the BCC2 phase appears near this temperature. When the temperature drops to 1115 °C, the FCC phase emerges, followed shortly by the FCC2 phase.

3.2. Microstructure Analysis

Figure 3 shows the surface composition maps of as-cast and laser-deposited FeCoNiCrAl0.8Cu0.5Si0.5 HEAs, while Table 1 provides a comparison of the compositions. It can be observed that the contents of Fe, Co, Ni, Cr, Al, and Cu are close to the nominal composition of the alloy, while the Si content is slightly lower. Comparing the compositions of the cast and deposited alloys reveals that the Fe content is higher in the deposited alloy, while the Cu and Si contents are lower. This discrepancy may be due to the loss of Cu and Si during the high-temperature heating in the laser deposition process.
The microstructure of FeCoNiCrAl0.8Cu0.5Si0.5 HEAs was analyzed. Figure 4a depicts the microstructural morphology of the as-cast alloy. It is observed that the HEA exhibits a typical dendritic structure, with the formation of secondary dendrite arms. Figure 4b shows a magnified view of the dendritic arms, where a dense granular structure on the surface of the dendrites can be identified. The formation of secondary dendrite arms is generally attributed to solute segregation during the solidification process [33]. Figure 4c,d presents the morphology of laser-deposited alloy, revealing a granular morphology without the formation of secondary dendrite arms or granular structures. In Wang’s study [34] on the NixCo0.6Fe0.2CrySizAlTi0.2 HEA, annealing the alloy at 800 °C for 10 h resulted in the precipitation of the Cr3Si hard phase. In Hsu’s research [22] on NiCo0.6Fe0.2Cr1.5SiAlTi0.2 and NiCo0.6Fe0.2Cr1.3SiAl, the prepared alloys exhibited BCC, FCC, and Cr3Si structures. This indicates that in transition metal high-entropy alloys, Si tends to form the Cr3Si structure with Cr under certain processing conditions.
A compositional scan of the laser-deposited alloy, as depicted in Figure 5, revealed the interdendritic segregation of Al, Ni, and Cu elements, while Si is uniformly distributed throughout the structure. XRD analysis indicates the alloy consists of two BCC phases, suggesting the interdendritic region is likely composed of an Al-Ni-rich BCC phase. Solidification theory explains that secondary dendritic arms arise from solute segregation during the alloy’s solidification process [35]. With more than five elements mixed in the alloy, solute segregation can cause the alloy to deviate from its nominal composition, reducing local mixing entropy and failing to prevent the formation of high-enthalpy intermetallic compounds. For high-entropy alloys containing Si, the size difference in Si atoms facilitates a higher diffusion rate among elements, leading to easier compositional undercooling at the solid–liquid interface front under lower solidification rates. Additionally, the negative mixing enthalpy enhances the bonding between elements, making regions with a high Si content more prone to forming high-enthalpy intermetallic compounds during solidification. However, with sufficiently high cooling rates, the rapidly moving solid–liquid interface can more readily trap solutes, leading to a tendency to form metastable supersaturated solid solutions upon solidification. Therefore, compared to FeCoNiCrAl0.8Cu0.5Si0.5 alloys prepared using vacuum arc melting, rapid cooling techniques favor the formation of HEAs with simpler phase structures.

3.3. Hardness

Hardness tests were conducted on the FeCoNiCrAl0.8Cu0.5Si0.5 HEA, revealing that the hardness values for the cast and laser-deposited alloys were 586 HV0.2 and 557 HV0.2, respectively, with the laser-deposited alloy exhibiting lower hardness compared to the cast alloy. The absence of the Cr3Si hard phase in the laser-deposited alloy, which is present in the cast alloy, contributes to the increased hardness of the cast alloy. Compared to conventional steels, both as-cast and laser-deposited FeCoNiCrAl0.8Cu0.5Si0.5 HEAs show significantly higher hardness values than traditional steel materials, such as the 304 stainless steel (185 HV0.2) [36].

3.4. Wear Resistance

Wear testing was performed on both as-cast and laser-deposited FeCoNiCrAl0.8Cu0.5Si0.5 HEAs. The as-cast alloy exhibited a scratch length, scratch width, and wear rate of 6.2 mm, 2.1 mm, and 3.5 × 107 mm3/(N·m), respectively. The laser-deposited alloy displayed a scratch length, scratch width, and wear rate of 6.4 mm, 2.4 mm, and 9.0 × 107 mm3, respectively. These results indicate that the as-cast alloy exhibits enhanced wear resistance relative to the laser-deposited alloy.
Figure 6 presents the wear surfaces of the FeCoNiCrAl0.8Cu0.5Si0.5 HEA. On the as-cast alloy surface, distinct plowing grooves are observable, indicative of abrasive wear mechanisms, as depicted in Figure 6a. The surface of the laser-deposited alloy exhibits adhesion, characteristic of adhesive wear, as shown in Figure 6b. The microstructure of the as-cast FeCoNiCrAl0.8Cu0.5Si0.5 HEA reveals the presence of secondary dendrites and particulate phases. Considering the wear morphology, it can be inferred that during the wear process, under the action of shear forces, the asperities of the counterface shear off the particulate phases from the material’s surface. Under compressive forces, these particulate phases are driven into the matrix surface. As wear progresses, the asperities of the counterface repeatedly rub against the alloy surface, ultimately forming grooves. Moreover, due to the matrix’s higher hardness, no adhesive layer is formed. The surface of friction samples from laser-deposited alloy exhibits features of adhesive wear. Under load, the asperities of the counterface cold weld to the surface of the sample, resulting in spalling pits upon detachment. Thus, the different processing methods significantly affect the FeCoNiCrAl0.8Cu0.5Si0.5 HEA’s microstructure, ultimately influencing the alloy’s wear behavior.

3.5. Corrosion Resistance

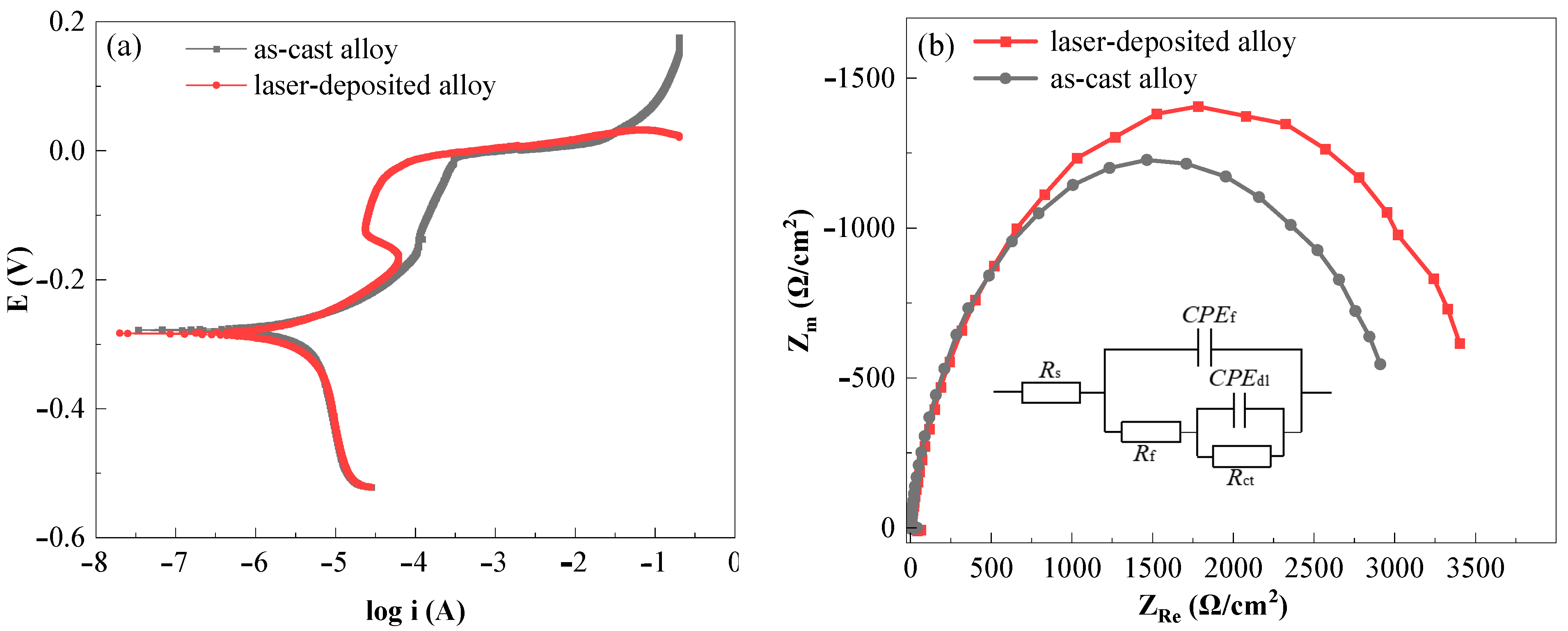
Figure 7 presents the dynamic potential polarization curves and electrochemical impedance spectra (EIS) for two types of samples in a 3.5% NaCl solution. Table 2 summarizes fitting results for the case illustrated in Figure 7a. The corrosion current density (icorr) for the cast alloy is 4.062 μA·cm2, which is higher than that of the laser-deposited alloy at 3.621 μA·cm2. After the dynamic potential polarization test, the surface morphology of the alloy is shown in Figure 7. Figure 8a shows the corrosion morphology of the as-cast alloy, which shows that the corrosion form is pitting. Relative to the as-cast alloy, the laser-deposited alloy exhibits shallower pitting pits and shows signs of intergranular corrosion, as depicted in Figure 8b. These results indicate that the laser-deposited alloy exhibits superior corrosion resistance.
As demonstrated in the impedance spectra in Figure 6b, the capacitive reactance arc radius of the laser-deposited alloy is larger. The capacitive reactance arc radius is related to the resistance of the corrosion process; a larger radius signifies greater resistance to the reaction and, consequently, a lower corrosion rate [37]. An equivalent circuit with two-time constants is used to extract quantitative information from the EIS, as shown in Table 3. The mathematical expression for an equivalent circuit is as follows [38]:
Z = Rs + 1/j{ωCPEf + 1/[Rf + 1/(jωCPEf + 1/Rct]}
Z is the impedance of the circuit; ω is the angular frequency; j is the imaginary unit. The CPE is defined as [38]:
CPE = 1/Y0(jω)n
Y0 is the prefactor of the CPE; n is the exponent of the CPE (−1 ≤ n ≤ 1). When n = 1, −1, and 0 [39], the CPE acts as an ideal capacitor, inductor, and resistor, respectively. A larger n value indicates a smoother passive film, smaller CPE values, and fewer defects in a homogeneously structured passive film [40]. In the equivalent circuit, the CPE is typically used to describe ideal capacitive behavior [41]. The effective capacitance value is independent of the solution conditions and provides a more reliable description of electrochemical performance than the CPE [42]. The mathematical expression for converting CPE to Ceff is given as [43]: Ceff = CPE(fm)n−1, where fm is the frequency at which the imaginary part of the impedance reaches its maximum value. The charge transfer resistance and effective capacitance are indicators of an alloy’s corrosion resistance. A higher Rct and a lower Ceff suggest stronger corrosion resistance. The laser-deposited alloy exhibits the largest Rct and the smallest Ceff. The EIS results further demonstrate the superior corrosion resistance of the laser-deposited alloy.

4. Conclusions

FeCoNiCrAl0.8Cu0.5Si0.5 high-entropy alloys (HEAs) were fabricated using both vacuum arc melting and laser deposition techniques to investigate the effects of these distinct processes on the microstructure and properties of the alloys. The following conclusions were drawn:
(1)
Phase Structure:
As-cast Alloy: The phase structure consists of BCC1, BCC2, and Cr3Si phases.
Laser-deposited Alloy: The phase structure consists of BCC1 and BCC2 phases.
(2)
Microstructure:
As-cast Alloy: The microstructure comprises dendritic and interdendritic structures, with secondary dendritic arms and particle phases formed on the dendrites.
Laser-deposited Alloy: The microstructure displays a dendritic structure without granular interdendritic regions and with interdendritic segregation of Al, Ni, and Cu elements, while Si is uniformly distributed throughout the structure.
(3)
Hardness and Wear Resistance:
As-cast Alloy: Demonstrates a hardness of 586 HV0.2 and a wear rate of 3.5 × 107 mm3/Nm, with abrasive wear as the primary wear mechanism.
Laser-deposited Alloy: Exhibits a slightly lower hardness of 557 HV0.2 and a wear rate of 9.0 × 107 mm3/Nm, also with abrasive wear as the primary wear mechanism.
(4)
Corrosion Resistance:
The as-cast alloy exhibited an icorr of 4.062 μA·cm2, with pitting as the primary form of corrosion.
Laser-deposited Alloy: Showed an icorr of 3.621 μA·cm2, with both pitting and inter-granular corrosion observed, demonstrating better overall corrosion resistance compared to the as-cast alloy.
These findings highlight the differences in microstructure, mechanical properties, wear resistance, and corrosion resistance between the as-cast and laser-deposited Fe-CoNiCrAl0.8Cu0.5Si0.5 HEAs. Future research should explore the impact of varying laser processing parameters on these properties to optimize the performance of HEAs for specific applications.

5. Expectation

This study investigated FeCoNiCrAl0.8Cu0.5Si0.5 HEAs using specific laser parameters. The focus was on comparing the wear and corrosion resistance of the as-cast and laser-deposited FeCoNiCrAl0.8Cu0.5Si0.5 HEAs. The FeCo-NiCrAl0.8Cu0.5Si0.5 high-entropy alloys demonstrated excellent wear and corrosion resistance in this study, suggesting a wide range of industrial applications. In the aviation sector, these alloys can be used for turbine blades and engine components, as they maintain structural integrity under extreme temperatures and harsh environments, enhancing efficiency and lifespan. In the automotive sector, they are suitable for engine parts and exhaust systems, performing well in high-temperature and corrosive environments, thereby improving fuel efficiency and reducing maintenance costs. In chemical processing equipment, these alloys’ superior corrosion resistance makes them ideal for reactors and pipelines, reducing downtime and repair costs. For marine applications, their enhanced corrosion resistance offers longer service life and lower maintenance for shipbuilding and offshore structures. In the energy sector, these alloys can improve the efficiency and durability of power generation equipment such as heat exchangers and boilers. Based on the findings presented, future research should consider the following aspects:
(1)
Investigating the influence of varying laser processing parameters on the microstructure and properties of the alloy to gain a deeper understanding of how these parameters can be optimized for improved material performance.
(2)
Expanding the study to explore the effect of different alloy compositions on wear and corrosion resistance to better tailor the material properties for specific industrial applications.

Author Contributions

Conceptualization, X.J.; methodology, X.J.; software, X.J.; validation, X.J.; formal analysis, X.J.; investigation, X.J.; resources, X.J.; data curation, X.J.; writing—original draft preparation, X.J.; writing—review and editing, X.J.; visualization, H.L.; supervision, L.Z.; project administration, X.J.; funding acquisition, H.L. All authors have read and agreed to the published version of the manuscript.

Funding

This study was supported by the High-level Talents Research Project of West Anhui University (Grant Nos. WGKQ2022058) and the Fundamental Research Funds for the Central Universities of China (Grant No.PA2023GDSK0057).

Institutional Review Board Statement

Not applicable.

Informed Consent Statement

Not applicable.

Data Availability Statement

Data are contained within the article.

Conflicts of Interest

The authors declare no conflicts of interest.

References

  1. Zhu, H.; Zhu, Z.; Hao, J.; Sun, S.; Lu, S.; Wang, C.; Ma, P.; Dong, W.; Du, M. High-entropy alloy stabilized active Ir for highly efficient acidic oxygen evolution. Chem. Eng. J. 2022, 431, 133251. [Google Scholar] [CrossRef]
  2. Cui, D.; Zhang, Y.; Liu, L.; Li, Y.; Wang, L.; Wang, Z.; Li, J.; Wang, J.; He, F. Oxygen-assisted spinodal structure achieves 1.5 GPa yield strength in a ductile refractory high-entropy alloy. J. Mater. Sci. Technol. 2023, 157, 11–20. [Google Scholar] [CrossRef]
  3. Roche, V.; Champion, Y.; Bataev, I.A.; Jorge, A.M. Passive film formation on the new biocompatible non-equiatomicTi21Nb24Mo23Hf17Ta15 high entropy alloy before and after resting in simulated body fluid. Corros. Sci. 2022, 207, 110607. [Google Scholar] [CrossRef]
  4. Cui, K.X.; Qiao, J.W.; Liaw, P.K.; Zhang, Y. Data driving design of high-entropy alloys for lightweight and dynamic applications. Sci. China-Phys. Mech. Astron. 2024, 67, 227101. [Google Scholar] [CrossRef]
  5. Ghosh, P.S.; Ali, K.; Arya, A. Efficient screening of single phase forming low-activation high entropy alloys. J. Alloys Compd. 2024, 978, 173172. [Google Scholar] [CrossRef]
  6. Wang, B.Y.; Yang, C.; Shu, D.; Sun, B.D. A Review of Irradiation-Tolerant Refractory High-Entropy Alloys. Metals 2024, 14, 45. [Google Scholar] [CrossRef]
  7. Zhang, C.; Zhao, Z.; Lin, X.; Wang, S.; Wang, J.; Li, Y.; Li, Y.; Zhang, Y.; Zhao, H. Molybdenum-14Rhenium Alloy—The Most Promising Candidate for High-Temperature Semiconductor Substrate Materials. J. Alloys Compd. 2024, 991, 174391. [Google Scholar] [CrossRef]
  8. Dong, D.; Jiang, W.T.; Wang, X.H.; Ma, T.F.; Zhu, D.D.; Wang, Y.; Huo, J.T. Enhanced mechanical properties of high pressure solidified CoCrFeNiMo0.3 high entropy alloy via nano-precipitated phase. Intermetallics 2024, 166, 108192. [Google Scholar] [CrossRef]
  9. Mazitov, A.; Springer, M.A.; Lopanitsyna, N.; Fraux, G.; De, S.D.; Ceriotti, M. Surface segregation in high-entropy alloys from alchemical machine learning. J. Phys. Mater. 2024, 7, 025007. [Google Scholar] [CrossRef]
  10. Nagase, T.; Rack, P.D.; Noh, J.H.; Egami, T. In-situ TEM observation of structural changes in nano-crystalline CoCrCuFeNi multicomponent high-entropy alloy (HEA) under fast electron irradiation by high voltage electron microscopy (HVEM). Intermetallics 2015, 59, 32–42. [Google Scholar] [CrossRef]
  11. Cheng, J.B.; Liang, X.B.; Xu, B.S. Effect of Nb addition on the structure and mechanical behaviors of CoCrCuFeNi high-entropy alloy coatings. Surf. Coat. Technol. 2014, 240, 184–190. [Google Scholar] [CrossRef]
  12. Zhang, Y.; Ma, S.G.; Qiao, J.W. Morphology Transition from Dendrites to Equiaxed Grains for AlCoCrFeNi High-Entropy Alloys by Copper Mold Casting and Bridgman Solidification. Metall. Mater. Trans. A-Phys. Metall. Mater. Sci. 2012, 43A, 2625–2630. [Google Scholar] [CrossRef]
  13. Ma, S.G.; Zhang, Y. Effect of Nb addition on the microstructure and properties of AlCoCrFeNi high-entropy alloy. Mater. Sci. Eng. A-Struct. Mater. Prop. Microstruct. Process. 2012, 532, 480–486. [Google Scholar] [CrossRef]
  14. Qiao, J.W.; Ma, S.G.; Huang, E.W.; Chuang, C.P.; Liaw, P.K.; Zhang, Y. Microstructural characteristics and mechanical behaviors of AlCoCrFeNi high-entropy alloys at ambient and cryogenic temperatures. In Nano-Scale And Amourphous Materials; Trans Tech Publications Ltd.: Bach, Switzerland, 2011; pp. 419–425. [Google Scholar]
  15. Lu, Y.P.; Dong, Y.; Guo, S.; Jiang, L.; Kang, H.J.; Wang, T.M.; Wen, B.; Wang, Z.J.; Jie, J.C.; Cao, Z.Q.; et al. A Promising New Class of High-Temperature Alloys: Eutectic High-Entropy Alloys. Sci. Rep. 2014, 4, 6200. [Google Scholar] [CrossRef] [PubMed]
  16. Xiong, T.; Zheng, S.J.; Pang, J.Y.; Ma, X.L. High-strength and high-ductility AlCoCrFeNi2.1 eutectic high-entropy alloy achieved via precipitation strengthening in a heterogeneous structure. Scr. Mater. 2020, 186, 336–340. [Google Scholar] [CrossRef]
  17. Nassar, A.; Mullis, A.; Cochrane, R.; Aslam, Z.; Micklethwaite, S.; Cao, L. Rapid solidification of AlCoCrFeNi2.1 High-entropy Alloy. J. Alloys Compd. 2022, 900, 163350. [Google Scholar] [CrossRef]
  18. Shi, P.J.; Ren, W.L.; Zheng, T.X.; Ren, Z.M.; Hou, X.L.; Peng, J.C.; Hu, P.F.; Gao, Y.F.; Zhong, Y.B.; Liaw, P.K. Enhanced strength-ductility synergy in ultrafine-grained eutectic high-entropy alloys by inheriting microstructural lamellae. Nat. Commun. 2019, 10, 489. [Google Scholar] [CrossRef]
  19. Wang, J.T.; Long, Z.P.; Jiang, P.F.; Fautrelle, Y.; Li, X. Microstructure, Crystallographic Orientation and Mechanical Property in AlCoCrFeNi2.1 Eutectic High-Entropy Alloy Under Magnetic Field-Assisted Directional Solidification. Metall. Mater. Trans. A-Phys. Metall. Mater. Sci. 2020, 51, 3504–3517. [Google Scholar] [CrossRef]
  20. Shi, P.J.; Zhong, Y.; Li, Y.; Ren, W.L.; Zheng, T.X.; Shen, Z.; Yang, B.; Peng, J.C.; Hu, P.F.; Zhang, Y.; et al. Multistage work hardening assisted by multi-type twinning in ultrafine-grained heterostructural eutectic high-entropy alloys. Mater. Today 2020, 41, 62–71. [Google Scholar] [CrossRef]
  21. Wani, I.S.; Bhattacharjee, T.; Sheikh, S.; Bhattacharjee, P.P.; Guo, S.; Tsuji, N. Tailoring nanostructures and mechanical properties of AlCoCrFeNi2.1 eutectic high entropy alloy using thermo-mechanical processing. Mater. Sci. Eng. A-Struct. Mater. Prop. Microstruct. Process. 2016, 675, 99–109. [Google Scholar] [CrossRef]
  22. Hsu, C.Y.; Sheu, T.S.; Yeh, J.W.; Chen, S.K. Effect of iron content on wear behavior of AlCoCrFexMo0.5Ni high-entropy alloys. Wear 2010, 268, 653–659. [Google Scholar] [CrossRef]
  23. Kudrnovsky, J.; Drchal, V.; Máca, F.; Turek, I.; Khmelevskyi, S. Electron transport in high-entropy alloys: AlxCrFeCoNi as a case study. Phys. Rev. B 2019, 100, 014441. [Google Scholar] [CrossRef]
  24. Torralba, J.M.; Campos, M. High Entropy Alloys Manufactured by Additive Manufacturing. Metals 2020, 10, 639. [Google Scholar] [CrossRef]
  25. Wei, S.M.; Ma, P.; Ji, P.C.; Ma, Y.C.; Wang, C.; Zhao, J.; Yu, Z.S. Research progress in high entropy alloys by additive manufacturing. Cailiao Gongcheng-J. Mater. Eng. 2021, 49, 1–17. [Google Scholar] [CrossRef]
  26. Buranich, V.; Rogoz, V.; Postolnyi, B.; Pogrebnjak, A. Predicting the Properties of the Refractory High-Entropy Alloys for Additive Manufacturing-Based Fabrication and Mechatronic Applications. In Proceedings of the 2020 IEEE 10th International Conference On Nanomaterials: Applications & Properties (Nap-2020), Sumy, Ukraine, 9–13 November 2020. [Google Scholar]
  27. Guo, Y.N.; Su, H.J.; Zhou, H.T.; Shen, Z.L.; Liu, Y.; Zhang, J.; Liu, L.; Fu, H.Z. Unique strength-ductility balance of AlCoCrFeNi2.1 eutectic high entropy alloy with ultra-fine duplex microstructure prepared by selective laser melting. J. Mater. Sci. Technol. 2022, 111, 298–306. [Google Scholar] [CrossRef]
  28. He, L.; Wu, S.W.; Dong, A.P.; Tang, H.B.; Du, D.F.; Zhu, G.L.; Sun, B.D.; Yan, W.T. Selective laser melting of dense and crack-free AlCoCrFeNi2.1 eutectic high entropy alloy: Synergizing strength and ductility. J. Mater. Sci. Technol. 2022, 117, 133–145. [Google Scholar] [CrossRef]
  29. Ren, J.; Zhang, Y.; Zhao, D.X.; Chen, Y.; Guan, S.; Liu, Y.F.; Liu, L.; Peng, S.Y.; Kong, F.Y.; Poplawsky, J.D.; et al. Strong yet ductile nanolamellar high-entropy alloys by additive manufacturing. Nature 2022, 608, 62–68. [Google Scholar] [CrossRef] [PubMed]
  30. Chen, X.S.; Kong, J.; Li, J.L.; Feng, S.; Li, H.; Wang, Q.P.; Liang, Y.Z.; Dong, K.W.; Yang, Y. High-strength AlCoCrFeNi2. 1 eutectic high entropy alloy with ultrafine lamella structure via additive manufacturing. Mater. Sci. Eng. A-Struct. Mater. Prop. Microstruct. Process. 2022, 854, 143816. [Google Scholar] [CrossRef]
  31. Li, Y.; Shi, Y.; Wang, H.; Zhou, B.; Li, D.; Lin, H.; Wang, J. Effect of Y on Microstructure and Properties of Al0.8FeCrCoNiCu0.5 High Entropy Alloy Coating on 5083 Aluminum by Laser Cladding. Lubricants 2023, 11, 50. [Google Scholar] [CrossRef]
  32. Dias, D.A.; Lima, F.W.S.; Plascak, J.A. Generalized Gibbs Phase Rule and Multicriticality Applied to Magnetic Systems. Entropy 2022, 24, 63. [Google Scholar] [CrossRef]
  33. Ge, H.H.; Li, J.; Han, X.J.; Xia, M.X.; Li, J.G. Dendritic model for macrosegregation prediction of large scale castings. J. Mater. Process. Technol. 2016, 227, 308–317. [Google Scholar] [CrossRef]
  34. Wang, L.M.; Chen, C.C.; Yeh, J.W.; Ke, S.T. The microstructure and strengthening mechanism of thermal spray coating NixCo0.6Fe0.2CrySizAlTi0.2 high-entropy alloys. Mater. Chem. Phys. 2011, 126, 880–885. [Google Scholar] [CrossRef]
  35. Li, L.L.; Kamachali, R.D.; Li, Z.M.; Zhang, Z.F. Grain boundary energy effect on grain boundary segregation in an equiatomic high-entropy alloy. Phys. Rev. Mater. 2020, 4, 053603. [Google Scholar] [CrossRef]
  36. Chen, Y.; Li, X.; Liu, J.; Zhang, Y.; Chen, X. EFFECT OF LASER SURFACE REMELTING OF 304 STAINLESS STEEL. J. Appl. Mech. Tech. Phys. 2023, 64, 491–498. [Google Scholar] [CrossRef]
  37. Li, Y.Z.; Shi, Y.; Lina, H.; Ji, X.H. Corrosion Behavior of As-Cladding Al0.8CrFeCoNiCu0.5Six High Entropy Alloys in 3.5% NaCl Solution. Mater. Res.-Ibero-Am. J. Mater. 2024, 27, e20230221. [Google Scholar] [CrossRef]
  38. Ji, P.F.; Li, B.; Chen, B.H.; Wang, F.; Ma, W.; Zhang, X.Y.; Ma, M.Z.; Liu, R.P. Effect of Nb addition on the stability and biological corrosion resistance of Ti-Zr alloy passivation films. Corros. Sci. 2020, 170, 108696. [Google Scholar] [CrossRef]
  39. Wasekar, N.P.; Hebalkar, N.; Jyothirmayi, A.; Lavakumar, B.; Ramakrishna, M.; Sundararajan, G. Influence of pulse parameters on the mechanical properties and electrochemical corrosion behavior of electrodeposited Ni-W alloy coatings with high tungsten content. Corros. Sci. 2020, 165, 108409. [Google Scholar] [CrossRef]
  40. Quintero, D.; Galvis, O.; Calderón, J.A.; Castaño, J.G.; Echeverría, F. Effect of electrochemical parameters on the formation of anodic films on commercially pure titanium by plasma electrolytic oxidation. Surf. Coat. Technol. 2014, 258, 1223–1231. [Google Scholar] [CrossRef]
  41. Jayaraj, J.; Shankar, A.R.; Mudali, U.K. Electrochemical and passive characterization of a beta type Ti45Zr38Al17 cast rod in nitric acid medium. Electrochim. Acta 2012, 85, 210–219. [Google Scholar] [CrossRef]
  42. Potucek, R.K.; Rateick, R.G.; Birss, V.I. Impedance characterization of anodic barrier Al oxide film beneath porous oxide layer. J. Electrochem. Soc. 2006, 153, B304–B310. [Google Scholar] [CrossRef]
  43. Hsu, C.H.; Mansfeld, F. Technical note: Concerning the conversion of the constant phase element parameter Y0 into a capacitance. Corrosion 2001, 57, 747–748. [Google Scholar] [CrossRef]
Figure 1. The XRD of FeCoNiCrAl0.8Cu0.5Si0.5 HEA.
Figure 1. The XRD of FeCoNiCrAl0.8Cu0.5Si0.5 HEA.
Coatings 14 00663 g001
Figure 2. Phase equilibrium information of HEA predicted by ThermoCalc software.
Figure 2. Phase equilibrium information of HEA predicted by ThermoCalc software.
Coatings 14 00663 g002
Figure 3. Surface composition maps of FeCoNiCrAl0.8Cu0.5Si0.5 HEAs: (a) as-cast alloy; (b) laser-deposited alloy.
Figure 3. Surface composition maps of FeCoNiCrAl0.8Cu0.5Si0.5 HEAs: (a) as-cast alloy; (b) laser-deposited alloy.
Coatings 14 00663 g003
Figure 4. The microstructure of the FeCoNiCrAl0.8Cu0.5Si0.5 HEA: (a) low-magnification SEM of as-cast alloy; (b) high-magnification SEM of as-cast alloy; (c) low-magnification SEM of laser-deposited alloy; (d) high-magnification SEM of laser-deposited alloy.
Figure 4. The microstructure of the FeCoNiCrAl0.8Cu0.5Si0.5 HEA: (a) low-magnification SEM of as-cast alloy; (b) high-magnification SEM of as-cast alloy; (c) low-magnification SEM of laser-deposited alloy; (d) high-magnification SEM of laser-deposited alloy.
Coatings 14 00663 g004
Figure 5. Compositional scan of the laser-deposited FeCoNiCrAl0.8Cu0.5Si0.5 HEA.
Figure 5. Compositional scan of the laser-deposited FeCoNiCrAl0.8Cu0.5Si0.5 HEA.
Coatings 14 00663 g005
Figure 6. Wear morphology of FeCoNiCrAl0.8Cu0.5Si0.5 HEA: (a) as-cast alloy; (b) laser-deposited alloy.
Figure 6. Wear morphology of FeCoNiCrAl0.8Cu0.5Si0.5 HEA: (a) as-cast alloy; (b) laser-deposited alloy.
Coatings 14 00663 g006
Figure 7. HEA samples in 3.5% NaCl solution showing (a) dynamic potential polarization curves; (b) Nyquist plots.
Figure 7. HEA samples in 3.5% NaCl solution showing (a) dynamic potential polarization curves; (b) Nyquist plots.
Coatings 14 00663 g007
Figure 8. Corrosion morphology of FeCoNiCrAl0.8Cu0.5Si0.5 HEA: (a) as-cast alloy; (b) laser-deposited alloy.
Figure 8. Corrosion morphology of FeCoNiCrAl0.8Cu0.5Si0.5 HEA: (a) as-cast alloy; (b) laser-deposited alloy.
Coatings 14 00663 g008
Table 1. Composition of as-cast and laser-deposited FeCoNiCrAl0.8Cu0.5Si0.5 HEAs.
Table 1. Composition of as-cast and laser-deposited FeCoNiCrAl0.8Cu0.5Si0.5 HEAs.
Element (Atomic %)AlCrFeCoNiCuSi
As-cast alloy13.8518.9418.2317.2017.048.246.50
Laer-deposited alloy13.7718.9720.7917.7917.267.564.92
Table 2. Fitting parameters of polarization curves for HEA samples in 3.5% NaCl solution.
Table 2. Fitting parameters of polarization curves for HEA samples in 3.5% NaCl solution.
SampleEcorr
(V)
Icorr
(μA·cm−2)
As-cast alloy−0.2854.062
Laser-deposited alloy−0.2813.621
Table 3. Equivalent circuit-fitting data for FeCoNiCrAl0.8Cu0.5Si0.5 HEA.
Table 3. Equivalent circuit-fitting data for FeCoNiCrAl0.8Cu0.5Si0.5 HEA.
SampleRs
(Ω·cm2)
Ceff·d
(μF/cm2)
ndRct
(Ω·cm2)
Ceff·ct
(μF/cm−2)
nfRct
(Ω·cm2)
As-cast alloy14.9227.011341.160.40.7242847
Laser-deposited alloy19.6912.011372.746.680.6863511
Disclaimer/Publisher’s Note: The statements, opinions and data contained in all publications are solely those of the individual author(s) and contributor(s) and not of MDPI and/or the editor(s). MDPI and/or the editor(s) disclaim responsibility for any injury to people or property resulting from any ideas, methods, instructions or products referred to in the content.

Share and Cite

MDPI and ACS Style

Ji, X.; Zhou, L.; Li, H. Microstructure, Hardness, Wear Resistance, and Corrosion Resistance of As-Cast and Laser-Deposited FeCoNiCrAl0.8Cu0.5Si0.5 High Entropy Alloy. Coatings 2024, 14, 663. https://doi.org/10.3390/coatings14060663

AMA Style

Ji X, Zhou L, Li H. Microstructure, Hardness, Wear Resistance, and Corrosion Resistance of As-Cast and Laser-Deposited FeCoNiCrAl0.8Cu0.5Si0.5 High Entropy Alloy. Coatings. 2024; 14(6):663. https://doi.org/10.3390/coatings14060663

Chicago/Turabian Style

Ji, Xiaohu, Lihua Zhou, and Heng Li. 2024. "Microstructure, Hardness, Wear Resistance, and Corrosion Resistance of As-Cast and Laser-Deposited FeCoNiCrAl0.8Cu0.5Si0.5 High Entropy Alloy" Coatings 14, no. 6: 663. https://doi.org/10.3390/coatings14060663

APA Style

Ji, X., Zhou, L., & Li, H. (2024). Microstructure, Hardness, Wear Resistance, and Corrosion Resistance of As-Cast and Laser-Deposited FeCoNiCrAl0.8Cu0.5Si0.5 High Entropy Alloy. Coatings, 14(6), 663. https://doi.org/10.3390/coatings14060663

Note that from the first issue of 2016, this journal uses article numbers instead of page numbers. See further details here.

Article Metrics

Back to TopTop