Nitrogen-Doped Diamond-like Carbon Buffer Layer Enhances the Mechanical and Tribological Properties of Diamond-like Carbon Films Deposited on Nitrile Rubber Substrate
Abstract
1. Introduction
2. Materials and Methods
2.1. Films Preparation
2.2. Characterization
3. Results and Discussion
3.1. Morphology and Structure
3.2. Mechanical Properties
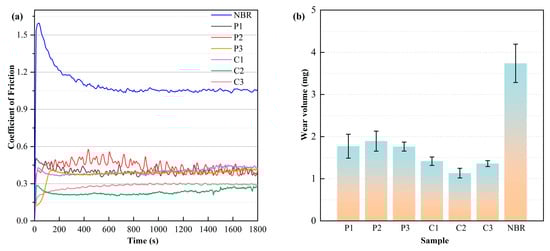
3.3. Tribological Properties
4. Conclusions
Supplementary Materials
Author Contributions
Funding
Institutional Review Board Statement
Informed Consent Statement
Data Availability Statement
Conflicts of Interest
References
- Dong, C.L.; Yuan, C.Q.; Bai, X.Q.; Yan, X.P.; Peng, Z. Tribological properties of aged nitrile butadiene rubber under dry sliding conditions. Wear 2015, 322, 226–237. [Google Scholar] [CrossRef]
- Ahmed, F.S.; Shafy, M.; Abd El-megeed, A.A.; Hegazi, E.M. The effect of γ-irradiation on acrylonitrile–butadiene rubber NBR seal materials with different antioxidants. Mater. Des. (1980–2015) 2012, 36, 823–828. [Google Scholar] [CrossRef]
- Delfin, F.A.; Brühl, S.P.; Dommarco, R.C.; Forsich, C.; Heim, D. Impact of relative humidity and deposition parameters on the tribological behavior of soft DLC coatings. Surf. Coat. Technol. 2023, 474, 130100. [Google Scholar] [CrossRef]
- Wu, Y.; Li, K.; Shi, B.; Qi, J.; Zhou, X.; Wang, Y.; Zheng, K.; Liu, Y.; Yu, S. The effect of sputtering power on the structural and tribological behaviors at elevated temperature of Ta/Si co-doped DLC films. Surf. Coat. Technol. 2024, 482, 130688. [Google Scholar] [CrossRef]
- Liu, J.Q.; Li, L.J.; Wei, B.; Wen, F.; Cao, H.T.; Pei, Y.T. Effect of sputtering pressure on the surface topography, structure, wettability and tribological performance of DLC films coated on rubber by magnetron sputtering. Surf. Coat. Technol. 2019, 365, 33–40. [Google Scholar] [CrossRef]
- Wu, Y.; Liu, J.; Han, C.; Cao, H.; Jiang, H.; Deng, Q.; Wen, F.; Pei, Y. Improvement of the mechanical and tribological behaviors by Ti-C interlayer for diamond-like carbon films on nitrile butadiene rubber. Mater. Sci. Eng. B 2023, 290, 116289. [Google Scholar] [CrossRef]
- Liu, J.; Yang, T.; Cao, H.; Deng, Q.; Pan, C.; Wen, F. Diamond-like carbon films for tribological modification of rubber. Nanotechnol. Rev. 2022, 11, 2839–2856. [Google Scholar] [CrossRef]
- Pei, Y.T.; Bui, X.L.; Van der Pal, J.P.; Martinez-Martinez, D.; De Hosson, J.T.M. Flexible diamond-like carbon film coated on rubber. Prog. Org. Coat. 2013, 76, 1773–1778. [Google Scholar] [CrossRef]
- Pei, Y.T.; Bui, X.L.; De Hosson, J.T.M. Flexible protective diamond-like carbon film on rubber. Scr. Mater. 2010, 63, 649–652. [Google Scholar] [CrossRef]
- Liu, J.; Wu, Z.Y.; Cao, H.T.; Wen, F.; Pei, Y.T. Effect of bias voltage on the tribological and sealing properties of rubber seals modified by DLC films. Surf. Coat. Technol. 2019, 360, 391–399. [Google Scholar] [CrossRef]
- Lubwama, M.; Corcoran, B.; McDonnell, K.A.; Dowling, D.; Kirabira, J.B.; Sebbit, A.; Sayers, K. Flexibility and frictional behavior of DLC and Si-DLC films deposited on nitrile rubber. Surf. Coat. Technol. 2014, 239, 84–94. [Google Scholar] [CrossRef]
- Peng, J.; Huang, J.; Peng, Y.; Xiao, Y.; Yang, M. Investigating the effect of bias voltage on the microstructural thermal stability and tribological performance of N-doped hydrogenated diamond-like carbon coatings. Surf. Coat. Technol. 2022, 451, 129064. [Google Scholar] [CrossRef]
- Bhattacherjee, S.; Niakan, H.; Yang, Q.; Hu, Y.; Dynes, J. Enhancement of adhesion and corrosion resistance of diamond-like carbon thin films on Ti–6Al–4V alloy by nitrogen doping and incorporation of nanodiamond particles. Surf. Coat. Technol. 2015, 284, 153–158. [Google Scholar] [CrossRef]
- Vahidi, A.; Serra, R.; Ferreira, F.; Cavaleiro, A.; Oliveira, J. Assessment of thermomechanical stability of DLC films deposited by Ne-HiPIMS technology for high-temperature applications. Wear 2023, 532, 205126. [Google Scholar] [CrossRef]
- Capote, G.; Ramírez, M.A.; Da Silva PC, S.; Lugo, D.C.; Trava-Airoldi, V.J. Improvement of the properties and the adherence of DLC coatings deposited using a modified pulsed-DC PECVD technique and an additional cathode. Surf. Coat. Technol. 2016, 308, 70–79. [Google Scholar] [CrossRef]
- Yan, X.; Xu, T.; Chen, G.; Yang, S.; Liu, H. Study of structure, tribological properties and growth mechanism of DLC and nitrogen-doped DLC films deposited by electrochemical technique. Appl. Surf. Sci. 2004, 236, 328–335. [Google Scholar] [CrossRef]
- Zeng, H.; Liu, J.; Yang, T.; Deng, Q.; Wen, F. Effect of local pressure difference caused by argon flow on properties of DLC films on rubber. J. Vac. Sci. Technol. A 2023, 41, 053410. [Google Scholar] [CrossRef]
- Chen, Y.; Su, F.; Li, H.; Li, Q.; Sun, J.; Lin, S. Hydrogen-free DLC films fabricated using superimposed HiPIMS-DCMS deposition system: Bias voltage effects. Surf. Coat. Technol. 2023, 470, 129820. [Google Scholar] [CrossRef]
- Han, C.; Yang, T.; Lin, X.; Song, Y.; Xie, M.; Deng, Q.; Wen, F. Effect of bias gradient delta on mechanical and tribological properties of DLC films sputtered on ACM. Surf. Coat. Technol. 2024, 481, 130626. [Google Scholar] [CrossRef]
- Oliver, W.C.; Pharr, G.M. An improved technique for determining hardness and elastic modulus using load and displacement sensing indentation experiments. J. Mater. Res. 1992, 7, 1564–1583. [Google Scholar] [CrossRef]
- Liu, G.; Wen, Z.; Chen, K.; Dong, L.; Wang, Z.; Zhang, B.; Qiang, L. Optimizing the microstructure, mechanical, and tribological properties of Si-DLC coatings on NBR rubber for its potential applications. Coatings 2020, 10, 671. [Google Scholar] [CrossRef]
- Bai, C.; Gong, Z.; An, L.; Qiang, L.; Zhang, J.; Yushkov, G.; Nikolaev, A.; Shandrikov, M.; Zhang, B. Adhesion and friction performance of DLC/rubber: The influence of plasma pretreatment. Friction 2021, 9, 627–641. [Google Scholar] [CrossRef]
- Su, F.; Chen, G.; Sun, J. Synthesis of hydrogenated DLC film by PECVD and its tribocorrosion behaviors under the lubricating condition of graphene oxide dispersed in water. Tribol. Int. 2019, 130, 1–8. [Google Scholar] [CrossRef]
- Meškinis, Š.; Čiegis, A.; Vasiliauskas, A.; Šlapikas, K.; Gudaitis, R.; Yaremchuk, I.; Fitio, V.; Bobitski, Y.; Tamulevičius, S. Annealing effects on structure and optical properties of diamond-like carbon films containing silver. Nanoscale Res. Lett. 2016, 11, 146. [Google Scholar] [CrossRef] [PubMed]
- Jang, Y.J.; Kang, Y.J.; Kitazume, K.; Umehara, N.; Kim, J. Mechanical and electrical properties of micron-thick nitrogen-doped tetrahedral amorphous carbon coatings. Diam. Relat. Mater. 2016, 69, 121–126. [Google Scholar] [CrossRef]
- Marton, M.; Kovalčík, D.; Vojs, M.; Zdravecká, E.; Varga, M.; Michalíková, L.; Veselý, M.; Redhammer, R.; Písečný, P. Electrochemical corrosion behavior of amorphous carbon nitride thin films. Vacuum 2012, 86, 696–698. [Google Scholar] [CrossRef]
- Rodil, S.E.; Muhl, S. Bonding in amorphous carbon nitride. Diam. Relat. Mater. 2004, 13, 1521–1531. [Google Scholar] [CrossRef]
- Wang, M.; Zhang, L.; Lu, W.; Lin, G. Plasma diagnosis of tetrahedral amorphous carbon films by filtered cathodic vacuum arc deposition. Plasma Sci. Technol. 2023, 25, 065506. [Google Scholar] [CrossRef]
- Voevodin, A.A.; Walck, S.D.; Zabinski, J.S. Architecture of multilayer nanocomposite coatings with super-hard diamond-like carbon layers for wear protection at high contact loads. Wear 1997, 203, 516–527. [Google Scholar] [CrossRef]
- Yang, T.; Xie, M.; Wang, W.; Wang, C.; Qi, X.; Deng, Q.; Wen, F. Low friction and wear of Nitrogen-doped diamond-like carbon films deposited on NBR with different flows of N2 by DC-MS. Vacuum 2024, 220, 112774. [Google Scholar] [CrossRef]
- Wang, X.; Zhang, X.; Wang, C.; Lu, Y.; Hao, J. High temperature tribology behavior of silicon and nitrogen doped hydrogenated diamond-like carbon (DLC) coatings. Tribol. Int. 2022, 175, 107845. [Google Scholar] [CrossRef]
- Sharifahmadian, O.; Mahboubi, F. A comparative study of microstructural and tribological properties of N-DLC/DLC double layer and single layer coatings deposited by DC-pulsed PACVD process. Ceram. Int. 2019, 45, 7736–7742. [Google Scholar] [CrossRef]
- Merlen, A.; Buijnsters, J.G.; Pardanaud, C. A guide to and review of the use of multiwavelength Raman spectroscopy for characterizing defective aromatic carbon solids: From graphene to amorphous carbons. Coatings 2017, 7, 153. [Google Scholar] [CrossRef]
- Musil, J. Hard and superhard nanocomposite coatings. Surf. Coat. Technol. 2000, 125, 322–330. [Google Scholar] [CrossRef]
- Oliver, W.C.; Pharr, G.M. Measurement of hardness and elastic modulus by instrumented indentation: Advances in understanding and refinements to methodology. J. Mater. Res. 2004, 19, 3–20. [Google Scholar] [CrossRef]
- Ray, S.C.; Pong, W.F.; Papakonstantinou, P.J.T.S.F. Iron, nitrogen and silicon doped diamond like carbon (DLC) thin films: A comparative study. Thin Solid Films 2016, 610, 42–47. [Google Scholar] [CrossRef]
- Robertson, J. Deposition mechanisms for promoting sp3 bonding in diamond-like carbon. Diam. Relat. Mater. 1993, 2, 984–989. [Google Scholar] [CrossRef]
- Egiza, M.; Ali, A.M.; Diab, M.R.; Hemaya, N.; Murasawa, K.; Yoshitake, T. Synthesis and comprehensive synchrotron-based structural analysis of Si-doped nanodiamond composite films deposited on cemented carbide. Surf. Coat. Technol. 2023, 471, 129867. [Google Scholar] [CrossRef]
- Egiza, M.; Naragino, H.; Tominaga, A.; Hanada, K.; Kamitani, K.; Sugiyama, T.; Yoshitake, T. Effects of air exposure on hard and soft X-ray photoemission spectra of ultrananocrystalline diamond/amorphous carbon composite films. Coatings 2018, 8, 359. [Google Scholar] [CrossRef]
- Robertson, J. Diamond-like amorphous carbon. Mater. Sci. Eng. R Rep. 2002, 37, 129–281. [Google Scholar] [CrossRef]
- Leyland, A.; Matthews, A. On the significance of the H/E ratio in wear control: A nanocomposite coating approach to optimised tribological behaviour. Wear 2000, 246, 1–11. [Google Scholar] [CrossRef]
- Ishpal, I.; Kumar, S.; Dwivedi, N.; Rauthan, C.M.S. Investigation of radio frequency plasma for the growth of diamond like carbon films. Phys. Plasmas 2012, 19, 033515. [Google Scholar] [CrossRef]
- Dwivedi, N.; Kumar, S.; Malik, H.K. Superhard behaviour, low residual stress, and unique structure in diamond-like carbon films by simple bilayer approach. J. Appl. Phys. 2012, 112, 023518. [Google Scholar] [CrossRef]
- Hu, X.; Martini, A. Atomistic simulation of the effect of roughness on nanoscale wear. Comput. Mater. Sci. 2015, 102, 208–212. [Google Scholar] [CrossRef]
- Chechenin, N.G.; Bøttiger, J.; Krog, J.P. Nanoindentation of amorphous aluminum oxide films II. Critical parameters for the breakthrough and a membrane effect in thin hard films on soft substrates. Thin Solid Films 1995, 261, 228–235. [Google Scholar] [CrossRef]
- Moseenkov, S.I.; Kuznetsov, V.L.; Zolotarev, N.A.; Kolesov, B.A.; Prosvirin, I.P.; Ishchenko, A.V.; Zavorin, A.V. Investigation of amorphous carbon in nanostructured carbon materials (A Comparative Study by TEM, XPS, Raman Spectroscopy and XRD). Materials 2023, 16, 1112. [Google Scholar] [CrossRef] [PubMed]
- Nakazawa, H.; Magara, K.; Takami, T.; Ogasawara, H.; Enta, Y.; Suzuki, Y. Effects of source gases on the properties of silicon/nitrogen-incorporated diamond-like carbon films prepared by plasma-enhanced chemical vapor deposition. Thin Solid Film. 2017, 636, 177–182. [Google Scholar] [CrossRef]
- Song, H.; Ji, L.; Li, H.; Liu, X.; Wang, W.; Zhou, H.; Chen, J. External-field-induced growth effect of an aC: H film for manipulating its medium-range nanostructures and properties. ACS Appl. Mater. Interfaces 2016, 8, 6639–6645. [Google Scholar] [CrossRef] [PubMed]
- Manimunda, P.; Al-Azizi, A.; Kim, S.H.; Chromik, R.R. Shear-induced structural changes and origin of ultralow friction of hydrogenated diamond-like carbon (DLC) in dry environment. ACS Appl. Mater. Interfaces 2017, 9, 16704–16714. [Google Scholar] [CrossRef]
- Liu, S.; Zhang, C.; Osman, E.; Chen, X.; Ma, T.; Hu, Y.; Luo, J.; Ali, E. Influence of tribofilm on superlubricity of highly-hydrogenated amorphous carbon films in inert gaseous environments. Sci. China Technol. Sci. 2016, 59, 1795–1803. [Google Scholar] [CrossRef]








| Sample No. | Bias Voltages/V | DC Power Supply/W | Deposition Time/min | N2 Flow/sccm | Working Pressure/Pa |
|---|---|---|---|---|---|
| M1 | 0 | 50 | 30 | 3 | 1.4 |
| M2 | −100 | ||||
| M3 | −200 |
| Sample No. | Bias Voltages/V | DC Power Supply/W | Deposition Time/min | Working Pressure/Pa |
|---|---|---|---|---|
| P1 | 0 | 50 | 30 | 1.4 |
| P2 | −100 | |||
| P3 | −200 |
| Sample No. | Interlayer | Top-layer | Working Pressure/Pa | |||||
|---|---|---|---|---|---|---|---|---|
| Bias Voltages/V | DC Power Supply/W | Deposition Time/min | N2 Flow/sccm | Bias Voltages/V | DC Power Supply/W | Deposition Time/min | ||
| C1 | 0 | 50 | 30 | 3 | −100 | 50 | 30 | 1.4 |
| C2 | −100 | |||||||
| C3 | −200 | |||||||
Disclaimer/Publisher’s Note: The statements, opinions and data contained in all publications are solely those of the individual author(s) and contributor(s) and not of MDPI and/or the editor(s). MDPI and/or the editor(s) disclaim responsibility for any injury to people or property resulting from any ideas, methods, instructions or products referred to in the content. |
© 2024 by the authors. Licensee MDPI, Basel, Switzerland. This article is an open access article distributed under the terms and conditions of the Creative Commons Attribution (CC BY) license (https://creativecommons.org/licenses/by/4.0/).
Share and Cite
Song, Y.; Han, C.; Zhen, N.; Wang, Y.; Leng, Y.; Wu, Z.; Deng, Q.; Wen, F. Nitrogen-Doped Diamond-like Carbon Buffer Layer Enhances the Mechanical and Tribological Properties of Diamond-like Carbon Films Deposited on Nitrile Rubber Substrate. Coatings 2024, 14, 515. https://doi.org/10.3390/coatings14040515
Song Y, Han C, Zhen N, Wang Y, Leng Y, Wu Z, Deng Q, Wen F. Nitrogen-Doped Diamond-like Carbon Buffer Layer Enhances the Mechanical and Tribological Properties of Diamond-like Carbon Films Deposited on Nitrile Rubber Substrate. Coatings. 2024; 14(4):515. https://doi.org/10.3390/coatings14040515
Chicago/Turabian StyleSong, Yinqiao, Changxin Han, Nini Zhen, Yukai Wang, Yongxiang Leng, Zhiyu Wu, Qiaoyuan Deng, and Feng Wen. 2024. "Nitrogen-Doped Diamond-like Carbon Buffer Layer Enhances the Mechanical and Tribological Properties of Diamond-like Carbon Films Deposited on Nitrile Rubber Substrate" Coatings 14, no. 4: 515. https://doi.org/10.3390/coatings14040515
APA StyleSong, Y., Han, C., Zhen, N., Wang, Y., Leng, Y., Wu, Z., Deng, Q., & Wen, F. (2024). Nitrogen-Doped Diamond-like Carbon Buffer Layer Enhances the Mechanical and Tribological Properties of Diamond-like Carbon Films Deposited on Nitrile Rubber Substrate. Coatings, 14(4), 515. https://doi.org/10.3390/coatings14040515

