Contribution of Magnetization Mechanisms in MnZn Ferrites with Different Grain Sizes and Sintering Densification
Abstract
1. Introduction
2. Materials and Methods
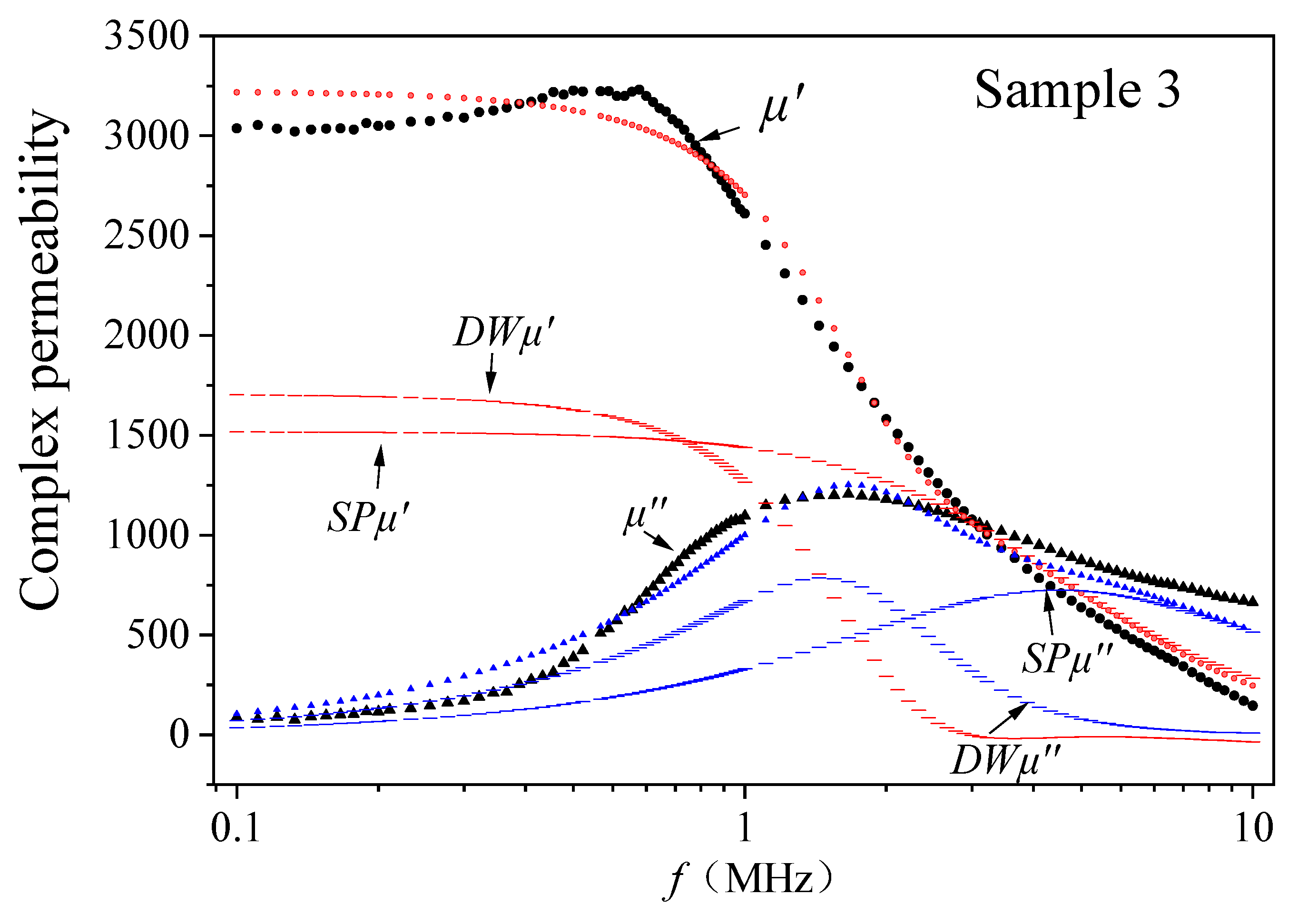
3. Results
4. Conclusions
Author Contributions
Funding
Institutional Review Board Statement
Informed Consent Statement
Data Availability Statement
Conflicts of Interest
References
- Sai, R.; Shivashankar, S.A.; Yamaguchi, M.; Bhat, N. Magnetic Nanoferrites for RF CMOS: Enabling 5G and Beyond. Electrochem. Soc. Interface 2017, 26, 71. [Google Scholar] [CrossRef]
- Rahman, A.; Yi, N.M.; Ahmed, A.U.; Alam, T.; Singh, M.J.; Islam, M.T. A Compact 5G Antenna Printed on Manganese Zinc Ferrite Substrate Material. IEICE Electron. Express 2016, 13, 20160377. [Google Scholar] [CrossRef]
- Hu, J.; Wen, B.; Burgos, R.; Kang, Y. Design of a Wide-Input-Voltage PCB-Embedded Transformer Based Active-Clamp Flyback Converter Considering Permeability Degradation. IEEE Trans. Power Electron. 2021, 36, 10355–10365. [Google Scholar] [CrossRef]
- Jafari, A.; Samizadeh Nikoo, M.; van Erp, R.; Matioli, E. Optimized Kilowatt-Range Boost Converter Based on Impulse Rectification with 52 kW/l and 98.6% Efficiency. IEEE Trans. Power Electron. 2021, 36, 7389–7394. [Google Scholar] [CrossRef]
- Mathúna, C.O.; Wang, N.; Kulkarni, S.; Roy, S. Review of Integrated Magnetics for Power Supply on Chip (PwrSoC). IEEE Trans. Power Electron. 2012, 27, 4799–4816. [Google Scholar] [CrossRef]
- Di Capua, G.; Femia, N. A Novel Method to Predict the Real Operation of Ferrite Inductors with Moderate Saturation in Switching Power Supply Applications. IEEE Trans. Power Electron. 2016, 31, 2456–2464. [Google Scholar] [CrossRef]
- Wu, S.; Sun, A.; Xu, W.; Zhang, Q.; Zhai, F.; Logan, P.; Volinsky, A.A. Iron-Based Soft Magnetic Composites with Mn–Zn Ferrite Nanoparticles Coating Obtained by Sol–Gel Method. J. Magn. Magn. Mater. 2012, 324, 3899–3905. [Google Scholar] [CrossRef]
- Yavuz, Ö.; Ram, M.K.; Aldissi, M.; Poddar, P.; Hariharan, S. Synthesis and the Physical Properties of MnZn Ferrite and NiMnZn Ferrite–Polyaniline Nanocomposite Particles. J. Mater. Chem. 2005, 15, 810–817. [Google Scholar] [CrossRef]
- Yi, S.; Bai, G.; Wang, X.; Zhang, X.; Hussain, A.; Jin, J.; Yan, M. Development of High-Temperature High-Permeability MnZn Power Ferrites for MHz Application by Nb2O5 and TiO2 Co-Doping. Ceram. Int. 2020, 46, 8935–8941. [Google Scholar] [CrossRef]
- Kalarus, J.; Kogias, G.; Holz, D.; Zaspalis, V.T. High Permeability–High Frequency Stable MnZn Ferrites. J. Magn. Magn. Mater. 2012, 324, 2788–2794. [Google Scholar] [CrossRef]
- Keluskar, S.H.; Tangsali, R.B.; Naik, G.K.; Budkuley, J.S. High Permeability of Low Loss Mn–Zn Ferrite Obtained by Sintering Nanoparticle Mn–Zn Ferrite. J. Magn. Magn. Mater. 2006, 305, 296–303. [Google Scholar] [CrossRef]
- Janghorban, K.; Shokrollahi, H. Influence of V2O5 Addition on the Grain Growth and Magnetic Properties of Mn–Zn High Permeability Ferrites. J. Magn. Magn. Mater. 2007, 308, 238–242. [Google Scholar] [CrossRef]
- Su, H.; Zhang, H.; Tang, X.; Wei, X. Effects of Calcining and Sintering Parameters on the Magnetic Properties of High-Permeability MnZn Ferrites. IEEE Trans. Magn. 2005, 41, 4225–4228. [Google Scholar] [CrossRef]
- Zulauf, G.; Tong, Z.; Plummer, J.D.; Rivas-Davila, J.M. Active Power Device Selection in High- and Very-High-Frequency Power Converters. IEEE Trans. Power Electron. 2019, 34, 6818–6833. [Google Scholar] [CrossRef]
- Kollár, P.; Olekšáková, D.; Vojtek, V.; Füzer, J.; Fáberová, M.; Bureš, R. Steinmetz Law for Ac Magnetized Iron-Phenolformaldehyde Resin Soft Magnetic Composites. J. Magn. Magn. Mater. 2017, 424, 245–250. [Google Scholar] [CrossRef]
- Ying, Y.; Hu, L.; Li, Z.; Zheng, J.; Yu, J.; Li, W.; Qiao, L.; Cai, W.; Li, J.; Bao, D.; et al. Preparation of Densified Fine-Grain High-Frequency MnZn Ferrite Using the Cold Sintering Process. Materials 2023, 16, 3454. [Google Scholar] [CrossRef]
- Wu, T.; Wang, C.; Li, Z.; Lan, Z.; Yu, Z.; Du, Y.; Wu, C.; Jiang, X.; Li, Q.; Wang, C.; et al. A Comprehensive Study on MnZn Ferrite Materials with High Saturation Magnetic Induction Intensity and High Permeability for Magnetic Field Energy Harvesting. J. Magn. Magn. Mater. 2024, 590, 171635. [Google Scholar] [CrossRef]
- Li, Z.; Ying, Y.; Wang, N.; Zheng, J.; Yu, J.; Li, W.; Qiao, L.; Cai, W.; Li, J.; Huang, H.; et al. Effect of Compressive Stress on Power Loss of Mn–Zn Ferrite for High-Frequency Applications. Ceram. Int. 2022, 48, 17723–17728. [Google Scholar] [CrossRef]
- Xu, Z.; Fan, J.; Liu, T.; Han, Y.; Zhang, H. Calcination Induced Phase Transformation in MnZn Ferrite Powders. J. Alloys Compd. 2020, 814, 152307. [Google Scholar] [CrossRef]
- Bhandare, S.V.; Kumar, R.; Anupama, A.V.; Choudhary, H.K.; Jali, V.M.; Sahoo, B. Mechanistic Insights into the Sol-Gel Synthesis of Complex (Quaternary) Co–Mn–Zn-Spinel Ferrites: An Annealing Dependent Study. Ceram. Int. 2020, 46, 17400–17415. [Google Scholar] [CrossRef]
- Xu, Z.; Yu, Z.; Sun, K.; Li, L.; Ji, H.; Lan, Z. Microstructure and Magnetic Properties of Sn-Substituted MnZn Ferrites. J. Magn. Magn. Mater. 2009, 321, 2883–2889. [Google Scholar] [CrossRef]
- Zhou, X.; Wang, J.; Zhou, L.; Yao, D. The Improved Saturation Magnetization and Initial Permeability in Mn–NiZn Ferrites after Cooling in Vacuum. Appl. Phys. A 2022, 128, 306. [Google Scholar] [CrossRef]
- Marracci, M.; Tellini, B. Hysteresis Losses of Minor Loops versus Temperature in MnZn Ferrite. IEEE Trans. Magn. 2013, 49, 2865–2869. [Google Scholar] [CrossRef]
- Töpfer, J.; Angermann, A. Complex Additive Systems for Mn-Zn Ferrites with Low Power Loss. J. Appl. Phys. 2015, 117, 17A504. [Google Scholar] [CrossRef]
- Sun, K.; Wu, C.; Yang, Y.; Yu, Z.; Guo, R.; Wei, P.; Jiang, X.; Lan, Z. Cation Distribution and Temperature Dependence of Brillouin Function for Nickel-Substituted Manganese–Zinc Ferrites. IEEE Trans. Magn. 2015, 51, 6301304. [Google Scholar] [CrossRef]
- Praveena, K.; Chen, H.-W.; Liu, H.-L.; Sadhana, K.; Murthy, S.R. Enhanced Magnetic Domain Relaxation Frequency and Low Power Losses in Zn2+ Substituted Manganese Ferrites Potential for High Frequency Applications. J. Magn. Magn. Mater. 2016, 420, 129–142. [Google Scholar] [CrossRef]
- Yang, Y.; Yu, Z.; Guo, Q.; Sun, K.; Guo, R.; Jiang, X.; Liu, Y.; Liu, H.; Wu, G.; Lan, Z. Thermomagnetization Characteristics and Ferromagnetic Resonance Linewidth Broadening Mechanism for Ca-Sn Co-Substituted YIG Ferrites. Ceram. Int. 2018, 44, 11718–11723. [Google Scholar] [CrossRef]
- Wu, C.; Wang, W.; Li, Q.; Wei, M.; Luo, Q.; Fan, Y.; Jiang, X.; Lan, Z.; Jiao, Z.; Tian, Y.; et al. Barium Hexaferrites with Narrow Ferrimagnetic Resonance Linewidth Tailored by Site-Controlled Cu Doping. J. Am. Ceram. Soc. 2022, 105, 7492–7501. [Google Scholar] [CrossRef]
- Dhiman, R.L.; Taneja, S.P.; Reddy, V.R. Structural and Mössbauer Spectral Studies of Nanosized Aluminum Doped Manganese Zinc Ferrites. Adv. Condens. Matter Phys. 2009, 2008, e839536. [Google Scholar] [CrossRef][Green Version]
- Siddique, M.; Butt, N.M.; Shafi, M.; Abbas, T.; Misbah, U.-I. Cation Distribution in Ni-Substituted Mn-Ferrites by Mössbauer Technique. J. Radioanal. Nucl. Chem. 2003, 258, 525–529. [Google Scholar] [CrossRef]
- Wu, G.; Yu, Z.; Guo, R.; Wang, Z.; Wang, H.; Hu, Z.; Liu, M. Effects of Magnetic Domain Morphology on the Magnetic Spectrum and High-Frequency Core Losses of MnZn Ferrites. J. Am. Ceram. Soc. 2024, 107, 1117–1126. [Google Scholar] [CrossRef]
- Wu, G.; Yu, Z.; Sun, K.; Guo, R.; Wang, B.; Jiang, X.; Li, L.; Lan, Z. Excellent Tunable DC Bias Superposition Characteristics for Manganese–Zinc Ferrites. IEEE Trans. Power Electron. 2020, 35, 1845–1854. [Google Scholar] [CrossRef]
- Baguley, C.A.; Madawala, U.K.; Carsten, B. The Influence of Remanence on Magnetostrictive Vibration and Hysteresis in Mn-Zn Ferrite Cores. IEEE Trans. Magn. 2012, 48, 1844–1850. [Google Scholar] [CrossRef]
- Li, Q.; Chen, Y.; Yu, C.; Young, L.; Spector, J.; Harris, V.G. Emerging Magnetodielectric Materials for 5G Communications: 18H Hexaferrites. Acta Mater. 2022, 231, 117854. [Google Scholar] [CrossRef]
- Li, Q.; Chen, Y.; Li, Q.; Li, L.; Qian, K.; Harris, V.G. Suppressed Domain Wall Damping in Planar BaM Hexaferrites for Miniaturization of Microwave Devices. J. Magn. Magn. Mater. 2020, 514, 167172. [Google Scholar] [CrossRef]
- Ahns, S.J.; Yoon, C.S.; Yoon, S.G.; Kim, C.K.; Byun, T.Y.; Hong, K.S. Domain Structure of Polycrystalline MnZn Ferrites. Mater. Sci. Eng. B 2001, 84, 146–154. [Google Scholar] [CrossRef]
- Acher, O.; Adenot, A.L. Bounds on the Dynamic Properties of Magnetic Materials. Phys. Rev. B 2000, 62, 11324–11327. [Google Scholar] [CrossRef]
- Race, C.P.; Hadian, R.; von Pezold, J.; Grabowski, B.; Neugebauer, J. Mechanisms and Kinetics of the Migration of Grain Boundaries Containing Extended Defects. Phys. Rev. B 2015, 92, 174115. [Google Scholar] [CrossRef]
- Xing, Y.; Myers, J.; Obi, O.; Sun, N.X.; Zhuang, Y. Excessive Grain Boundary Conductivity of Spin-Spray Deposited Ferrite/Non-Magnetic Multilayer. J. Appl. Phys. 2012, 111, 07A512. [Google Scholar] [CrossRef]
- Fujita, A.; Gotoh, S. Temperature Dependence of Core Loss in Co-Substituted MnZn Ferrites. J. Appl. Phys. 2003, 93, 7477–7479. [Google Scholar] [CrossRef]
- Tsutaoka, T. Frequency Dispersion of Complex Permeability in Mn–Zn and Ni–Zn Spinel Ferrites and Their Composite Materials. J. Appl. Phys. 2003, 93, 2789–2796. [Google Scholar] [CrossRef]




| Sample No. | D (μm) | μi (f = 1 kHz) | Ms (kA/m3) | Hc (kA/m) | d (g/cm3) | P (%) |
|---|---|---|---|---|---|---|
| 1 | 3.7 | 2794 | 440 | 3 | 5.09 | 1.9 |
| 2 | 5.5 | 2796 | 442 | 3 | 5.11 | 1.5 |
| 3 | 8.9 | 2961 | 441 | 2 | 5.11 | 1.5 |
| 4 | 11.5 | 3097 | 441 | 3 | 5.10 | 1.7 |
| 5 | 14.1 | 2996 | 439 | 5 | 5.07 | 2.3 |
| No. | χd0 | χs0 | α | β (×108) | ωd (×108 Hz) | ωs (×108 Hz) | (×107 Hz) | (×107 Hz) |
|---|---|---|---|---|---|---|---|---|
| 1 | 1536 | 1454 | 26.1 | 0.13 | 0.13 | 7.9 | 2.18 | 2.72 |
| 2 | 1637 | 1339 | 26.4 | 0.15 | 0.13 | 7.6 | 1.33 | 2.81 |
| 3 | 1701 | 1316 | 24.7 | 0.15 | 0.11 | 6.4 | 1.22 | 4.75 |
| 4 | 1742 | 1289 | 19.5 | 0.10 | 0.08 | 4.3 | 2.20 | 6.47 |
| 5 | 1663 | 1471 | 20.6 | 0.11 | 0.09 | 4.8 | 1.52 | 5.24 |
Disclaimer/Publisher’s Note: The statements, opinions and data contained in all publications are solely those of the individual author(s) and contributor(s) and not of MDPI and/or the editor(s). MDPI and/or the editor(s) disclaim responsibility for any injury to people or property resulting from any ideas, methods, instructions or products referred to in the content. |
© 2024 by the authors. Licensee MDPI, Basel, Switzerland. This article is an open access article distributed under the terms and conditions of the Creative Commons Attribution (CC BY) license (https://creativecommons.org/licenses/by/4.0/).
Share and Cite
Liu, H.; Liao, J.; Li, C.; Huang, G. Contribution of Magnetization Mechanisms in MnZn Ferrites with Different Grain Sizes and Sintering Densification. Coatings 2024, 14, 302. https://doi.org/10.3390/coatings14030302
Liu H, Liao J, Li C, Huang G. Contribution of Magnetization Mechanisms in MnZn Ferrites with Different Grain Sizes and Sintering Densification. Coatings. 2024; 14(3):302. https://doi.org/10.3390/coatings14030302
Chicago/Turabian StyleLiu, Hai, Jihong Liao, Chonghua Li, and Gang Huang. 2024. "Contribution of Magnetization Mechanisms in MnZn Ferrites with Different Grain Sizes and Sintering Densification" Coatings 14, no. 3: 302. https://doi.org/10.3390/coatings14030302
APA StyleLiu, H., Liao, J., Li, C., & Huang, G. (2024). Contribution of Magnetization Mechanisms in MnZn Ferrites with Different Grain Sizes and Sintering Densification. Coatings, 14(3), 302. https://doi.org/10.3390/coatings14030302
