Chitosan-Caffeic Acid Antibacterial Coating for PDMS Surfaces: A Sustained Moxifloxacin Release and Prolonged Coating Adhesion
Abstract
1. Introduction
2. Materials and Methods
2.1. Materials
2.2. Methodology
2.2.1. Chitosan Formulations
2.2.2. Surface Modification Surface Activation and Chitosan Coating
2.2.3. Surface Characterization
2.2.4. Bacterial Survival Test
2.2.5. Moxifloxacin Releases Kinetic Characterization
2.2.6. Adhesion Strength (Pull-Off Test)
2.2.7. Indirect Viability Test
2.2.8. Statistical Analysis
3. Results
3.1. Physico-Chemical Surface Characterization
3.2. Drug Release Kinects
3.3. Antibacterial Assay µ
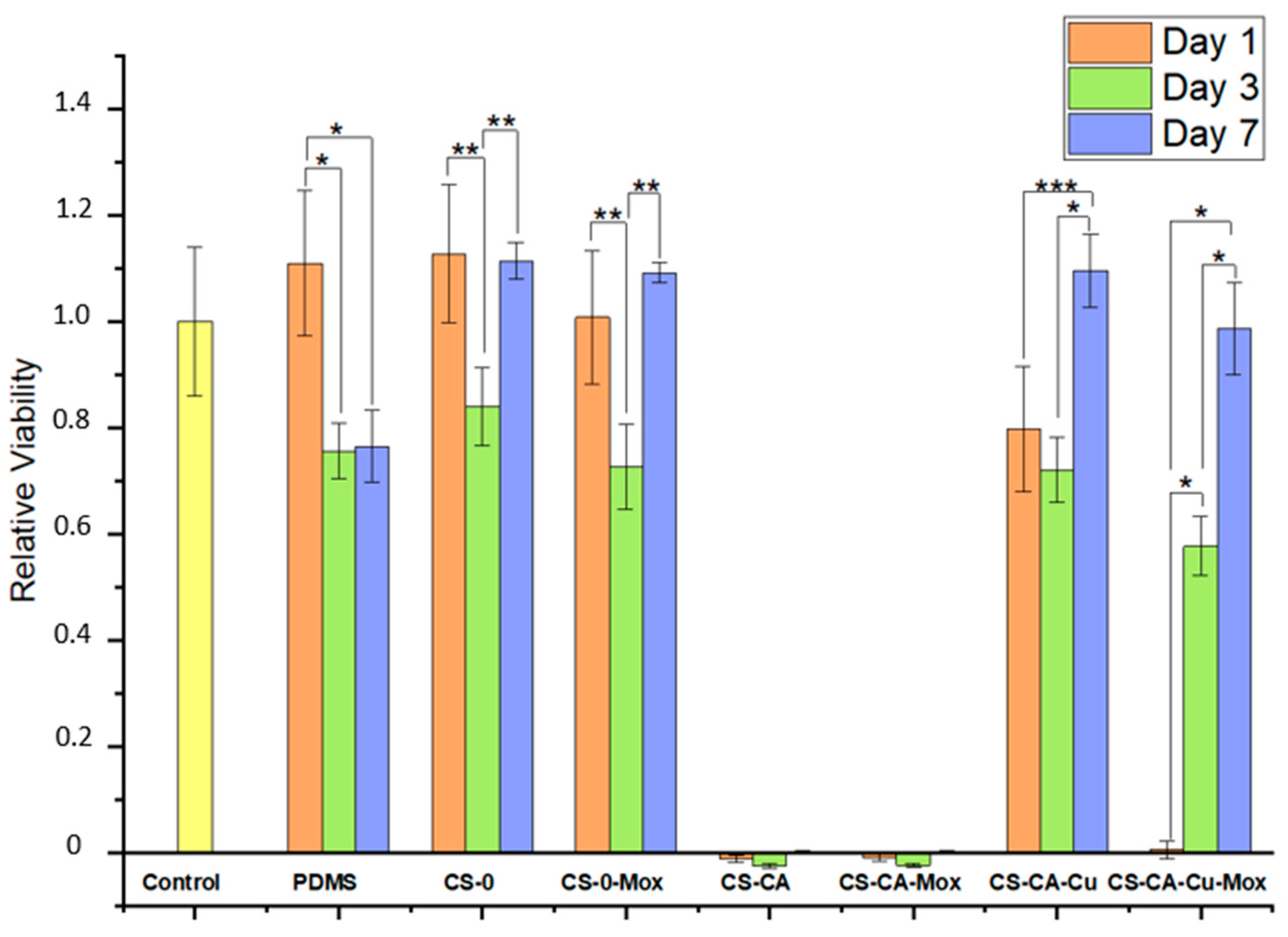
3.4. Indirect Cytotoxicity
3.5. Adhesion Strength of Chitosan-Based Coating
4. Conclusions
Author Contributions
Funding
Institutional Review Board Statement
Informed Consent Statement
Data Availability Statement
Acknowledgments
Conflicts of Interest
References
- Revelas, A. Healthcare—Associated infections: A public health problem. Niger. Med. J. 2012, 53, 59. [Google Scholar] [CrossRef] [PubMed]
- Public Health Agency of Canada. Report on the State of Public Health in Canada 2013; Public Health Agency of Canada: Ottawa, ON, Canada, 2013. [Google Scholar]
- Umscheid, C.A.; Mitchell, M.D.; Doshi, J.A.; Agarwal, R.; Williams, K.; Brennan, P.J. Estimating the Proportion of Healthcare-Associated Infections that Are Reasonably Preventable and the Related Mortality and Costs. Infect. Control Hosp. Epidemiol. 2011, 32, 101–114. [Google Scholar] [CrossRef] [PubMed]
- Siempos, I.I.; Kopterides, P.; Tsangaris, I.; Dimopoulou, I.; Armaganidis, A.E. Impact of catheter-related bloodstream infections on the mortality of critically ill patients: A meta-analysis. Crit. Care Med. 2009, 37, 2283–2289. [Google Scholar] [CrossRef] [PubMed]
- Vassallo, M.; Dunais, B.; Roger, P.M. Antimicrobial lock therapy in central-line associated bloodstream infections: A systematic review. Infection 2015, 43, 389–398. [Google Scholar] [CrossRef] [PubMed]
- Marschall, J. Current strategies for the prevention and management of central line-associated bloodstream infections. Infect. Drug Resist. 2010, 3, 147. [Google Scholar] [CrossRef] [PubMed]
- Tao, L.; Hu, B.; Rosenthal, V.D.; Gao, X.; He, L. Device-associated infection rates in 398 intensive care units in Shanghai, China: International Nosocomial Infection Control Consortium (INICC) findings. Int. J. Infect. Dis. 2011, 15, e774–e780. [Google Scholar] [CrossRef]
- Cloutier, M.; Mantovani, D.; Rosei, F. Antibacterial Coatings: Challenges, Perspectives, and Opportunities. Trends Biotechnol. 2015, 33, 637–652. [Google Scholar] [CrossRef]
- Alasvand, N.; Urbanska, A.M.; Rahmati, M.; Saeidifar, M.; Gungor-Ozkerim, P.S.; Sefat, F.; Rajadas, J.; Mozafari, M. Therapeutic Nanoparticles for Targeted Delivery of Anticancer Drugs; No. 2011; Elsevier Inc.: Amsterdam, The Netherlands, 2017. [Google Scholar] [CrossRef]
- Tolesa, L.D.; Gupta, B.S.; Lee, M.J. Chitin and chitosan production from shrimp shells using ammonium-based ionic liquids. Int. J. Biol. Macromol. 2019, 130, 818–826. [Google Scholar] [CrossRef]
- Chelu, M.; Musuc, A.M. Advanced Biomedical Applications of Multifunctional Natural and Synthetic Biomaterials. Processes 2023, 11, 2696. [Google Scholar] [CrossRef]
- Kausar, R.; Khan, A.U.; Jamil, B.; Shahzad, Y.; ul-Haq, I. Development and pharmacological evaluation of vancomycin loaded chitosan films. Carbohydr. Polym. 2021, 256, 117565. [Google Scholar] [CrossRef] [PubMed]
- Venkatesan, J.; Anil, S.; Kim, S.K.; Shim, M.S. Chitosan as a Vehicle for Growth Factor Delivery: Various Preparations and Their Applications in Bone Tissue Regeneration; Elsevier B.V.: Amsterdam, The Netherlands, 2017; Volume 104. [Google Scholar] [CrossRef]
- Younis, M.K.; Tareq, A.Z.; Kamal, I.M. Optimization of Swelling, Drug Loading and Release from Natural Polymer Hydrogels. IOP Conf. Ser. Mater. Sci. Eng. 2018, 454, 012017. [Google Scholar] [CrossRef]
- Wiggers, H.J.; Chevallier, P.; Copes, F.; Simch, F.H.; da Silva Veloso, F.; Genevro, G.M.; Mantovani, D. Quercetin-Crosslinked Chitosan Films for Controlled Release of Antimicrobial Drugs. Front. Bioeng. Biotechnol. 2022, 10, 1–11. [Google Scholar] [CrossRef] [PubMed]
- Gao, X.; Xu, Z.; Liu, G.; Wu, J. Polyphenols as a versatile component in tissue engineering. Acta Biomater. 2021, 119, 57–74. [Google Scholar] [CrossRef] [PubMed]
- Verma, R.P.; Hansch, C. An approach towards the quantitative structure-activity relationships of caffeic acid and its derivatives. ChemBioChem 2004, 5, 1188–1195. [Google Scholar] [CrossRef]
- Huang, Q.; Lin, Y.; Yan, Y. Caffeic acid production enhancement by engineering a phenylalanine over-producing Escherichia coli strain. Biotechnol. Bioeng. 2013, 110, 3188–3196. [Google Scholar] [CrossRef]
- Liu, F.; Ma, C.; Gao, Y.; McClements, D.J. Food-Grade Covalent Complexes and Their Application as Nutraceutical Delivery Systems: A Review. Compr. Rev. Food Sci. Food Saf. 2017, 16, 76–95. [Google Scholar] [CrossRef]
- Yan, G.; Chen, G.; Peng, Z.; Shen, Z.; Tang, X.; Sun, Y.; Zeng, X.; Lin, L. The Cross-Linking Mechanism and Applications of Catechol–Metal Polymer Materials. Adv. Mater. Interfaces 2021, 8, 2100239. [Google Scholar] [CrossRef]
- Mumtaz, A.; Mahmud, T.; Elsegood, M.R.; Weaver, G.W. Synthesis and Characterization of New Schiff Base Transition Metal Complexes Derived from Drug Together with Biological Potential Study. J. Nucl. Med. Radiat. Ther. 2016, 07, 2. [Google Scholar] [CrossRef]
- Hooper, D.C. Mechanisms of Action of Antimicrobials: Focus on Fluoroquinolones Inhibition of Cell Wall Synthesis. 2001. Available online: https://academic.oup.com/cid/article/32/Supplement_1/S9/298541 (accessed on 15 October 2023).
- Kaliyathan, A.V.; Mathew, A.; Rane, A.V.; Kanny, K.; Thomas, S. Natural Rubber and Silicone Rubber-Based Biomaterials; Elsevier Ltd.: Amsterdam, The Netherlands, 2018. [Google Scholar] [CrossRef]
- Tu, Q.; Wang, J.C.; Zhang, Y.; Liu, R.; Liu, W.; Ren, L.; Shen, S.; Xu, J.; Zhao, L.; Wang, J. Surface modification of poly(dimethylsiloxane) and its applications in microfluidics-based biological analysis. Rev. Anal. Chem. 2012, 31, 177–192. [Google Scholar] [CrossRef]
- Koh, K.S.; Chin, J.; Chia, J.; Chiang, C.L. Quantitative studies on PDMS-PDMS interface bonding with piranha solution and its swelling effect. Micromachines 2012, 3, 427–441. [Google Scholar] [CrossRef]
- Bhatt, P.; Kumar, V.; Subramaniyan, V.; Nagarajan, K.; Sekar, M.; Chinni, S.V.; Ramachawolran, G. Plasma Modification Techniques for Natural Polymer-Based Drug Delivery Systems. Pharmaceutics 2023, 15, 2066. [Google Scholar] [CrossRef]
- Marras-Marquez, T.; Peña, J.; Veiga-Ochoa, M.D. Robust and versatile pectin-based drug delivery systems. Int. J. Pharm. 2015, 479, 265–276. [Google Scholar] [CrossRef]
- Ding, Y.H.; Floren, M.; Tan, W. Mussel-inspired polydopamine for bio-surface functionalization. Biosurf. Biotribol. 2016, 2, 121–136. [Google Scholar] [CrossRef]
- Yang, F.; Zhao, B. Adhesion Properties of Self-Polymerized Dopamine Thin Film. Open Surf. Sci. J. 2011, 3, 115–122. [Google Scholar] [CrossRef]
- Lee, H.; Dellatore, S.M.; Miller, W.M.; Messersmith, P.B. Mussel-inspired surface chemistry for multifunctional coatings. Science 2007, 318, 426–430. [Google Scholar] [CrossRef]
- Farrokhi-Rad, M.; Fateh, A.; Shahrabi, T. Electrophoretic deposition of vancomycin loaded halloysite nanotubes-chitosan nanocomposite coatings. Surf. Coat. Technol. 2018, 349, 144–156. [Google Scholar] [CrossRef]
- Li, Y.; Ren, J.; Wang, B.; Lu, W.; Wang, H.; Hou, W. Development of biobased multilayer films with improved compatibility between polylactic acid-chitosan as a function of transition coating of SiOx. Int. J. Biol. Macromol. 2020, 165, 1258–1263. [Google Scholar] [CrossRef] [PubMed]
- Chevallier, P.; Wiggers, H.J.; Copes, F.; Bueno, C.Z.; Mantovani, D. Prolonged Antibacterial Activity in Tannic Acid–Iron Complexed Chitosan Films for Medical Device Applications. Nanomaterials 2023, 13, 484. [Google Scholar] [CrossRef] [PubMed]
- Siepmann, J.; Siepmann, F. Sink conditions do not guarantee the absence of saturation effects. Int. J. Pharm. 2020, 577, 119009. [Google Scholar] [CrossRef] [PubMed]
- Ocaña, J.A.; Barragán, F.J.; Callejón, M. Spectrofluorimetric determination of moxifloxacin in tablets, human urine and serum. Analyst 2000, 125, 2322–2325. [Google Scholar] [CrossRef] [PubMed]
- ISO 4624:2016; Paints and Varnishes Pull-Off Test for Adhesion. ISO: Geneve, Switzerland, 2016.
- ISO 10993-5:2009; Biological Evaluation of Medical Devices Part 5: Tests for In Vitro Cytotoxicity. ISO: Geneve, Switzerland, 2009.
- Nourmohammadi, J.; Hajibabaei, T.; Amoabediny, G.; Jafari, S.H. Aminosilane Layer Formation Inside the PDMS Tubes Improves Wettability and Cytocompatibility of Human Endothelial Cells the Preparation and Characterization of Nanofibrous Scaffold for Endothelial Progenitor Cell Expansion View Project. Available online: https://www.researchgate.net/publication/278753721 (accessed on 15 October 2023).
- Lu, M.; Ding, L.; Zhong, T.; Dai, Z. Improving Hydrophilicity and Adhesion of PDMS through Dopamine Modification Assisted by Carbon Dioxide Plasma. Coatings 2023, 13, 126. [Google Scholar] [CrossRef]
- Razaviamri, S.; Wang, K.; Liu, B.; Lee, B.P. Catechol-based antimicrobial polymers. Molecules 2021, 26, 559. [Google Scholar] [CrossRef]
- Silvestre, J.; Delattre, C.; Michaud, P.; de Baynast, H. Optimization of chitosan properties with the aim of a water resistant adhesive development. Polymers 2021, 13, 4031. [Google Scholar] [CrossRef]
- Siripatrawan, U.; Harte, B.R. Physical properties and antioxidant activity of an active film from chitosan incorporated with green tea extract. Food Hydrocoll. 2010, 24, 770–775. [Google Scholar] [CrossRef]
- Daniyal, W.M.E.M.M.; Fen, Y.W.; Saleviter, S.; Chanlek, N.; Nakajima, H.; Abdullah, J.; Yusof, N.A. X-ray photoelectron spectroscopy analysis of chitosan–graphene oxide-based composite thin films for potential optical sensing applications. Polymers 2021, 13, 478. [Google Scholar] [CrossRef]
- Li, P.C.; Liao, G.M.; Kumar, S.R.; Shih, C.M.; Yang, C.C.; Wang, D.M.; Lue, S.J. Fabrication and Characterization of Chitosan Nanoparticle-Incorporated Quaternized Poly(Vinyl Alcohol) Composite Membranes as Solid Electrolytes for Direct Methanol Alkaline Fuel Cells. Electrochim. Acta 2016, 187, 616–628. [Google Scholar] [CrossRef]
- Branca, C.; D’Angelo, G.; Crupi, C.; Khouzami, K.; Rifici, S.; Ruello, G.; Wanderlingh, U. Role of the OH and NH vibrational groups in polysaccharide-nanocomposite interactions: A FTIR-ATR study on chitosan and chitosan/clay films. Polymer 2016, 99, 614–622. [Google Scholar] [CrossRef]
- Cárdenas, G.; Miranda, S.P. FTIR and TGA studies of chitosan composite films. J. Chil. Chem. Soc. 2004, 49, 291–295. [Google Scholar] [CrossRef]
- Yamada, T.; Mizuno, M. Infrared Spectroscopy in the Middle Frequency Range for Various Imidazolium Ionic Liquids—Common Spectroscopic Characteristics of Vibrational Modes with In-Plane +C(2)-H and +C(4,5)-H Bending Motions and Peak Splitting Behavior Due to Local Symmetry Breaking of Vibrational Modes of the Tetrafluoroborate Anion. ACS Omega 2021, 6, 1709–1717. [Google Scholar] [CrossRef]
- Yoo, J.; Won, Y.Y. Phenomenology of the Initial Burst Release of Drugs from PLGA Microparticles. ACS Biomater. Sci. Eng. 2020, 6, 6053–6062. [Google Scholar] [CrossRef]
- Martinez, A.W.; Caves, J.M.; Ravi, S.; Li, W.; Chaikof, E.L. Effects of crosslinking on the mechanical properties, drug release and cytocompatibility of protein polymers. Acta Biomater. 2014, 10, 26–33. [Google Scholar] [CrossRef] [PubMed]
- Gómez-Herrero, A.C.; Sánchez-Sánchez, C.; Chérioux, F.; Martínez, J.I.; Abad, J.; Floreano, L.; Verdini, A.; Cossaro, A.; Mazaleyrat, E.; Guisset, V.; et al. Copper-assisted oxidation of catechols into quinone derivatives. Chem. Sci. 2021, 12, 2257–2267. [Google Scholar] [CrossRef] [PubMed]
- Chen, S.T.; Chien, H.W.; Cheng, C.Y.; Huang, H.M.; Song, T.Y.; Chen, Y.C.; Wu, C.H.; Hsueh, Y.H.; Wang, Y.H.; Ou, S.F. Drug-release dynamics and antibacterial activities of chitosan/cefazolin coatings on Ti implants. Prog. Org. Coat. 2021, 159, 106385. [Google Scholar] [CrossRef]
- Soares, I.; Faria, J.; Marques, A.; Ribeiro, I.A.; Baleizão, C.; Bettencourt, A.; Ferreira, I.M.; Baptista, A.C. Drug Delivery from PCL/Chitosan Multilayer Coatings for Metallic Implants. ACS Omega 2022, 7, 23096–23106. [Google Scholar] [CrossRef] [PubMed]
- Niemczyk, A.; Goszczyńska, A.; Gołda-Cępa, M.; Kotarba, A.; Sobolewski, P.; El Fray, M. Biofunctional catheter coatings based on chitosan-fatty acids derivatives. Carbohydr. Polym. 2019, 225, 115263. [Google Scholar] [CrossRef] [PubMed]
- Wang, B.B.; Quan, Y.H.; Xu, Z.M.; Zhao, Q. Preparation of highly effective antibacterial coating with polydopamine/chitosan/silver nanoparticles via simple immersion. Prog. Org. Coat. 2020, 149, 105967. [Google Scholar] [CrossRef]
- Vakili, N.; Asefnejad, A. Titanium coating: Introducing an antibacterial and bioactive chitosan-alginate film on titanium by spin coating. Biomed. Tech. 2020, 65, 621–630. [Google Scholar] [CrossRef]
- Park, M.K.; Li, M.X.; Yeo, I.; Jung, J.; Yoon, B.I.L.; Joung, Y.K. Balanced adhesion and cohesion of chitosan matrices by conjugation and oxidation of catechol for high-performance surgical adhesives. Carbohydr. Polym. 2020, 248, 116760. [Google Scholar] [CrossRef]









| Blank | |||||
|---|---|---|---|---|---|
| CS [mL] | CA [mL] | Cu [mL] | Mox [mL] | Water [mL] | |
| Cs-0 | 6.67 | - | - | - | 3.33 |
| CS-CA25 | 6.67 | 2.5 | - | - | 0.83 |
| CS-CA25-Cu5 | 6.67 | 2.5 | 0.25 | - | 0.58 |
| Mox-loaded Formulations | |||||
| CS [mL] | CA [mL] | Cu [mL] | Mox [mL] | Water [mL] | |
| Cs-0-Mox | 6.67 | - | - | 1 | 2.33 |
| CS-CA25-Mox | 6.67 | 2.5 | - | 1 | 0 |
| CS-CA25-Cu5-Mox | 6.67 | 2.5 | 0.25 | 1 | 0 |
| Sample Label | XPS Survey [%] | Contact Angle WCA (°) | Thickness (µm) | ||||
|---|---|---|---|---|---|---|---|
| C1s | N1s | O1s | Si2p | ||||
| Surface | PDMS | 54.1 ± 0.9 | 0 | 26.5 ± 0.4 | 19.4 ± 0.5 | 109 ± 2 | - |
| PDMS-NaOH | 52.4 ± 0.5 | 0 | 26.2 ± 0.2 | 21.5 ± 0.5 | 112 ± 2 | - | |
| PDMS-Dopa | 59.5 ± 1.3 | 2.8 ± 0.6 | 23.6 ± 0.5 | 13.8 ± 0.3 | 56 ± 3 | - | |
| Coating | CS-0 | 62.6 ± 1.4 | 5.2 ± 0.8 | 26.9 ± 0.8 | 5.3 ± 0.4 | 112.8 ± 0.5 | 11.1 ± 1.1 |
| CS-CA | 64.3 ± 1.1 | 2.9 ± 0.4 | 28.1 ± 0.3 | 4.7 ± 0.5 | 73.7 ± 0.2 | 10.7 ± 0.7 | |
| CS-CA-Cu | 55.4 ± 0.9 | 4.4 ± 0.3 | 35.9 ± 0.6 | 4.4 ± 0.4 | 53 ± 1 | 13.2 ± 2.5 | |
Disclaimer/Publisher’s Note: The statements, opinions and data contained in all publications are solely those of the individual author(s) and contributor(s) and not of MDPI and/or the editor(s). MDPI and/or the editor(s) disclaim responsibility for any injury to people or property resulting from any ideas, methods, instructions or products referred to in the content. |
© 2024 by the authors. Licensee MDPI, Basel, Switzerland. This article is an open access article distributed under the terms and conditions of the Creative Commons Attribution (CC BY) license (https://creativecommons.org/licenses/by/4.0/).
Share and Cite
Veloso, F.d.S.; Chevallier, P.; Wiggers, H.J.; Copes, F.; Drouin, B.; Mantovani, D. Chitosan-Caffeic Acid Antibacterial Coating for PDMS Surfaces: A Sustained Moxifloxacin Release and Prolonged Coating Adhesion. Coatings 2024, 14, 291. https://doi.org/10.3390/coatings14030291
Veloso FdS, Chevallier P, Wiggers HJ, Copes F, Drouin B, Mantovani D. Chitosan-Caffeic Acid Antibacterial Coating for PDMS Surfaces: A Sustained Moxifloxacin Release and Prolonged Coating Adhesion. Coatings. 2024; 14(3):291. https://doi.org/10.3390/coatings14030291
Chicago/Turabian StyleVeloso, Felipe da Silva, Pascale Chevallier, Helton José Wiggers, Francesco Copes, Bernard Drouin, and Diego Mantovani. 2024. "Chitosan-Caffeic Acid Antibacterial Coating for PDMS Surfaces: A Sustained Moxifloxacin Release and Prolonged Coating Adhesion" Coatings 14, no. 3: 291. https://doi.org/10.3390/coatings14030291
APA StyleVeloso, F. d. S., Chevallier, P., Wiggers, H. J., Copes, F., Drouin, B., & Mantovani, D. (2024). Chitosan-Caffeic Acid Antibacterial Coating for PDMS Surfaces: A Sustained Moxifloxacin Release and Prolonged Coating Adhesion. Coatings, 14(3), 291. https://doi.org/10.3390/coatings14030291

