Superhydrophobic Coating Based on Nano-Silica Modification for Antifog Application of Partition Glass
Abstract
1. Introduction
2. Experimental Section
2.1. Materials
2.2. Modification Protocol for SiO2
2.2.1. Vinyl Triethoxysilane-Modified SiO2
2.2.2. KH-560-Modified SiO2
2.2.3. Trimethylchlorosilane-Modified SiO2
2.3. Preparation of Superhydrophobic Coatings
2.4. Characterization
3. Results and Discussion
3.1. Characterization of Modified SiO2
3.1.1. SEM Analysis
3.1.2. XRD Analysis
3.1.3. Fourier Transformed Infrared Spectroscopy (FTIR)
3.1.4. TG Analysis
3.2. Morphology Analysis of EVA/Nano-SiO2 Surface
3.3. Effect of T-SiO2 Content on Hydrophobicity
3.4. WCA Measurement
3.5. Durability and Chemical Stability Analysis
3.6. Self-Cleaning Behavior of EVA/T-SiO2 Surface
3.7. Mechanical Properties of EVA/T-SiO2 Surface
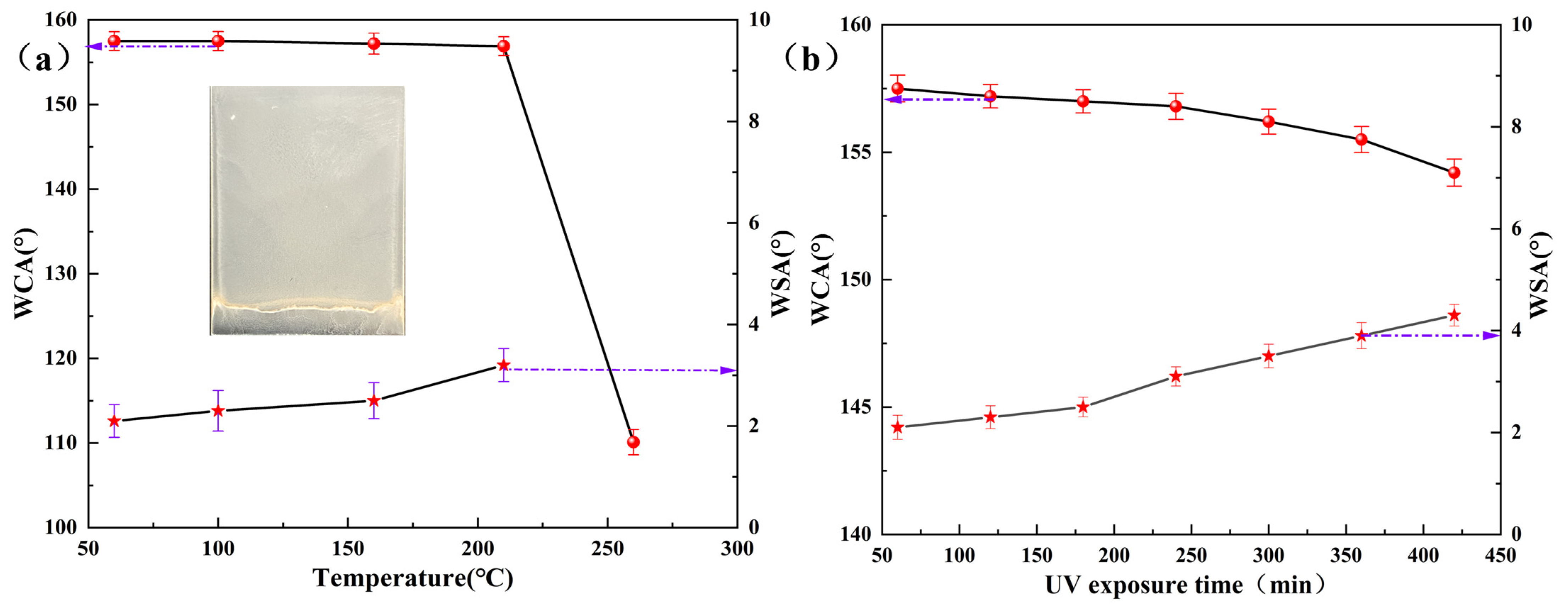
3.8. Weatherability of EVA/T-SiO2 Coating
3.9. Application of EVA/T-SiO2 Coating in Anti-Fog Glass
3.10. Effect of Modifier on Superhydrophobic Mechanism of Coating
4. Conclusions
Supplementary Materials
Author Contributions
Funding
Institutional Review Board Statement
Informed Consent Statement
Data Availability Statement
Conflicts of Interest
References
- Wang, L.; Shu, L.; Hu, Q.; Jiang, X.; Yang, H.; Wang, H.; Rao, L. Mechanism of self-recovery of hydrophobicity after surface damage of lotus leaf. Plant Methods 2024, 20, 47. [Google Scholar] [CrossRef] [PubMed]
- Xu, L.; Yang, L.; Yang, S.; Xu, Z.; Lin, G.; Shi, J.; Zhang, R.; Yu, J.; Ge, D.; Guo, Y. Earthworm-inspired ultradurable superhydrophobic fabrics from adaptive wrinkled skin. ACS Appl. Mater. Interfaces 2021, 13, 6758–6766. [Google Scholar] [CrossRef] [PubMed]
- Wang, L.; Zhang, R.; Chen, L.; Dai, X.; Yan, Y.; Pan, J.; Dai, J. Scalable and universal polyphenol-mediated prussian blue nanocomposite membranes: Underliquid dual superlyophobicity and catalytic self-cleaning. J. Membr. Sci. 2023, 685, 121971. [Google Scholar] [CrossRef]
- Qi, Y.; Wei, R.; Zhang, Q.; Fu, A.; Lv, N.; Yuan, J. Corrosion-Resistant Organic Superamphiphobic Coatings. Coatings 2024, 14, 678. [Google Scholar] [CrossRef]
- He, Z.; Zhuo, Y.; Zhang, Z.; He, J. Design of Icephobic Surfaces by Lowering Ice Adhesion Strength: A Mini Review. Coatings 2021, 11, 1343. [Google Scholar] [CrossRef]
- Xiong, Z.; Huang, J.; Wu, Y.; Gong, X. Robust multifunctional fluorine-free superhydrophobic fabrics for high-efficiency oil–water separation with ultrahigh flux. Nanoscale 2022, 14, 5840–5850. [Google Scholar] [CrossRef]
- Ferreira, A.A.; Silva, F.J.G.; Pinto, A.G.; Sousa, V.F.C. Characterization of Thin Chromium Coatings Produced by PVD Sputtering for Optical Applications. Coatings 2021, 11, 215. [Google Scholar] [CrossRef]
- Cohen, N.; Dotan, A.; Dodiuk, H.; Kenig, S. Superhydrophobic Coatings and Their Durability. Mater. Manuf. Process. 2015, 31, 1143–1155. [Google Scholar] [CrossRef]
- Pan, S.; Hu, Q.; Zhao, Y.; Wang, Q.; Li, Y.; Qian, Y.; He, C. Fabrication of a Fluorocarbon Low Surface Energy Coating for Anti-Stain Applications. Materials 2023, 16, 7516. [Google Scholar] [CrossRef]
- Sarkar, D.; Dhar, M.; Das, A.; Mandal, S.; Phukan, A.; Manna, U. Covalent crosslinking chemistry for controlled modulation of nanometric roughness and surface free energy. Chem. Sci. 2024, 15, 4938–4951. [Google Scholar] [CrossRef]
- Xia, X.; Liu, J.; Liu, Y.; Lei, Z.; Han, Y.; Zheng, Z.; Yin, J. Preparation and Characterization of Biomimetic SiO2-TiO2-PDMS Composite Hydrophobic Coating with Self-Cleaning Properties for Wall Protection Applications. Coatings 2023, 13, 224. [Google Scholar] [CrossRef]
- Gao, X.; Gao, Y.; Cao, H.; Zhang, J. Eco-Friendly Sustainable and Responsive High-Performance Benzotriazole-Metal Organic Frameworks/Silica Composite Coating with Active/Passive Corrosion Protection on Copper. Langmuir 2024, 40, 7639–7652. [Google Scholar] [CrossRef] [PubMed]
- Zhou, J.; Zheng, H.; Sheng, W.; Hao, X.; Zhang, X. Preparation and Anti-Icing Properties of Zirconia Superhydrophobic Coating. Molecules 2024, 29, 1837. [Google Scholar] [CrossRef] [PubMed]
- Du, Y.; Hu, L.; Dong, L.; Du, S.; Xu, D. Experimental Study on Anti-Icing of Robust TiO2/Polyurea Superhydrophobic Coating. Coatings 2023, 13, 1162. [Google Scholar] [CrossRef]
- Saifaldeen, Z.S.; Khedir, K.R.; Camci, M.T.; Ucar, A.; Suzer, S.; Karabacak, T. The effect of polar end of long-chain fluorocarbon oligomers in promoting the superamphiphobic property over multi-scale rough Al alloy surfaces. Appl. Surf. Sci. 2016, 379, 55–65. [Google Scholar] [CrossRef]
- Li, Y.; Li, L.; Wan, D.; Sha, A.; Li, Y.; Liu, Z. Preparation and evaluation of a fluorinated nano-silica superhydrophobic coating for cement pavement. Constr. Build. Mater. 2022, 360, 129478. [Google Scholar] [CrossRef]
- Jiang, S.; Zhou, S.; Du, B.; Luo, R. Preparation of superhydrophobic paper with double-size silica particles modified by amino and epoxy groups. AIP Adv. 2021, 11, 025127. [Google Scholar] [CrossRef]
- Wang, J.; Ma, W.; Xin, G.; Pan, Y.; Zhang, Z.; Sun, Y. Preparation of dense modified nanosilica superhydrophilic coatings on aluminum alloy surfaces by adjusting amino groups. Ceram. Int. 2023, 49, 16123–16136. [Google Scholar] [CrossRef]
- Zhang, L.; Chang, Z.X.; Li, D.L. The Surface Modification of Silica with Vinyltriethoxysilane. Adv. Mater. Res. 2011, 399–401, 1123–1130. [Google Scholar] [CrossRef]
- Gong, B.; Ma, L.; Guan, Q.; Tan, R.; Wang, C.; Wang, Z.; Wang, K.; Liu, C.; Deng, C.; Song, W.; et al. Preparation and particle size effects study of sustainable self-cleaning and durable silicon materials with superhydrophobic surface performance. J. Environ. Chem. Eng. 2022, 10, 107884. [Google Scholar] [CrossRef]
- Zeng, G.; Gong, B.; Li, Y.; Wang, K.; Guan, Q. Nano-silica modified with silane and fluorinated chemicals to prepare a superhydrophobic coating for enhancing self-cleaning performance. Water Sci. Technol. 2024, 90, 777–790. [Google Scholar] [CrossRef] [PubMed]
- Zhao, Y.; Yu, C.; Lan, H.; Cao, M.; Jiang, L. Improved Interfacial Floatability of Superhydrophobic/Superhydrophilic Janus Sheet Inspired by Lotus Leaf. Adv. Funct. Mater. 2017, 27, 1701466. [Google Scholar] [CrossRef]
- Guo, J.; Wang, C.; Yu, H.; Li, X. Preparation of a wear-resistant, superhydrophobic SiO2/silicone-modified polyurethane composite coating through a two-step spraying method. Prog. Org. Coat. 2020, 146, 105710. [Google Scholar] [CrossRef]
- Ren, G.; Qiao, Z.; Tuo, Y.; Zheng, W.; Chen, X.; Shang, J.; Xu, H.; Bai, L.; Cao, X.; Ma, H.; et al. Graded fillers method fabricating superamphiphobic coatings with high thermal conductivity, wear resistance and durable corrosion resistance. Prog. Org. Coat. 2024, 189, 108268. [Google Scholar] [CrossRef]
- Yang, X.; Yu, K.; Ji, F.; Nie, T.; Li, K.; Bai, T. Mechanical Properties of SiO2/KH560 Modified Basalt Fiber Reinforced Concrete. Bull. Chin. Ceram. Soc. 2024, 43, 102–112. [Google Scholar] [CrossRef]
- Zhang, H.; Zhou, X.; Guo, H.; Zhang, Y.; Li, D.; Ye, F.; Tong, Y.; Wang, Z. Effects of particle size and modifier amount on hydrophobicity of as-synthesized and modified nano-silica spheres. Ceram. Int. 2024, 50, 21511–21518. [Google Scholar] [CrossRef]
- Alan, B.O.; Barisik, M. Size and roughness dependent temperature effects on surface charge of silica nanoparticles. Colloids Surf. A Physicochem. Eng. Asp. 2021, 629, 127407. [Google Scholar] [CrossRef]
- Wang, L.; Wang, H.; Rong, M.; Li, W.; Li, N.; Liu, P.; Li, X.; Zhang, Z. Preparation of hyperbranched hydrophobic nano-silica and its superior needling-effect in PDMS defoam agent. J. Colloid Interface Sci. 2024, 670, 698–708. [Google Scholar] [CrossRef]
- Raveendran, N.; Vasugi, K. Synergistic effect of nano silica and metakaolin on mechanical and microstructural properties of concrete: An approach of response surface methodology. Case Stud. Constr. Mater. 2024, 20, e03196. [Google Scholar] [CrossRef]
- Ghamarpoor, R.; Jamshidi, M. Preparation of Superhydrophobic/Superoleophilic nitrile rubber (NBR) nanocomposites contained silanized nano silica for efficient oil/water separation. Sep. Purif. Technol. 2022, 291, 120854. [Google Scholar] [CrossRef]
- Wei, R.; Dong, B.; Wang, F.; Yang, J.; Jiang, Y.; Zhai, W.; Li, H. Effects of silica morphology on the shear—Thickening behavior of shear thickening fluids and stabbing resistance of fabric composites. J. Appl. Polym. Sci. 2019, 137, 48809. [Google Scholar] [CrossRef]
- Jiang, L.; Hou, P.; He, S.; Han, M.; Xiang, P.; Xiao, T.; Tan, X. The robust superhydrophobic SiO2/Diatomite/PDMS/KH-570/Me-MQ composite coating for self-cleaning application of building surface. Colloids Surf. A Physicochem. Eng. Asp. 2022, 634, 127936. [Google Scholar] [CrossRef]
- Rochlitz, L.; Searles, K.; Alfke, J.; Zemlyanov, D.; Safonova, O.V.; Copéret, C. Silica-supported, narrowly distributed, subnanometric Pt–Zn particles from single sites with high propane dehydrogenation performance. Chem. Sci. 2020, 11, 1549–1555. [Google Scholar] [CrossRef]
- Iacopi, F.; Travaly, Y.; Eyckens, B.; Waldfried, C.; Abell, T.; Guyer, E.P.; Gage, D.M.; Dauskardt, R.H.; Sajavaara, T.; Houthoofd, K.; et al. Short-ranged structural rearrangement and enhancement of mechanical properties of organosilicate glasses induced by ultraviolet radiation. J. Appl. Phys. 2006, 99, 053511. [Google Scholar] [CrossRef]
- Fidalgo, A.M.; Ilharco, L.M. Tailoring the structure and hydrophobic properties of amorphous silica by silylation. Microporous Mesoporous Mater. 2012, 158, 39–46. [Google Scholar] [CrossRef]
- Lee, J.H.; Jeong, H.Y.; Lee, S.Y.; Cho, S.O. Effects of Electron Beam Irradiation on Mechanical and Thermal Shrinkage Properties of Boehmite/HDPE Nanocomposite Film. Nanomaterials 2021, 11, 777. [Google Scholar] [CrossRef]
- Wang, Z.; Liu, M.C.; Chang, Z.Y.; Li, H.B. Study on the graft modification mechanism of macroporous silica gel surface based on silane coupling agent vinyl triethoxysilane. RSC Adv. 2021, 11, 25158–25169. [Google Scholar] [CrossRef] [PubMed]
- Yu, Y.; Sun, D.; Yu, Y.; Feng, A.; Mi, L.; Yang, C. Synthesis and Performance of KH-560 Modified SiO2 Insulation Coating. J. Inorg. Mater. 2021, 36, 1343–1348. [Google Scholar] [CrossRef]
- Nadargi, D.Y.; Latthe, S.S.; Hirashima, H.; Rao, A.V. Studies on rheological properties of methyltriethoxysilane (MTES) based flexible superhydrophobic silica aerogels. Microporous Mesoporous Mater. 2009, 117, 617–626. [Google Scholar] [CrossRef]
- Zhao, J.; Chen, S.; Su, W.; Zhu, L.; Cheng, X.; Wu, J.; Zhao, S.; Zhou, C. Construction of a durable superhydrophobic surface based on the oxygen inhibition layer of organosilicon resins. Thin Solid Films. 2021, 717, 138467. [Google Scholar] [CrossRef]
- Zhang, J.; Wang, P.; Tan, C.; Zhao, Y.; Zhu, Y.; Bai, J.; Xiao, X.; Zhang, L.; Teng, D.; Tian, J.; et al. Effects of L.plantarum dy-1 fermentation time on the characteristic structure and antioxidant activity of barley β-glucan in vitro. Curr. Res. Food Sci. 2022, 5, 125–130. [Google Scholar] [CrossRef] [PubMed]
- Ali, S.; Mansha, M.; Baig, N.; Khan, S.A. Cost-Effective and Selective Fluorescent Chemosensor (Pyr-NH@SiO2 NPs) for Mercury Detection in Seawater. Nanomaterials 2022, 12, 1249. [Google Scholar] [CrossRef] [PubMed]
- Faria, E.S.A.L.; Dos Santos, A.; Tang, A.; Girotto, E.M.; Pfeifer, C.S. Effect of thiourethane filler surface functionalization on stress, conversion and mechanical properties of restorative dental composites. Dent. Mater. 2018, 34, 1351–1358. [Google Scholar] [CrossRef] [PubMed]
- Qiao, S.; Yu, H.; Wang, Y.; Zhan, L.; Liu, Q.; Fan, Z.; Sun, A. Foam stability of temperature-resistant hydrophobic silica particles in porous media. Front. Chem. 2022, 10, 960067. [Google Scholar] [CrossRef]
- Kosak Söz, C.; Yilgör, E.; Yilgör, I. Influence of the average surface roughness on the formation of superhydrophobic polymer surfaces through spin-coating with hydrophobic fumed silica. Polymer 2015, 62, 118–128. [Google Scholar] [CrossRef]
- Fei, L.; He, Z.; LaCoste, J.D.; Nguyen, T.H.; Sun, Y. A Mini Review on Superhydrophobic and Transparent Surfaces. Chem. Rec. 2020, 20, 1257–1268. [Google Scholar] [CrossRef]
- He, Z.; Wang, N.; Yang, X.; Mu, L.; Wang, Z.; Su, J.; Luo, M.; Li, J.; Deng, F.; Lan, X. Antifouling induced by surface wettability of poly(dimethyl siloxane) and its nanocomposites. Nanotechnol. Rev. 2023, 12, 20220552. [Google Scholar] [CrossRef]
- Liu, J.; Cheng, Y.; Xu, K.; An, L.; Su, Y.; Li, X.; Zhang, Z. Effect of nano-silica filler on microstructure and mechanical properties of polydimethylsiloxane-based nanocomposites prepared by “inhibition-grafting” method. Compos. Sci. Technol. 2018, 167, 355–363. [Google Scholar] [CrossRef]
- Durán, I.R.; Laroche, G. Water drop-surface interactions as the basis for the design of anti-fogging surfaces: Theory, practice, and applications trends. Adv. Colloid Interface Sci. 2019, 263, 68–94. [Google Scholar] [CrossRef]
- Chen, S. Preparation of Silicone Superhydrophobic Coatings and Its Properties. Master’s Thesis, Shandong University, Jinan, China, 2019. [Google Scholar]
- Yang, F.; Zhang, J. Durable superhydrophobic EVA cellular material spin-coated by SiO2/SEBS-g-MAH toward self-cleaning roofs. Prog. Org. Coat. 2022, 168, 106896. [Google Scholar] [CrossRef]
- Si, W.; Guo, Z. Enhancing the lifespan and durability of superamphiphobic surfaces for potential industrial applications: A review. Adv. Colloid Interface Sci. 2022, 310, 102797. [Google Scholar] [CrossRef] [PubMed]
- Do, V.T.; Chun, D.M. Fabrication of large-scale, flexible, and robust superhydrophobic composite films using hydrophobic fumed silica nanoparticles and polydimethylsiloxane. Polymer 2022, 244, 124630. [Google Scholar] [CrossRef]
- Masoud, M.; Hassanzadeh-Tabrizi, S.A. Evaluating the potential of MesoporousTiO2/ NiFe2O4 nano composite integrated on polydimethylsiloxane sponge for degradation of Methyl Orange. J. Mater. Sci. Mater. Electron. 2023, 34, 2256. [Google Scholar] [CrossRef]
- Cao, Y.; Li, C.; Li, J.; Li, Q.; Yang, J. Magnetically separable Fe3O4/AgBr hybrid materials: Highly efficient photocatalytic activity and good stability. Nanoscale Res. Lett. 2015, 10, 952. [Google Scholar] [CrossRef]
- Xi, R.; Wang, Y.; Wang, X.; Lv, J.; Li, X.; Li, T.; Zhang, X.; Du, X. Ultrafine nano-TiO2 loaded on dendritic porous silica nanoparticles for robust transparent antifogging self-cleaning nanocoatings. Ceram. Int. 2020, 46, 23651–23661. [Google Scholar] [CrossRef]
- Cai, Y.; Li, J.; Yi, L.; Yan, X.; Li, J. Fabricating superhydrophobic and oleophobic surface with silica nanoparticles modified by silanes and environment-friendly fluorinated chemicals. Appl. Surf. Sci. 2018, 450, 102–111. [Google Scholar] [CrossRef]
- Zhang, X.; Zhang, H.; Yan, F.; Li, X.; Ding, T. Modification of silica and the effect on application of rubber. Chin. Sci. Bull. 2016, 61, 3338–3347. [Google Scholar] [CrossRef]
- Zhao, Y.; Qu, D.; Yu, T.; Xie, X.; He, C.; Ge, D.; Yang, L. Frost-resistant high-performance wood via synergetic building of omni-surface hydrophobicity. Chem. Eng. J. 2020, 385, 123860. [Google Scholar] [CrossRef]















| Type of Peak | Wavelength (cm−1) | Type of Peak | Wavelength (cm−1) |
|---|---|---|---|
| υ(O-H) | 3333 | υ(C-H) | 2991, 2987, 2983, 2901, 2895, 2893 |
| δ(H-O-H) | 1637 | υ(-Si-CH=CH2) | 1605 |
| δ(C-H) | 1413 | δs(C-H) | 1409 |
| δs(Si-CH3) | 1277 | υas(Si-O-Si) | 1075, 1072, 1070, 1051 |
| δ(Si-OH) | 974, 969, 967, 960 | υs(Si-O-Si) | 799, 795, 793, 763 |
Disclaimer/Publisher’s Note: The statements, opinions and data contained in all publications are solely those of the individual author(s) and contributor(s) and not of MDPI and/or the editor(s). MDPI and/or the editor(s) disclaim responsibility for any injury to people or property resulting from any ideas, methods, instructions or products referred to in the content. |
© 2024 by the authors. Licensee MDPI, Basel, Switzerland. This article is an open access article distributed under the terms and conditions of the Creative Commons Attribution (CC BY) license (https://creativecommons.org/licenses/by/4.0/).
Share and Cite
Yu, L.; Ma, K.; Yin, H.; Zhou, C.; He, W.; Yu, G.; Zhang, Q.; Liu, Q.; Zhao, Y. Superhydrophobic Coating Based on Nano-Silica Modification for Antifog Application of Partition Glass. Coatings 2024, 14, 1375. https://doi.org/10.3390/coatings14111375
Yu L, Ma K, Yin H, Zhou C, He W, Yu G, Zhang Q, Liu Q, Zhao Y. Superhydrophobic Coating Based on Nano-Silica Modification for Antifog Application of Partition Glass. Coatings. 2024; 14(11):1375. https://doi.org/10.3390/coatings14111375
Chicago/Turabian StyleYu, Linfei, Kaiyang Ma, Hong Yin, Chenliang Zhou, Wenxiu He, Gewen Yu, Qiang Zhang, Quansheng Liu, and Yanxiong Zhao. 2024. "Superhydrophobic Coating Based on Nano-Silica Modification for Antifog Application of Partition Glass" Coatings 14, no. 11: 1375. https://doi.org/10.3390/coatings14111375
APA StyleYu, L., Ma, K., Yin, H., Zhou, C., He, W., Yu, G., Zhang, Q., Liu, Q., & Zhao, Y. (2024). Superhydrophobic Coating Based on Nano-Silica Modification for Antifog Application of Partition Glass. Coatings, 14(11), 1375. https://doi.org/10.3390/coatings14111375

