Next Article in Journal
Performance of Cobalt-Doped C3N5 Electrocatalysis Nitrate in Ammonia Production
Next Article in Special Issue
Essential Oils and Essential Oil-Based Products Compared to Chemical Biocides Against Microbial Patinas on Stone Cultural Heritage
Previous Article in Journal
Effect of Rare Earth Y on the Microstructure, Mechanical Properties and Friction of Sn-Babbitt Alloy
Previous Article in Special Issue
Investigation of Whitening Mechanism on Cultural Relic Surfaces Treated with Paraloid B72
 
 
Font Type:
Arial Georgia Verdana
Font Size:
Aa Aa Aa
Line Spacing:
Column Width:
Background:
Article

Assessing the Fire Properties of Various Surface Treatments on Timber Components in Ancient Chinese Buildings: A Case Study from the Xianqing Temple in Changzhi, Shanxi, China

1
School of Human Settlements and Civil Engineering, Xi’an Jiaotong University, Xi’an 710049, China
2
Key Laboratory of Ecology and Energy Saving Study of Dense Habitat, Ministry of Education, Shanghai 200092, China
3
College of Architecture and Urban Planning, Tongji University, Shanghai 200092, China
*
Authors to whom correspondence should be addressed.
Coatings 2024, 14(10), 1326; https://doi.org/10.3390/coatings14101326
Submission received: 19 September 2024 / Revised: 11 October 2024 / Accepted: 15 October 2024 / Published: 16 October 2024
(This article belongs to the Special Issue Coatings for Cultural Heritage: Cleaning, Protection and Restoration)

Abstract

Traditional and modern coatings play a key role in enhancing the fire resistance of ancient Chinese buildings. However, further comparative analysis is needed on the fire properties of the two coatings and their effects on different timber structural components. This study focuses on the main hall of the Shanxi Changzhi Xianqing Temple, a typical traditional column and beam construction built between the Song and Jin periods. Firstly, the combustion characteristics of various timber structural component samples with different surface treatments (traditional “Yi-ma-wu-hui” and modern flame retardants) were analyzed using cone calorimeter. Secondly, the fire development process of the Xianqing Temple building model was analyzed by a fire dynamics simulator (FDS), and the effect mechanism of different surface treatments on the burning process was further studied. The results show that the fire resistance of timber structural components is significantly improved after modern and traditional surface treatments. The traditional method is more effective in delaying the peak heat release rate and reducing the surface temperature during combustion, while the modern surface treatment significantly prolongs the ignition time of the timber structural components. The FDS results confirm that modern and traditional surface treatments significantly improve the fire resistance of the building, delaying the flashover time by about 300 s, with no collapse occurring within 800 s. In addition, the fire resistance of buildings after traditional surface treatment is better compared to traditional methods. The above research results can provide direct data support for the selection and optimization of fireproof coatings and treatment methods for ancient buildings.

1. Introduction

In ancient Chinese architecture, improving the fire resistance of buildings has always been an important consideration. Traditionally, applying mud plaster and using brick walls have been some of the fire prevention measures that have been commonly adopted. In particular, Yi-ma-wu-hui, a fireproof traditional coating that was formed by mixing raw hemp with lime plaster and other organic additives (such as tung oil, pig blood, and paper pulp), was often applied to the surface of timber structures to enhance the fire properties of the building. This traditional surface treatment was emphasized in the “Principles for the Conservation of Wooden Built Heritage” published by the 19th International Council on Monuments and Sites (ICOMOS) in 2017 [1]. In recent years, the application of modern flame-retardant coatings has gradually increased, providing more possibilities for fire prevention in ancient timber structural buildings [2,3]. New flame retardants include various inorganic or organic chemical agents that can significantly improve the flame retardancy of wood. Compared to traditional methods, these chemical flame retardants have the advantages of simple preparation and long-lasting effects, making them very suitable for the fire prevention treatment of timber structures in large-scale or difficult-to-disassemble ancient buildings [4,5]. For example, in key parts of timber structures such as mortise and tenon connections, timber column beam frames, the application of transparent flame retardants through full-surface brushing can strengthen the fire resistance capability of these timber structures, reduce the risk of fire, and have a minimal visual impact [6,7].
Previous studies have revealed the main components and content ratios of the “Yi-ma-wu-hui” used in Chinese timber structures of ancient buildings [8,9] and confirmed that this technique can significantly enhance the fire properties of timber components [10,11,12]. “Yi-ma-wu-hui” can increase the fire resistance limitation of timber components to a certain extent and reduce fire destructions. Also, the traditional material provides a protective layer at high temperatures, insulating oxygen and reducing heat transfer [8]. In addition, the favorable application effects of various modern flame retardants in the fire prevention properties of timber structures in ancient buildings have also been confirmed in previous studies. These modern flame retardants often contain intumescent components that form a foam layer at high temperatures, insulating and stopping the flame from spreading. Moreover, a good-quality fireproofing coating can significantly extend the ignition time and fire resistance of wood [13,14,15]. Compared to the original timber structure components, the heat release rate of components treated with flame retardants has been reduced by 53.1% [16,17]. The addition of flame retardants also reduces the concentration of smoke and carbon dioxide gas released, lowering the fire scene’s temperature [6]. However, although the above studies have confirmed that both the traditional “Yi-ma-wu-hui” prevention technique and flame retardants can achieve better fire prevention properties in ancient buildings, further comparative analyses on the fire prevention effects of these surface treatments and their effects on different timber structural components are still needed.
Past studies on the fire resistance of timber structural components in ancient Chinese buildings revealed that the cone calorimeter has been widely used for evaluating the fire properties of these components [18]. This analytical technique could simulate a real-time fire environment by exposing the timber structural components to stable heat radiation, allowing for the precise measurement and analysis of the material’s reaction to heat. Through testing and analysis with the cone calorimeter, important data on how wood and fire prevention treatment materials react under different heat radiation intensities can be obtained, which subsequently help to optimize fire treatment techniques and explore the fire resistance properties of various types and ratios of flame retardants [19,20]. Additionally, due to the high cost of actual fire tests and the limited data collected, the fire dynamics simulator (FDS) has gradually become an important tool in the study of fire properties in timber structures of ancient buildings [21,22]. FDS uses parallel computing to simulate the temporal and spatial distribution of parameters including smoke, temperature, and oxygen concentration, accurately depicting the fire development process. Researchers can design various complex geometric scenarios and fire source models according to the real environment, simulating fire scenarios under different ventilation conditions, burning materials, and layouts. In addition, previous studies have revealed that the fire resistance properties of timber structures in ancient buildings are closely related to parameters using FDS, such as the fire source position, the timber structure types, and the window area of buildings [23,24,25,26,27,28,29,30,31].
Based on the above analysis, this study focuses on the traditional column and beam construction of the Shanxi Changzhi Xianqing Temple main hall that was built between the Song and Jin dynasties, with the aim of exploring the fire performance of different woods and surface treatments. Elm, pine, and poplar wood, which are widely used for the roof rafter of the main hall of the Xianqing Temple, were taken as the objects of this study. Firstly, traditional “Yi-ma-wu-hui” and modern flame retardants are used for the surface treatment of different types of wood samples (elm, pine, and poplar). Next, the combustion characteristics of the wood samples under different surface treatment conditions are analyzed using the cone calorimeter, and the fire resistance properties of wood samples with different surface treatments are studied comparatively. Finally, based on the combustion characteristic data of different wood samples, a PyroSim model of the Xianqing Temple main hall is established using FDS for fire dynamic simulation analysis, revealing the effect of different surface treatments on the fire development process of the building.

2. Materials and Methods

2.1. Materials

Built between the Song and Jin dynasties, Xianqing Temple is located in Shangcun village, Changzhi City, Shanxi Province of China. The main timber structural components of the temple main hall are primarily constructed of poplar wood (Populus L.) (Figure 1). According to previous research, the upper part of the building and the areas near the fire source usually experienced the highest temperatures, and smoke that did not dissipate in time tended to accumulate around the roof rafter region, thus making the roof rafters the most vulnerable area within the timber frame [26]. Therefore, in this study, the rafter component of the Xianqing Temple was chosen as the study object. On-site investigations revealed that some timber structural components, particularly the rafters, were replaced with pine (Pinus sylvestris var. mongolica Litv.) and elm (Ulmus pumila L.) from previous restorations (Figure 2); hence, three wood species, namely elm, pine, and poplar wood, were selected for testing.
Based on the above findings, a total of 9 samples, consisting of 3 samples for each of the three wood species—elm, pine, and poplar—were prepared. Due to the size limitation of the cone calorimeter tray, the test samples were specifically designed to be 90 mm × 90 mm × 6 mm so that they could fit into the tray accurately. All samples were maintained at a moisture content of less than 18% and were then subjected to surface polishing prior to the application of surface treatments. Two surface treatments were applied to the three types of wood samples. Treatment 1 involved the application of modern flame retardant (Remmers Adolit BSS 1, boron-free water-based), where the flame retardant was applied thinly with a brush, air-dried, and repeated for the second time to ensure that two coatings were applied. Treatment 2 involved the application of the traditional “Yi-ma-wu-hui” technique (detailed processing can be found in our previous findings [32]), where the main ingredients included lime plaster, hemp, tung oil, pig blood, and paper pulp. In addition, a control group with no surface treatment was set up for comparison purposes. Detailed sample information can be found in Table 1 and Table 2, and the sample processing flowchart is shown in Figure 3.

2.2. Methods

2.2.1. Cone Calorimeter

The model of the cone calorimeter experimental instrument is FTT0242 (Fire Testing Technology, East Grinstead, UK). Before conducting the combustion test on the samples, it is essential to ensure that there are no impurities inside the sample combustion chamber and to keep it clean and dry. This step is crucial because any residue left inside the chamber may cause the samples to melt and detach unevenly during the combustion process, which might later affect the authenticity of the data and lead to potential deviations in the experimental results. During the test, the samples were placed in the sample chamber and tightly wrapped with aluminum foil to prevent heat loss and external interference, ensuring that this went directly to the heater. Additionally, to ensure test accuracy, it is necessary to maintain a distance of 25 mm between the sample and the cone heater. In this study, a heat flux value of 25 kW/m2 was determined experimentally and used for testing. To prevent deformation such as curling of the wood samples during heating and combustion, an iron grid was added above the wood samples to secure the wood and ensure the stability of the experiment. During the experiments, standards (methanol combustion) were used to calibrate the thermofluid meter and ensure that the environmental conditions (temperature and relative humidity) were consistent for each experiment.

2.2.2. Fire Dynamics Simulation

In this experiment, fire dynamics simulation (FDS) software is used for modeling the ancient building and further simulating its fire process. Due to the software’s incompatibility with curved objects, cylindrical components such as columns and rafters in the building could not be built directly. Hence, the complex components in this model are stacked by rectangular objects. Based on the research object rafter size of 100 mm in this study, the model mesh size is set to 100 mm × 100 mm × 100 mm, which is shown to run normally in the software page. Considering the actual situation of the Xianqing Temple, the fire source was set near the altar during the modeling process. In the simulation process, the wind speed was set to 2 m/s (northwest direction), the ambient temperature was 293.15 K, the atmospheric pressure was 103 kPa, and the specific heat capacity of air was 1.0069 kJ/(kg·K). The combustible material type of the ancient building was stacked wood, so the value of α was set to 0.0469 kW/s2, the maximum heat release rate Q was 8.0 MW, and the simulation time was 800 s. For combustion property parameters that could not be measured in the experiment (such as conductivity), all specimens used existing data for pines from the material library, with a thermal conductivity of 0.1 W/(m·K), absorption coefficient of 5 × 104 m−1, radiation coefficient of 0.9, and ignition temperature of 300 °C (Table 3). The combustion properties of wood under different surface treatment conditions were determined through cone calorimeter experiments.
After setting the basic parameters required for the fire dynamics simulation, the FDS software (Version 6.8.0) can then be used to analyze the fire development in the building. In the simulation, three temperature monitoring points and three temperature monitoring profiles were set (Figure 4). The monitoring points were located in the air to ensure the validity of the data, with specific positions as follows: next to the fire source at coordinates (point 1: 6.5, 11.5, 1.8) and at the center of the ridge at coordinates (point 2: 6.0, 7.0, 8.3); on the roof directly above the fire source at coordinates (point 3: 6.0, 11.5, 5.9). The coordinates of the temperature monitoring profiles are Y = 4.0 m, Y = 7.0 m, and Y = 10.0 m.

3. Results

3.1. Cone Calorimeter Analysis

Time to ignition (TTI) measures the time required for a material to transition from the start of heating to sustain combustion under a certain intensity of incident heat flux. A longer TTI implies better fire resistance of the material. Experimental data (Table 4) show that the TTI for elm, pine, and poplar wood is 80 s, 61 s, and 52 s, respectively. Therefore, among these three types of wood samples, poplar is the most flammable, while elm wood exhibits the best fire resistance. In addition, wood samples treated with modern surface treatments demonstrate significant improvements in fire resistance, with TTI values for elm, pine, and polar increasing to 145 s, 128 s, and 103 s, representing percentage increases of 81.3%, 109.8%, and 98.2%, respectively. The results have been confirmed by previous studies on the fire performance of surface treatments on pine and beech wood [33]. Compared to modern surface treatments, traditional treatments (Yi-ma-wu-hui) are equally effective, resulting in TTI values for elm, pine, and polar increasing to 131 s, 127 s, and 102 s, with percentage increases of 63.8%, 108.2%, and 96.2%, respectively. Although slightly less effective than modern treatments, both surface treatments significantly enhance the fire resistance of timber structural components.
Heat release rate (HRR) is a measure of the amount of heat released per unit area during the combustion process of a material under a certain heat flux, used to assess fire intensity. The peak heat release rate (pkHRR) reflects the maximum heat release of the material during combustion and is an important indicator of a fire hazard. As shown in Figure 5, the HRR curves of pine and elm wood exhibit two peaks, with the second peak higher than the first peak. In contrast, the HRR curve of poplar wood initially shows a more gradual increase without a distinct first peak. This difference may be related to the moisture content of the different types of wood. During the initial stages of combustion, moisture in the wood evaporates and produces hydrogen gas (H2) as a combustible material that participates in the combustion process, leading to differences in the initial peaks of heat release.
Different surface treatment methods have a significant impact on the pkHRR of wood, effectively reducing the peak heat release rate and decreasing the potential danger of flame spread. Modern surface treatment methods have led to a decrease in the pkHRR of elm, pine, poplar, and wood by 31.4%, 19.9%, and 26.4%, respectively (Table 5). The effects of traditional surface treatment methods for elm, pine, and poplar are even more significant, with reductions of 35.3%, 18.1%, and 29.0%, respectively. Additionally, both surface treatment methods suppress heat release in the initial stages of combustion, delaying the occurrence of peaks and prolonging the duration of wood components in a fire, with the traditional method showing a more pronounced delay effect. This indicates that both traditional and modern surface treatment techniques can effectively enhance the safety properties of wood in fire scenarios, especially in terms of delaying flame development and reducing peak heat release, which helps increase response time at the fire scene.
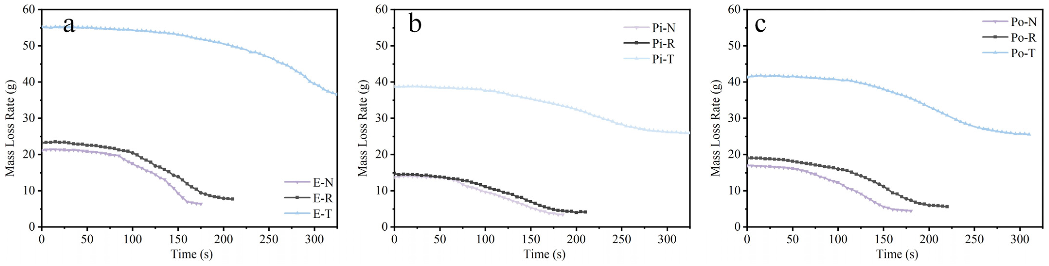
Mass loss rate (MLR) refers to the rate of change in sample mass over time during the combustion process, reflecting the extent of volatilization and combustion of the material under a certain fire intensity. The MLR of the three types of wood samples is shown in Figure 6, where it can be observed that the mass of the specimens changes slowly within the first 100 s of combustion, sharply decreases between 100 and 250 s, and then stabilizes after 250 s. In contrast, the mass loss of the samples applied with surface treatments is not as pronounced after 200 s, and the change in mass loss is similar for both modern and traditional surface treatment methods. This result was confirmed in previous investigations of the fire performance of different types of cedar after surface treatment [34]. To provide a clearer representation of the rate of mass loss and understand the variation in mass loss during the combustion process, this study also recorded the mass loss rate curves for the wood samples at different time points and plotted their fitting curves (Figure 7). Due to the nonlinear variation in the mass loss rate with time curve, a polynomial curve fitting was performed to combine the actual variation in the curve and the fitting effect. In addition, since the mass change curves of the three types of wood are similar, the analysis will focus on the fitting curve of the mass loss rate over time for elm wood. The results generally show an initial trend of decrease, followed by an increasing trend, and returning back to a decreasing trend. This indicates that wood samples undergo rapid mass loss in the early stages of combustion, with the mass loss rate gradually increasing, reaching a peak before decreasing again. In addition, it is evident that the peak time for the rate of mass loss in wood samples is significantly delayed after using modern and traditional surface treatments, with the effect being more pronounced in the traditional surface treatments.
Surface treatment alters the rate of the charring of wood, resulting in lower mass loss for untreated wood compared to wood that has undergone surface treatment within the same burning time. Although there is no consistent pattern in the total mass loss of wood samples after complete combustion, wood that has been surface-treated tends to have a longer burning time, with the peak mass loss rate occurring significantly later than in untreated wood samples (Table 6). The results confirm that surface treatments can effectively delay the rate of wood combustion, thereby increasing its durability in a fire, and that traditional surface treatments are more effective.
Smoke production rate (SPR) is an indicator of the speed at which smoke is generated in a fire, typically expressed as the ratio of the mass of smoke produced per unit of time to the mass of the burning material. The curves show the variation in the smoke production rate for wood samples with different surface treatments (Figure 8). It can be observed that after undergoing modern and traditional surface treatments, the time span for smoke generation significantly increases for elm, pine, and poplar wood, with wood samples treated using traditional methods showing a longer duration of smoke production.
According to Table 7, it could be found that the total oxygen consumption, total smoke production, total smoke release, total CO release, and total CO2 release are correlated during wood combustion. The production of CO2 was higher when the wood was sufficiently combusted, while the production of CO and smoke was lower. CO2 was positively correlated with oxygen consumption, while CO was negatively correlated with oxygen consumption. In addition, the smoke release is also negatively correlated with CO2, implying that incomplete combustion results in a relative decrease in CO2 production. Furthermore, it is evident that the total smoke released during the combustion process significantly increases for various types of wood after modern and traditional surface treatments, with the traditional surface treatment showing the most significant increase. The smoke release totals for elm, pine, and poplar wood increased by 49.3%, 62.2%, and 14.4%, respectively. Furthermore, the completeness of combustion can be assessed by calculating the ratio of carbon monoxide (CO) to carbon dioxide (CO2) emissions. It can be observed that compared to poplar and elm wood, pine wood releases more CO after application of modern or traditional surface treatments, indicating incomplete combustion and higher fire resistance, with the effect being more pronounced after traditional surface treatment.
Overall, among the three types of wood samples without surface treatment, the fire resistance properties from highest to lowest are elm wood, pine wood, and poplar wood. After surface treatment, the fire resistance properties of these three types of wood remain consistent. In the experiment, poplar wood is more prone to combustion compared to the other two types of wood and releases more smoke during the combustion process. Although poplar wood’s average heat release rate falls between pine and elm wood, it releases more total heat due to its shorter burning time.
Both modern and traditional surface treatment methods can effectively improve the fire resistance properties of wood samples, as shown in Table 8, where a positive value (“+”) indicates a positive effect on the fire resistance properties and a negative value (“−”) indicates a negative effect. The combustion property parameters are reflected in the prolonged ignition time, reduced heat release rate, and slowed mass loss rate, which help mitigate the loss of the mechanical properties of wood and the effects of temperature fields during a fire. However, especially with the traditional treatment method, although it delays the peak time of the heat release rate, it also leads to the generation of a large amount of smoke and incomplete combustion of the wood. In contrast, the modern treatment method produces less smoke and demonstrates a more significant advantage in increasing ignition time.

3.2. Fire Dynamics Simulation Analysis

To further explore the fire resistance properties of buildings under different surface treatment methods, the fire development process of the Xianqing Temple building was simulated using FDS, and the changes in temperature at three monitoring points were recorded, as shown in Figure 9. During the simulation, the temperature at these monitoring points gradually increased, with monitoring point 3 (at 8.3 m) reaching the highest temperature, followed by monitoring point 2 (at 5.9 m), and monitoring point 1 showing the lowest temperature (at 1.8 m). This temperature distribution reflects the behavioral characteristics of smoke and flames in the early stages of a fire in ancient buildings, where temperatures at higher positions inside the building rise earlier and faster compared to lower positions. This is mainly because flames spread along the surface of the combustible material, and due to the upward trend of hot air and thermal currents, flames are more likely to expand upwards. Additionally, the flames heat the surrounding air, creating thermal currents. As the thermal currents rise, cold air is replenished from below, creating a cyclic convection process. Natural convection further promotes the upward diffusion of flames and thermal currents.
Furthermore, the highest temperatures at the three monitoring points reached 760 °C, 653 °C, and 680 °C, respectively. The temperature on the roof rafter quickly reaches 200 °C and stabilizes at around 330 °C, which is the typical charring temperature of wood. When the fire temperature reaches 335 s, the internal temperature of the building rapidly increases, indicating a flashover phenomenon occurring at that time.
Flashover is the most unfavorable scenario in a fire, indicating a sudden full-scale combustion inside the building. In firefighting, it is generally recognized that the period before flashover occurs in a building is the prime time to extinguish the fire to preserve the overall structure of the building. To clearly determine the timing of flashover in a building, the trend of temperature differentials at each moment compared to the previous moment was further plotted to observe the rate of temperature change over time (Figure 10). The moment when the temperature change rate rapidly accelerates can be identified as the time when the building experiences flashover in a fire.
As shown in Figure 10a, the flashover time of the Xianqing Temple roof rafter is approximately 370 s. After 500 s, the temperature differentials at each monitoring point change from positive to negative, indicating the highest temperatures in the building and rapid cooling in the later stages. Based on this phenomenon, it can be inferred that the building collapses at this time, with heat dissipating outward, and the temperatures at each measurement point gradually decrease to 100 °C. Combining the above analysis results, it is confirmed that when a fire breaks out at the Xianqing Temple due to the careless use of fire for sacrificial purposes, the fire should be quickly extinguished within 300 s to preserve the overall building structure.
To visually illustrate the temperature distribution of the Xianqing Temple roof rafter more intuitively, temperature distribution maps at three profiles over time were plotted (Figure 11, Figure 12 and Figure 13). In order to facilitate the demonstration of the analyses and findings, during the initial stages of the fire when the temperature was slowly increasing, recordings were taken at intervals of 100 s. However, due to the rapid temperature changes in the later stages when the building experienced flashover, recordings were taken every 20 s.
From Figure 11, Figure 12 and Figure 13, it can be observed that smoke initially accumulates at the top of the roof rafter inside the building and then gradually spreads to the sides and downward, eventually enveloping the entire building in a high-temperature field. This result further confirms that during a fire at the Xianqing Temple, the roof collapsed first due to the flashover.
After understanding the combustion and temperature changes in the Xianqing Temple, based on the ignition time, heat release rate, mass loss rate, and smoke production of pine, poplar, and elm wood with different surface treatments, the combustion properties of poplar wood with the worst fire resistance were selected as simulation conditions to further study the fire properties of buildings with different surface treatments. The temperature changes at different monitoring points in buildings with different surface treatments are shown in Figure 14.
It can be observed that the Xianqing Temple main hall model without surface treatment collapsed at 492 s. However, modern and traditional surface treatment methods kept the temperature around 330 °C, with the modern treatment maintaining the collapsed temperature until 500 s after the fire started, while the traditional treatment stabilized at 330 °C until 640 s (monitoring points 3 and 2). At the same time, the temperature change at monitoring point 1, located at a lower position, remained below 200 °C. This result confirms that both modern and traditional surface treatment methods effectively prolong the time before the building ignites. Furthermore, no flashover or collapse occurred within the simulated 800 s, indicating that both modern and traditional treatment methods extended the optimal rescue time for the building by approximately 300 s.
Table 9 records the time taken for monitoring point 3 to reach the wood combustion charring temperature (300 °C). Under the no-treatment scenario, 300 °C charring temperature is reached at 91 s after the fire started, while the traditional and modern surface treatment delayed reaching the charring temperature by 37 s and 43 s, respectively. In summary, both modern and traditional surface treatment methods not only provide good fire resistance properties but also help to delay the destruction of the building and provide a longer rescue time for evacuation and firefighting in case of a fire.

4. Conclusions

This study analyzed the fire properties of different surface-treated woods such as elm, poplar, and pine using a cone calorimeter. Taking the Xianqing Temple as a case study, the fire development process was simulated using FDS to explore the impact of different surface treatments on the fire resistance properties of traditional timber buildings. The cone calorimeter test results showed that compared to pine and elm wood, poplar wood had the poorest fire properties with the shortest ignition time. When subjected to modern and traditional surface treatments, significant changes were observed in fire property parameters such as peak heat release rate, total heat release, and mass loss rate, significantly improving the fire properties of the timber structural components. The traditional surface treatments were more effective in delaying the peak heat release rate and reducing the surface temperature during combustion, while the modern treatments significantly extended the ignition time of the wood.
The FDS simulation results indicated that after the traditional timber frame building was ignited, smoke first accumulated at the roof rafter of the building, resulting in the highest temperature at the top. The smoke then gradually spread to the sides and downward, eventually enveloping the entire building in a high-temperature field. Furthermore, both modern and traditional surface treatments delayed the flashover time of the Xianqing Temple main hall by approximately 300 s, and no signs of building collapse occurred within 800 s, further demonstrating the significant improvement in the fire properties of the building with these treatments. The results of this study can be directly applied to the restoration and protection of ancient buildings, optimizing fire prevention measures. It also provides guidance for the development of new fire-resistant materials and technologies. Considering the limitations of this study, further investigations will be conducted on other types of wood and surface coatings and different timber structural combinations to analyze their fire performance. The FDS will also be used to simulate the fire transmission paths in complex building structures and thus evaluate the overall fire resistance.

Author Contributions

Conceptualization, Y.L., S.D. and S.Y.; methodology, S.D. and S.Y.; validation and formal analysis, Y.L. and S.Y.; investigation, Y.L. and S.Y.; writing—original draft preparation, Y.L.; writing—review and editing, S.Y. and W.Z.; supervision, S.Y.; funding acquisition, S.D. and S.Y. All authors have read and agreed to the published version of the manuscript.

Funding

This research was funded by the Key Laboratory of Ecology and Energy Saving Study of Dense Habitat, Ministry of Education (Grant No. 20220105) and National Natural Science Foundation of China (NSFC) (Grant No. 52378033).

Data Availability Statement

The original contributions presented in the study are included in the article; further inquiries can be directed to the corresponding author.

Conflicts of Interest

The authors declare no conflicts of interest.

References

  1. ICOMOS. Principles for the Preservation of Historic Timber Structures; ICOMOS: Paris, France, 2007. [Google Scholar]
  2. Chen, L.; Wang, Y.Z. A review on flame retardant technology in China. Part I: Development of flame retardants. Polym. Adv. Technol. 2010, 21, 1–26. [Google Scholar] [CrossRef]
  3. Zhang, Y.; You, F.; Zhang, Q. Protection of Historical Buildings by Using NEW chemical Techniques: Taking Nanjing as an Example. In Proceedings of the 7th International Conference on Intelligent Computation Technology and Automation, Changsha, China, 25–26 October 2014; IEEE: Piscataway, NJ, USA, 2015; pp. 436–440. [Google Scholar]
  4. Wang, K.; Wang, S.; Meng, D.; Chen, D.; Mu, C.; Li, H.; Sun, J.; Gu, X.; Zhang, S. A facile preparation of environmentally-benign and flame-retardant coating on wood by comprising polysilicate and boric acid. Cellulose 2021, 28, 11551–11566. [Google Scholar] [CrossRef]
  5. Mohamed, A.L.; Hassabo, A.G. Flame Retardant of Cellulosic Materials and Their Composites. In Flame Retardants: Polymer Blends Composites and Nanocomposites; Springer: Berlin/Heidelberg, Germany, 2015; pp. 247–314. [Google Scholar]
  6. Wang, X.; Wang, J.; Wang, J.; Sheng, G. Experimental and numerical simulation analyses of flame spread behaviour over wood treated with flame retardant in ancient buildings of Fuling Mausoleum, China. Fire Technol. 2022, 58, 1–25. [Google Scholar] [CrossRef]
  7. Pan, C.; Jiang, X.; Yang, Y.; Fu, Z.; Meng, C.; Xi, S. Research on fireproofing treatments and Properties of ancient timber buildings. Sci. Conserv. Archaeol. 2018, 30, 28–36. [Google Scholar]
  8. Peifan, Q.; Deqi, Y.; Qi, M.; Aijun, S.; Jingqi, S.; Zengjun, Z.; Jianwei, H. Study and restoration of the Yi Ma Wu Hui layer of the ancient coating on the Putuo Zongcheng Temple. Int. J. Archit. Herit. 2021, 15, 1707–1721. [Google Scholar] [CrossRef]
  9. Fu, P.; Teri, G.L.; Li, J.; Li, J.X.; Li, Y.H.; Yang, H. Investigation of ancient architectural painting from the Taidong tomb in the western qing tombs, Hebei, China. Coatings 2020, 10, 688. [Google Scholar] [CrossRef]
  10. Chen, L.Z.; Xu, Q.F.; Han, C.Q.; Wang, Z.C.; Leng, Y.B.; Chen, X. Experimental study on fire endurance of timber beams with treatment of one hemp fiber and five plastering exposed to three-side fire. J. Build. Struct. 2021, 42, 101–109. [Google Scholar]
  11. Wang, Z.; Xu, Q.; Han, C.; Chen, L.; Chen, X. Experimental study on fire endurance of round timber column with traditional craftwork with one hemp fiber and five plastering application. J. Build. Struct. 2017, 47, 14–19. [Google Scholar]
  12. Xu, Q.; Han, C.; Chen, L.; Wang, Z.; Leng, Y. Experimental study on mechanical behavior of timber beams treated with traditional plastering application after exposed to three-side fire. J. Build. Struct. 2021, 51, 92–97. [Google Scholar]
  13. Morgan, A.B. The future of flame retardant polymers–unmet needs and likely new approaches. Polym. Rev. 2019, 59, 25–54. [Google Scholar] [CrossRef]
  14. Lazar, S.T.; Kolibaba, T.J.; Grunlan, J.C. Flame-retardant surface treatments. Nat. Rev. Mater. 2020, 5, 259–275. [Google Scholar] [CrossRef]
  15. Osório, M.; Fonseca, E.M.M.; Pereira, D. Fire Resistance in Screwed and Hollow Core Wooden Elements Filled with Insulating Material. Fire 2024, 7, 288. [Google Scholar] [CrossRef]
  16. Chen, G.; Chen, C.; Pei, Y.; He, S.; Liu, Y.; Jiang, B.; Jiao, M.; Gan, W.; Liu, D.; Yang, B.; et al. A strong, flame-retardant, and thermally insulating wood laminate. Chem. Eng. J. 2020, 383, 123109. [Google Scholar] [CrossRef]
  17. Lai, Y.; Liu, X.; Li, Y.; Leonidas, E.; Fisk, C.; Yang, J.; Zhang, Y.; Willmott, J. Investigating the fire-retardant efficiency of intumescent coatings on inclined timber: A study on application strategies and heat transfer mechanisms. Constr. Build. Mater. 2023, 407, 133586. [Google Scholar] [CrossRef]
  18. Wang, H.Y.; Tian, Y.; Zhang, L. Experimental study of the characteristic parameters of the combustion of the wood of ancient buildings. J. Fire. Sci. 2019, 37, 117–136. [Google Scholar] [CrossRef]
  19. Qu, W.; Wu, M.; Song, W.; Wu, Y.; Ma, X. Study of a Flame-Retardant Primer Coating Resin Applied on Ancient Timber Structures. China Wood Ind. 2020, 34, 1–4+12. [Google Scholar]
  20. Roshan, J.P.; Wang, Q.S. Prediction of properties and modeling fire behavior of polyethylene using cone calorimeter. J. Loss Prev. Proc. 2016, 41, 411–418. [Google Scholar]
  21. Ma, J.; Xiao, C. Large-scale fire spread model for traditional Chinese building communities. J. Build. Eng. 2023, 67, 105899. [Google Scholar] [CrossRef]
  22. Bei, Y.L.; Yang, D.Y.; Ren, X. Research on the system for fire and personal evacuation of ancient building based on virtual simulation. Adv. Mater. Res. 2014, 1010, 284–287. [Google Scholar] [CrossRef]
  23. Tian, G.; Chang, K.; Li, A. Research on the development process of ancient building fire based on FDS. Fire Sci. Technol. 2019, 38, 101–104. [Google Scholar]
  24. Liu, F.; Huai, C.; Li, J. Numerical Analysis of the Development of a Room Fire in a Wooden-structure Historical Building. ENCE Technol. Eng. 2019, 19, 299–304. [Google Scholar]
  25. Liu, Z. Characterization of indoor fire spread based on FDS. China Constr. Metal. Struct. 2021, 3, 82–83. [Google Scholar]
  26. Li, X.; Pu, F.; Zou, L.; Gao, G.; Cong, B. Numerical simulation study on influence of plank wall on fire spread in ancient building. China Saf. Sci. J. 2019, 29, 45–50. [Google Scholar]
  27. Wu, Y.; Hua, B.; Chen, S.; Yang, J. FDS-based study of the fire Properties of Huizhou fire seal walls in traditional residential buildings in southern China. Fire 2023, 6, 388. [Google Scholar] [CrossRef]
  28. Huai, C.; Xie, J.; Liu, F.; Du, J.; Chow, D.; Liu, J. Experimental and numerical analysis of fire risk in historic Chinese temples: A case in Beijing. Int. J. Archit. Herit. 2022, 16, 1844–1858. [Google Scholar] [CrossRef]
  29. Zhang, F.; Shi, L.; Liu, S.; Zhang, C.; Xiang, T. The traditional wisdom in fire prevention embodied in the layout of ancient villages: A case study of high chair village in Western Hunan, China. Buildings 2022, 12, 1885. [Google Scholar] [CrossRef]
  30. Zhao, X.; Wei, S.; Chu, Y.; Wang, N. Numerical Simulation of Fire Suppression in Stilted Wooden Buildings with Fine Water Mist Based on FDS. Buildings 2023, 13, 207. [Google Scholar] [CrossRef]
  31. Cao, Y.; Chen, X.; Yang, J.; Zhang, H. Heat Analysis and Fire Prevention of Timber Buildings in Southwest China Based on Fractal and Seepage Theory. Int. J. Heat Technol. 2021, 39, 355. [Google Scholar] [CrossRef]
  32. Li, Y.; Yeo, S.; Dai, S. A Comparative Study of the Fire Properties of Chinese Traditional Timber Structural Components under Different Surface Treatments. Buildings 2024, 14, 2439. [Google Scholar] [CrossRef]
  33. Bachtiar, E.V.; Kurkowiak, K.; Yan, L.; Kasal, B.; Kolb, T. Thermal stability, fire performance, and mechanical properties of natural fibre fabric-reinforced polymer composites with different fire retardants. Polymers 2019, 11, 699. [Google Scholar] [CrossRef]
  34. Zhou, B.; Yoshioka, H.; Noguchi, T.; Wang, X.; Lam, C.C. Experimental study on fire performance of weathered cedar. Int. J. Archit. Herit. 2019, 13, 1195–1208. [Google Scholar] [CrossRef]
Figure 1. Exterior and interior images of the Xianqing Temple.
Figure 1. Exterior and interior images of the Xianqing Temple.
Coatings 14 01326 g001
Figure 2. Timber species statistics of roof rafter in the main hall of Xianqing Temple.
Figure 2. Timber species statistics of roof rafter in the main hall of Xianqing Temple.
Coatings 14 01326 g002
Figure 3. Timber sample processing flowchart.
Figure 3. Timber sample processing flowchart.
Coatings 14 01326 g003
Figure 4. Schematic of FDS building model, temperature monitoring points, and profile locations.
Figure 4. Schematic of FDS building model, temperature monitoring points, and profile locations.
Coatings 14 01326 g004
Figure 5. Variation in heat release rate of wood samples: (a) elm samples; (b) pine samples; (c) poplar samples.
Figure 5. Variation in heat release rate of wood samples: (a) elm samples; (b) pine samples; (c) poplar samples.
Coatings 14 01326 g005
Figure 6. Mass change curves with time of wood samples: (a) elm mass change curve; (b) pine mass change curve; (c) poplar mass change curve.
Figure 6. Mass change curves with time of wood samples: (a) elm mass change curve; (b) pine mass change curve; (c) poplar mass change curve.
Coatings 14 01326 g006
Figure 7. Curves of sample mass rate versus time: (a) untreated (R2 = 0.73897); (b) modern treatment (R2 = 0.77118); (c) traditional treatment (R2 = 0.67378).
Figure 7. Curves of sample mass rate versus time: (a) untreated (R2 = 0.73897); (b) modern treatment (R2 = 0.77118); (c) traditional treatment (R2 = 0.67378).
Coatings 14 01326 g007
Figure 8. Smoke generation rate curves for wood samples with different surface treatments: (a) elm samples; (b) pine samples; (c) poplar samples.
Figure 8. Smoke generation rate curves for wood samples with different surface treatments: (a) elm samples; (b) pine samples; (c) poplar samples.
Coatings 14 01326 g008
Figure 9. Temperature changes in the main hall of Xianqing Temple (timber structural components without various surface treatments).
Figure 9. Temperature changes in the main hall of Xianqing Temple (timber structural components without various surface treatments).
Coatings 14 01326 g009
Figure 10. Temperature change rate curves for the main hall of Xianqing Temple (timber structural components without various surface treatments): (a) monitoring point 1; (b) monitoring point 2; (c) monitoring point 3.
Figure 10. Temperature change rate curves for the main hall of Xianqing Temple (timber structural components without various surface treatments): (a) monitoring point 1; (b) monitoring point 2; (c) monitoring point 3.
Coatings 14 01326 g010
Figure 11. Temperature distribution maps at Y = 10 m profiles of the main hall of Xianqing Temple (timber structural components without various surface treatments).
Figure 11. Temperature distribution maps at Y = 10 m profiles of the main hall of Xianqing Temple (timber structural components without various surface treatments).
Coatings 14 01326 g011
Figure 12. Temperature distribution maps at Y = 7 m profiles of the main hall of Xianqing Temple (timber structural components without various surface treatments).
Figure 12. Temperature distribution maps at Y = 7 m profiles of the main hall of Xianqing Temple (timber structural components without various surface treatments).
Coatings 14 01326 g012
Figure 13. Temperature distribution maps at Y = 4 m profiles of the main hall of Xianqing Temple (timber structural components without various surface treatments).
Figure 13. Temperature distribution maps at Y = 4 m profiles of the main hall of Xianqing Temple (timber structural components without various surface treatments).
Coatings 14 01326 g013
Figure 14. Temperature changes in the main hall of Xianqing Temple with different surface treatments: (a) monitoring point 1; (b) monitoring point 2; (c) monitoring point 3.
Figure 14. Temperature changes in the main hall of Xianqing Temple with different surface treatments: (a) monitoring point 1; (b) monitoring point 2; (c) monitoring point 3.
Coatings 14 01326 g014
Table 1. Detailed sample information.
Table 1. Detailed sample information.
Timber SpeciesDensity (g/cm3)Surface TreatmentSpecimen Number
Elm0.680No treatment (control)E-N
ModernE-R
TraditionalE-T
Pine0.423No treatment (control)Pi-N
ModernPi-R
TraditionalPi-T
Poplar0.386No treatment (control)Po-N
ModernPo-R
TraditionalPo-T
Note: E—elm; Pi—pine; Po—poplar; N—no treatment; T—traditional treatment; R—retardant.
Table 2. Average moisture content of timber samples.
Table 2. Average moisture content of timber samples.
Timber SpeciesAverage Moisture Content before Treatment (%)Specimen NumberAverage Moisture Content after Treatment (%)Moisture Content Variation (%)
Elm10.2E-N16.9+6.7
E-R8.7−1.5
E-T8.7−1.5
Pine7.6Pi-N14.4+6.8
Pi-R6.9−0.7
Pi-T7.4−0.2
Poplar8.6Po-N10.7+2.1
Po-R8−0.6
Po-T8.2−0.4
Table 3. Combustion property parameters of fire dynamics simulation.
Table 3. Combustion property parameters of fire dynamics simulation.
PropertiesData
Density0.1 W/(m·K)
Absorption coefficient5 × 104 m−1
Emissivity 0.9
Ignition300 °C
Table 4. Time to ignition of wood samples with different surface treatments.
Table 4. Time to ignition of wood samples with different surface treatments.
Sample NumberIgnition TimeCombustion Time
E-N80 s175 s
E-R145 s345 s
E-T131 s345 s
Pi-N61 s185 s
Pi-R128 s300 s
Pi-T127 s415 s
Po-N52 s180 s
Po-R103 s395 s
Po-T102 s310 s
Table 5. Heat release rate and total heat release of wood samples.
Table 5. Heat release rate and total heat release of wood samples.
Specimen NumberHeat Release Rate Peak (kW/m2)Time to Peak (s)Total Heat Release (MJ/m2)Average Heat Release Rate (kW/m2)
E-N363.815017.3182.2
E-R250.016016.276.7
E-T235.529023 110.2
Pi-N169.77014.4115.1
Pi-R136.015511.839.4
Pi-T136.023018.858.5
Po-N224.913517.8157.8
Po-R197.016013.5116.1
Po-T189.421023.1112.1
Table 6. Mass loss rate of wood samples with different surface treatments.
Table 6. Mass loss rate of wood samples with different surface treatments.
Specimen NumberLoss of Specimen Mass under Conical Calorimeter (g)Loss of Specimen Mass under One-Sided Fire Combustion (g) MLR (g/s)Time to Peak Mass Loss Rate (s)
E-N13.47.60.27141
E-R15.55.70.21151
E-T18.1---0.24238
Pi-N9.919.70.1593
Pi-R17.65.90.13153
Pi-T12.75.70.15117
Po-N12.525.30.1696
Po-R10.410.10.20113
Po-T15.011.60.12172
Table 7. Smoke release information for wood samples with different surface treatments.
Table 7. Smoke release information for wood samples with different surface treatments.
Sample NumberTotal Oxygen Consumption (TOD) (g)Total Smoke Production (m2)Total Smoke Release (m2/m2)Total CO Release (kg/kg)Total CO2 Release (kg/kg)CO-Release-to-CO2-Release Ratio
E-N11.60.7585.00.5019.10.026
E-R10.80.92104.90.7425.70.028
E-T15.51.12127.01.0250.10.021
Pi-N9.50.4550.70.4129.70.014
Pi-R7.80.7180.75.3940.10.134
Pi-T12.40.7382.85.5712.40.449
Po-N9.00.7686.10.5228.00.019
Po-R11.30.97110.40.7528.00.026
Po-T15.31.11125.10.9349.40.018
Table 8. Enhancement effect of different surface treatments on fire parameters of wood samples.
Table 8. Enhancement effect of different surface treatments on fire parameters of wood samples.
Fire Resistance ParametersTimber SpeciesModern Traditional
Ignition timeElm+81.3%+63.8%
Pine+109.8%+108.2%
Poplar+98.2%+96.2%
Peak heat release rateElm+31.4%+35.3%
Pine+19.9%+18.1%
Poplar+26.4%+29%
Delay time to peak mass loss rateElm+7.1%+68.8%
Pine+64.5%+25.8%
Poplar+7.3%+79.2%
Smoke release rateElm−22.4%−49.2%
Pine−59.2%−63.3%
Poplar−14.6%−47.1%
Table 9. Time to reach 300 °C of monitoring point 3 in the main hall of Xianqing Temple with different surface treatments.
Table 9. Time to reach 300 °C of monitoring point 3 in the main hall of Xianqing Temple with different surface treatments.
Surface TreatmentTime for the Roof (Monitoring Point 3) to Reach 300 °C
No treatment (N)91 s
Modern (R)134 s
Traditional (T)128 s
Disclaimer/Publisher’s Note: The statements, opinions and data contained in all publications are solely those of the individual author(s) and contributor(s) and not of MDPI and/or the editor(s). MDPI and/or the editor(s) disclaim responsibility for any injury to people or property resulting from any ideas, methods, instructions or products referred to in the content.

Share and Cite

MDPI and ACS Style

Li, Y.; Yeo, S.; Zou, W.; Dai, S. Assessing the Fire Properties of Various Surface Treatments on Timber Components in Ancient Chinese Buildings: A Case Study from the Xianqing Temple in Changzhi, Shanxi, China. Coatings 2024, 14, 1326. https://doi.org/10.3390/coatings14101326

AMA Style

Li Y, Yeo S, Zou W, Dai S. Assessing the Fire Properties of Various Surface Treatments on Timber Components in Ancient Chinese Buildings: A Case Study from the Xianqing Temple in Changzhi, Shanxi, China. Coatings. 2024; 14(10):1326. https://doi.org/10.3390/coatings14101326

Chicago/Turabian Style

Li, Yupeng, Sokyee Yeo, Weihan Zou, and Shibing Dai. 2024. "Assessing the Fire Properties of Various Surface Treatments on Timber Components in Ancient Chinese Buildings: A Case Study from the Xianqing Temple in Changzhi, Shanxi, China" Coatings 14, no. 10: 1326. https://doi.org/10.3390/coatings14101326

APA Style

Li, Y., Yeo, S., Zou, W., & Dai, S. (2024). Assessing the Fire Properties of Various Surface Treatments on Timber Components in Ancient Chinese Buildings: A Case Study from the Xianqing Temple in Changzhi, Shanxi, China. Coatings, 14(10), 1326. https://doi.org/10.3390/coatings14101326

Note that from the first issue of 2016, this journal uses article numbers instead of page numbers. See further details here.

Article Metrics

Back to TopTop