Plasma-Activated Water Combined with Chitosan–Oregano Essential Oil Coating to Prolong the Shelf Life of Carp Fillets
Abstract
1. Introduction
2. Materials and Methods
2.1. Materials and Reagents
2.2. Preparation of Plasma-Activated Water
2.3. Preparation of Coating Solution
2.4. Carp Fillet Samples Treatments
2.5. Microbiology Assays
2.6. Measurement of pH
2.7. Surface Color Analysis
2.8. Texture Profile Analysis
2.9. Determination of Thiobarbituric Acid Reactive Substances (TBARS)
2.10. Measurement of Total Volatile Basic Nitrogen (TVB-N)
2.11. Determination of K Value
2.12. Sensory Assessment
2.13. Statistical Analysis
3. Results and Discussion
3.1. TVC Value
3.2. pH Value
3.3. Color Analyses
3.4. TBARS Value
3.5. TVB-N Value
3.6. K Value
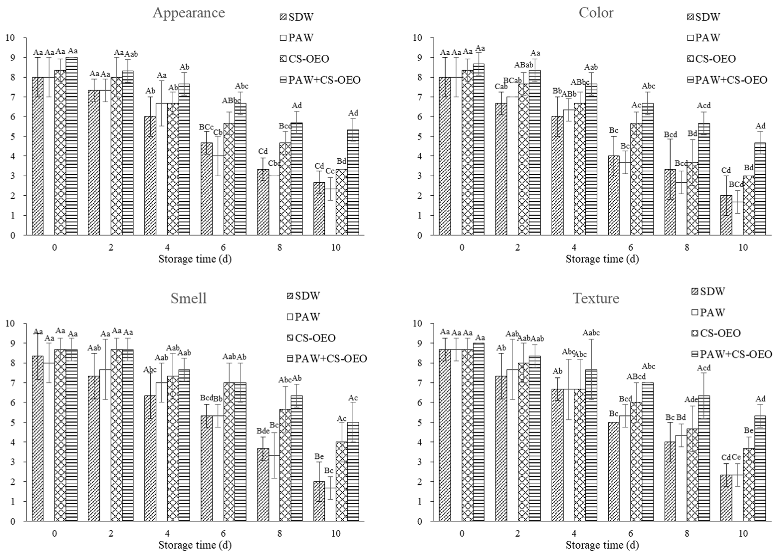
3.7. Sensory Evaluation
4. Conclusions
Author Contributions
Funding
Institutional Review Board Statement
Informed Consent Statement
Data Availability Statement
Conflicts of Interest
References
- Hao, R.; Shah, B.R.; Sterniša, M.; Možina, S.S.; Mráz, J. Development of essential oil-emulsion based coating and its preservative effects on common carp. LWT Food Sci. Technol. 2022, 154, 112582. [Google Scholar] [CrossRef]
- Křížek, M.; Dadáková, E.; Vácha, F.; Pelikánová, T.; Matějková, K. The effects of two essential oil and UV-light irradiation treatments on the formation of biogenic amines in vacuum packed fillets of carp (Cyprinus carpio). LWT Food Sci. Technol. 2018, 95, 268–273. [Google Scholar] [CrossRef]
- Jeng, S.; Yau, J.; Chen, Y.; Lin, T.; Chung, Y. High zinc in the erythrocyte plasma membranes of common carp Cyprinus carpio. Fish. Sci. 2007, 73, 421–428. [Google Scholar] [CrossRef]
- Liu, X.; Zhang, M.; Meng, X.; Bai, Y.; Dong, X. Effect of Plasma-Activated Water on Shewanella putrefaciens Population Growth and Quality of Yellow River Carp (Cyprinus carpio) Fillets. J. Food Prot. 2021, 84, 1722–1728. [Google Scholar] [CrossRef] [PubMed]
- Mai-Prochnow, A.; Zhou, R.; Zhang, T.; Ostrikov, K.K.; Mugunthan, S.; Rice, S.A.; Cullen, P.J. Interactions of plasma-activated water with biofilms: Inactivation, dispersal effects and mechanisms of action. NPJ Biofilms Microbiomes 2021, 7, 11. [Google Scholar] [CrossRef]
- Zhao, Y.; Chen, R.; Tian, E.; Liu, D.; Niu, J.; Wang, W.; Qi, Z.; Xia, Y.; Song, Y.; Zhao, Z. Plasma-activated water treatment of fresh beef: Bacterial inactivation and effects on quality attributes. IEEE Trans. Radiat. Plasma Med. Sci. 2020, 4, 113–120. [Google Scholar] [CrossRef]
- Zhao, Y.; Ojha, S.; Burgess, C.M.; Sun, D.; Tiwari, B.K. Influence of various fish constituents on inactivation efficacy of plasma-activated water. Int. J. Food Sci. Technol. 2020, 55, 2630–2641. [Google Scholar] [CrossRef]
- Liu, C.; Chen, C.; Jiang, A.; Sun, X.; Guan, Q.; Hu, W. Effects of plasma-activated water on microbial growth and storage quality of fresh-cut apple. Innov. Food Sci. Emerg. Technol. 2020, 59, 102256. [Google Scholar] [CrossRef]
- Chaijan, M.; Chaijan, S.; Panya, A.; Nisoa, M.; Cheong, L.Z.; Panpipat, W. High hydrogen peroxide concentration-low exposure time of plasma-activated water (PAW): A novel approach for shelf-life extension of Asian sea bass (Lates calcarifer) steak. Innov. Food Sci. Emerg. Technol. 2021, 74, 102861. [Google Scholar] [CrossRef]
- Chen, C.; Liu, C.; Jiang, C.; Guan, A.; Sun, Q.; Liu, X.; Hao, S.; Hu, K.; Zhong, W. The effects of cold plasma-activated water treatment on the microbial growth and antioxidant properties of fresh-cut pears. Food Bioprocess Technol. 2019, 12, 1842–1851. [Google Scholar] [CrossRef]
- Laurita, R.; Gozzi, G.; Tappi, S.; Capelli, F.; Bisag, A.; Laghi, G.; Gherardi, M.; Cellini, B.; Abouelenein, D.; Vittori, S.; et al. Effect of plasma activated water (PAW) on rocket leaves decontamination and nutritional value. Innov. Food Sci. Emerg. Technol. 2021, 73, 102805. [Google Scholar] [CrossRef]
- Noori, S.; Zeynali, F.; Almasi, H. Antimicrobial and antioxidant efficiency of nanoemulsion-based edible coating containing ginger (Zingiber officinale) essential oil and its effect on safety and quality attributes of chicken breast fillets. Food Control 2018, 84, 312–320. [Google Scholar] [CrossRef]
- Skírnisdóttir, S.; Knobloch, S.; Lauzon, H.L.; Lauzon, H.L.; Lafsdóttir, A.; Marteinsson, V.Ó. Impact of onboard chitosan treatment of whole cod (Gadus morhua) on the shelf life and spoilage bacteria of loins stored superchilled under different atmospheres. Food Microbiol. 2021, 97, 103723. [Google Scholar] [CrossRef] [PubMed]
- Langroodi, A.M.; Nematollahi, A.; Sayadi, M. Chitosan coating incorporated with grape seed extract and Origanum vulgare essential oil: An active packaging for turkey meat preservation. J. Food Meas. Charact. 2021, 15, 2790–2804. [Google Scholar] [CrossRef]
- Kumar, S.; Mukherjee, A.; Dutta, J. Chitosan based nanocomposite films and coatings: Emerging antimicrobial food packaging alternatives. Trends Food Sci. Technol. 2020, 97, 196–209. [Google Scholar] [CrossRef]
- Huang, T.; Qian, Y.; Wei, J.; Zhou, C. Polymeric Antimicrobial Food Packaging and Its Applications. Polymers 2019, 11, 560. [Google Scholar] [CrossRef]
- Hacioglu, M.; Oyardi, Ö. Oregano essential oil inhibits Candida spp. biofilms. Z. Für Naturforschung C 2021, 76, 443–450. [Google Scholar] [CrossRef]
- Menezes NM, C.; Martins, W.F.; Longhi, D.A.; Falcão de Aragão, G.M. Modeling the effect of oregano essential oil on shelf-life extension of vacuum-packed cooked sliced ham. Meat Sci. 2018, 139, 113–119. [Google Scholar] [CrossRef]
- Wang, W.; Zhao, D.; Xiang, Q.; Li, K.; Wang, B.; Bai, Y. Effect of cinnamon essential oil nanoemulsions on microbiological safety and quality properties of chicken breast fillets during refrigerated storage. LWT Food Sci. Technol. 2021, 152, 112376. [Google Scholar] [CrossRef]
- Li, Y.; Wu, C.; Wu, T.; Yuan, C.; Hu, Y. Antioxidant and antibacterial properties of coating with chitosan–citrus essential oil and effect on the quality of pacific mackerel during chilled storage. Food Sci. Nutr. 2019, 7, 1131–1143. [Google Scholar] [CrossRef]
- Liu, T.; Liu, L. Fabrication and characterization of chitosan nanoemulsions loading thymol or thyme essential oil for the preservation of refrigerated pork. Int. J. Biol. Macromol. 2020, 162, 1509–1515. [Google Scholar] [CrossRef] [PubMed]
- Zou, F.; Shinali, T.S.; Yang, M.; Zhong, Y.; Wu, J.; Wang, L.; Wang, H. Incorporation of ascorbic acid in chitosan-based coating combined with plasma-activated water: A technology for quality preservation of red grapes after simulated transportation. Int. J. Biol. Macromol. 2024, 270, 132366. [Google Scholar] [CrossRef]
- Cui, H.; Wu, J.; Li, C.; Lin, L. Promoting anti-listeria activity of lemongrass oil on pork loin by cold nitrogen plasma assist. J. Food Saf. 2016, 37, e12316. [Google Scholar] [CrossRef]
- Cheng, Y.; Hu, J.; Wu, S. Chitosan based coatings extend the shelf-life of beef slices during refrigerated storage. LWT Food Sci. Technol. 2021, 138, 110694. [Google Scholar] [CrossRef]
- GB5009.228-2016; Determination of Total Volatile Basic Nitrogen in Food. National Standards of the People’s Republic of China: Beijing, China, 2016.
- Cai, L.; Leng, L.; Cao, A.; Cheng, X.; Li, J. The effect of chitosan-essential oils complex coating on physicochemical, microbiological, and quality change of grass carp (Ctenopharyhgodon idella) fillets. J. Food Saf. 2018, 38, e12399. [Google Scholar] [CrossRef]
- GB/T16291.1-2012; Sensory Analysis—General Guidance for the Selection, Training, and Monitoring of Assessors. National Standards of the People’s Republic of China: Beijing, China, 2012.
- GB/T37062-2018; Guidelines for the Sensory Evaluation of Aquatic Products. National Standards of the People’s Republic of China: Beijing, China, 2018.
- Ma, M.; Zhang, Y.; Lv, Y.; Sun, F. The key reactive species in the bactericidal process of plasma activated water. J. Phys. D Appl. Phys. 2020, 53, 185207. [Google Scholar] [CrossRef]
- Mozzon, M.; Mannozzi, C.; Foligni, R.; Osimani, A.; Galdenzi, F.; Laurita, R.; Tappi, S.; Rosa, M.D. Assessment of lipid oxidation and microbial decontamination of sardine. (Sardina pilchardus) fillets processed by plasma-activated water (PAW). LWT Food Sci. Technol. 2023, 188, 115401. [Google Scholar] [CrossRef]
- Thirumdas, R.; Kothakota, A.; Annapure, U.; Siliveru, K.; Blundell, R.; Gatt, R.; Valdramidis, V.P. Plasma activated water (PAW): Chemistry, physico-chemical properties, applications in food and agriculture. Trends Food Sci. Technol. 2018, 77, 21–31. [Google Scholar] [CrossRef]
- Ojagh, S.M.; Rezaei, M.; Razavi, S.H.; Hosseini, S.M.H. Effect of chitosan coatings enriched with cinnamon oil on the quality of refrigerated rainbow trout. Food Chem. 2010, 120, 193–198. [Google Scholar] [CrossRef]
- Pecarski, D.; Ketin, S.; Omerovic, I.; Mirkovic, M. Chemical compositions and antimicrobial activities of oregano and thyme essential oils. Bulg. Chem. Commun. 2016, 48, 678–683. [Google Scholar]
- Kang, C.; Xiang Qi Zhao, D.; Wang, W.; Niu, L.; Bai, Y. Inactivation of Pseudomonas deceptionensis CM2 on chicken breasts using plasma-activated water. J. Food Sci. Technol. 2019, 56, 4938–4945. [Google Scholar] [CrossRef] [PubMed]
- Zarandona, I.; López-Caballero, M.E.; Montero, M.P.; Guerrero, P.; Gómez-Guillén, M.C. Horse mackerel (Trachurus trachurus) fillets biopreservation by using gallic acid and chitosan coatings. Food Control 2020, 120, 107511. [Google Scholar] [CrossRef]
- Li, Y.; Zou, Q.; Song, S.; Sun, T.; Li, J. Effects of chitosan coatings combined with resveratrol and lysozyme on the quality of sciaenops ocellatus during refrigerated storage. J. Food Saf. 2020, 40, e12777. [Google Scholar] [CrossRef]
- Stella, S.; Bernardi, C.; Tirloni, E. Influence of Skin Packaging on Raw Beef Quality: A Review. J. Food Qual. 2018, 2018, 7464578. [Google Scholar] [CrossRef]
- Domínguez, R.; Pateiro, M.; Gagaoua, M.; Barba, F.J.; Zhang, W.; Lorenzo, J.M. A Comprehensive Review on Lipid Oxidation in Meat and Meat Products. Antioxidants 2019, 8, 429. [Google Scholar] [CrossRef]
- Nowzari, F.; Shabanpour, B.; Ojagh, S.M. Comparison of chitosan–gelatin composite and bilayer coating and film effect on the quality of refrigerated rainbow trout. Food Chem. 2013, 141, 1667–1672. [Google Scholar] [CrossRef] [PubMed]
- Perez-Won, M.; Lemus-Mondaca, R.; Herrera-Lavados, C.; Reyes, J.E.; Roco, T.; Palma-Acevedo, A.; Tabilo-Munizaga, G.; Aubourg, S.P. Combined Treatments of High Hydrostatic Pressure and CO2 in Coho Salmon (Oncorhynchus kisutch): Effects on Enzyme Inactivation, Physicochemical Properties, and Microbial Shelf Life. Foods 2020, 9, 273. [Google Scholar] [CrossRef] [PubMed]
- GB2733-2015; Fresh and Frozen Animal Aquatic Products. National Standards of the People’s Republic of China: Beijing, China, 2015.
- Chen, X.; Chen, W.; Lu, X.; Mao, Y.; Luo, X.; Liu, G.; Zhu, L.; Zhang, Y. Effect of chitosan coating incorporated with oregano or cinnamon essential oil on the bacterial diversity and shelf life of roast duck in modified atmosphere packaging. Food Res. Int. 2021, 147, 110491. [Google Scholar] [CrossRef]
- Wang, F.; Zhang, H.; Jin, W.; Li, L. Effects of tartary buckwheat polysaccharide combined with nisin edible coating on the storage quality of tilapia (Oreochromis niloticus) fillets. J. Sci. Food Agric. 2017, 98, 2880–2888. [Google Scholar] [CrossRef]
- Fan, X.; Lin, X.; Wu, C.; Cheng, Q.; Qi, H.; Konno, K.; Dong, X. Estimating freshness of ice storage rainbow trout using bioelectrical impedance analysis. Food Sci. Nutr. 2020, 9, 154–163. [Google Scholar] [CrossRef]
- Jia, S.; Li, Y.; Zhuang, S.; Sun, X.; Zhang, L.; Shi, J.; Hong, H.; Luo, Y. Biochemical changes induced by dominant bacteria in chill-stored silver carp (Hypophthalmichthys molitrix) and GC-IMS identification of volatile organic compounds. Food Microbiol. 2019, 84, 103248. [Google Scholar] [CrossRef] [PubMed]
- Xiong, X.; He, B.; Jiang, D.; Dong, X.; Yu, C. Postmortem biochemical and textural changes in the sea cucumber stichopus japonicus body wall (SJBW) during iced storage. LWT Food Sci. Technol. 2020, 118, 108705. [Google Scholar] [CrossRef]
- Guo, J.; Qin, D.; Li, W.; Wu, F.; Li, L.; Liu, X. Inactivation of Penicillium italicum on kumquat via plasma-activated water and its effects on quality attributes. Int. J. Food Microbiol. 2021, 343, 109090. [Google Scholar] [CrossRef] [PubMed]
- Amadio, C.; Farrando, S.; Zimmermann, M. Effect of chitosan coating enriched with oregano essential oil on the quality of refrigerated meat hamburgers. Rev. Fac. Cienc. Agrar. 2019, 51, 173–189. [Google Scholar]






| Storage Time (d) | SDW | PAW | CS-OEO | PAW+CS-OEO | |
|---|---|---|---|---|---|
| L* | 0 | 51.79 ± 1.51 Aa | 50.67 ± 0.77 Aa | 51.57 ± 1.03 Aa | 51.46 ± 1.04 Aa |
| 2 | 50.57 ± 0.67 Aab | 49.86 ± 0.27 Aab | 50.81 ± 2.61 Aab | 50.85 ± 0.74 Aa | |
| 4 | 49.65 ± 0.38 Aabc | 49.54 ± 0.66 Aab | 50.16 ± 2.46 Aab | 50.59 ± 1.62 Aa | |
| 6 | 48.61 ± 1.35 Abcd | 48.93 ± 0.78 Abc | 49.80 ± 0.84 Aab | 50.49 ± 2.11 Aa | |
| 8 | 47.20 ± 2.11 Acd | 47.80 ± 0.65 Acd | 49.22 ± 1.46 Aab | 50.23 ± 2.67 Aa | |
| 10 | 46.23 ± 1.69 Bd | 46.56 ± 1.41 Be | 48.04 ± 0.39 ABc | 49.91 ± 2.55 Aa | |
| a* | 0 | −0.36 ± 0.09 Ae | −0.61 ± 0.46 Ad | −0.01 ± 0.84 Ad | −0.08 ± 0.38 Ad |
| 2 | 1.41 ± 0.16 Ad | 1.39 ± 0.30 Ac | 1.23 ± 0.09 Ac | 1.18 ± 0.22 Ac | |
| 4 | 2.33 ± 0.06 Ac | 1.89 ± 0.29 Bbc | 1.75 ± 0.92 BCbc | 1.53 ± 0.12 Cbc | |
| 6 | 2.80 ± 0.15 Ab | 2.38 ± 0.58 Aab | 2.36 ± 0.25 Aab | 2.12 ± 0.22 Aab | |
| 8 | 3.38 ± 0.20 Aa | 2.80 ± 0.20 Aa | 3.03 ± 0.27 ABa | 2.17 ± 0.64 Ba | |
| 10 | 3.63 ± 0.26 Aa | 3.00 ± 0.41 Ba | 2.94 ± 0.03 Ba | 2.40 ± 0.13 Ca | |
| b* | 0 | 1.66 ± 0.52 Ad | 1.45 ± 0.32 Ad | 2.08 ± 0.60 Ab | 1.53 ± 0.45 Ac |
| 2 | 2.06 ± 0.18 Ad | 1.97 ± 0.50 Acd | 2.27 ± 0.47 Ab | 1.55 ± 0.48 Ac | |
| 4 | 2.81 ± 0.76 Acd | 2.52 ± 0.83 Abcd | 2.37 ± 1.12 Aab | 1.80 ± 0.28 Abc | |
| 6 | 3.42 ± 0.86 Abc | 2.76 ± 0.96 Abc | 2.56 ± 1.11 Aab | 2.30 ± 0.29 Abc | |
| 8 | 4.17 ± 0.67 Aab | 3.42 ± 0.48 ABab | 3.07 ± 0.73 ABab | 2.52 ± 0.89 Bb | |
| 10 | 5.09 ± 0.68 Aa | 4.36 ± 0.65 ABa | 3.94 ± 0.70 ABa | 3.44 ± 0.18 Ba |
Disclaimer/Publisher’s Note: The statements, opinions and data contained in all publications are solely those of the individual author(s) and contributor(s) and not of MDPI and/or the editor(s). MDPI and/or the editor(s) disclaim responsibility for any injury to people or property resulting from any ideas, methods, instructions or products referred to in the content. |
© 2024 by the authors. Licensee MDPI, Basel, Switzerland. This article is an open access article distributed under the terms and conditions of the Creative Commons Attribution (CC BY) license (https://creativecommons.org/licenses/by/4.0/).
Share and Cite
Du, M.; Hu, B.; Zhang, M.; Liu, X. Plasma-Activated Water Combined with Chitosan–Oregano Essential Oil Coating to Prolong the Shelf Life of Carp Fillets. Coatings 2024, 14, 1306. https://doi.org/10.3390/coatings14101306
Du M, Hu B, Zhang M, Liu X. Plasma-Activated Water Combined with Chitosan–Oregano Essential Oil Coating to Prolong the Shelf Life of Carp Fillets. Coatings. 2024; 14(10):1306. https://doi.org/10.3390/coatings14101306
Chicago/Turabian StyleDu, Manting, Bin Hu, Mingli Zhang, and Xiao Liu. 2024. "Plasma-Activated Water Combined with Chitosan–Oregano Essential Oil Coating to Prolong the Shelf Life of Carp Fillets" Coatings 14, no. 10: 1306. https://doi.org/10.3390/coatings14101306
APA StyleDu, M., Hu, B., Zhang, M., & Liu, X. (2024). Plasma-Activated Water Combined with Chitosan–Oregano Essential Oil Coating to Prolong the Shelf Life of Carp Fillets. Coatings, 14(10), 1306. https://doi.org/10.3390/coatings14101306
