Research on the Rheological Properties and Modification Mechanism of Epoxy Resin/SBS Composite-Modified Asphalt
Abstract
1. Introduction
2. Materials and Methods
2.1. Materials
2.1.1. Asphalt and Modifier
2.1.2. Asphalt Mixture
2.2. Measurement Methods
2.2.1. Dynamic Shear Rheological Test
2.2.2. Multiple Stress Creep Recovery (MSCR) Test
2.2.3. Bending Beam Rheological Test
2.2.4. Fluorescence Microscope Test
2.2.5. Fourier Transform Infrared Spectroscopy Test
2.2.6. Rut Test
2.2.7. Dynamic Modulus Test
3. Results and Discussion
3.1. Rheological Properties of Asphalt
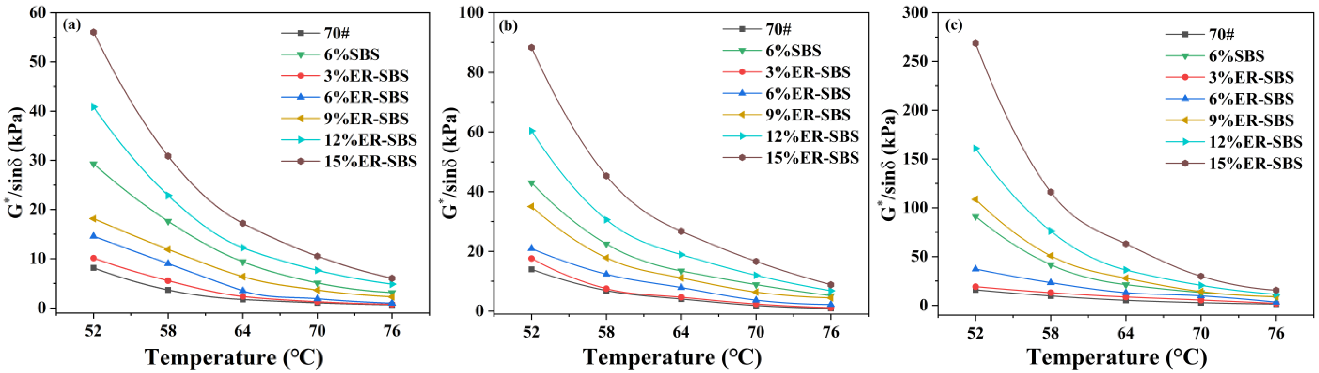
3.1.1. Analysis of Temperature Sweep Results
3.1.2. Analysis of Frequency Scanning Results
3.1.3. Analysis of MSCR Test Results
3.1.4. Analysis of BBR Test Results
3.2. High-Temperature Performance of Asphalt Mixture
3.2.1. Analysis of Rut Test Results
3.2.2. Analysis of Dynamic Modulus Test Results
3.3. Modification Mechanism
3.3.1. Fluorescence Microscope Observation
3.3.2. Infrared Spectroscopy Analysis
4. Conclusions
- The doping of a composite modifier (ER-SBS) can greatly enhance the high-temperature performance and viscoelasticity of matrix asphalt. When the doping amount of the ER-SBS modifier is increased to 9%, the high-temperature performance of the composite-modified asphalt is better than that of SBS-modified asphalt.
- Compared to SBS, the resistance to permanent deformation in an ER-SBS composite-modified asphalt mixture is much higher under conditions of a high temperature and heavy load. When compared to SBS-modified asphalt, the viscoelastic characteristics and temperature sensitivity of the ER-SBS composite-modified asphalt mixture are superior across the whole temperature domain and at high load frequencies.
- ER-SBS composite modifiers are mainly physically miscible. The epoxy molecules in ER-SBS composite modifiers crosslink with asphalt molecules to form a spaced network structure which can resist external forces, greatly improving the anti-deformation ability of the asphalt.
Author Contributions
Funding
Institutional Review Board Statement
Informed Consent Statement
Data Availability Statement
Conflicts of Interest
References
- Men, B.; Guo, F.; Kang, X.; Yue, J. Research on the Adhesion Properties of Fast-Melting SBS-Modified Asphalt–Aggregate Based on Surface Free Energy Theory. Materials 2023, 16, 7601. [Google Scholar] [CrossRef] [PubMed]
- Zhang, M.-X.; Du, W.; Li, Y.-X.; Wang, Y.-M.; Wang, X.-N.; Liu, X.-C. High-Temperature Rheological Behavior and Fatigue Performance of Montmorillonite-Modified Asphalt. Coatings 2024, 14, 1038. [Google Scholar] [CrossRef]
- Li, Q.; Yang, G.; Si, C.; Li, B. New Developments in Asphalt Pavement: Enhancing Durability, Sustainability, and Cost-Effectiveness. Coatings 2024, 14, 34. [Google Scholar] [CrossRef]
- Men, B.; Li, X.; Sha, T.; Guo, F.; Tang, G.; Yue, J. Research on Fatigue Performance of Fast-Melting SBS/Epoxy Resin Composite-Modified Asphalt. Coatings 2024, 14, 789. [Google Scholar] [CrossRef]
- Liu, X.; Wu, Z.; Min, Z.; Zhang, L. Investigation on the Preparation and Performances of Epoxy-Modified Asphalt Binder and Its Mixtures. Materials 2024, 17, 2539. [Google Scholar] [CrossRef]
- Cong, P.; Luo, W.; Xu, P.; Zhang, Y. Chemical and Physical Properties of Hot Mixing Epoxy Asphalt Binders. Constr. Build. Mater. 2019, 198, 1–9. [Google Scholar] [CrossRef]
- Xiang, Q.; Xiao, F. Applications of Epoxy Materials in Pavement Engineering. Constr. Build. Mater. 2020, 235, 117529. [Google Scholar] [CrossRef]
- Motamedi, M.; Attar, M.; Rostami, M. Performance Enhancement of the Oxidized Bitumen Binder Using Epoxy Resin. Prog. Org. Coat. 2017, 102, 178–185. [Google Scholar] [CrossRef]
- Tian, J.; Luo, S.; Lu, Q.; Liu, S. Effects of Epoxy Resin Content on Properties of Hot Mixing Epoxy Asphalt Binders. J. Mater. Civ. Eng. 2022, 34, 04022145. [Google Scholar] [CrossRef]
- Zhang, Z.; Liang, J.; Hu, J.; Li, J.; Ni, F. Characterizing the Curing Behavior and High-Temperature Performance of Epoxy-Resin Modified Asphalts. Constr. Build. Mater. 2022, 353, 129046. [Google Scholar] [CrossRef]
- Yu, J.; Cong, P.; Wu, S. Laboratory Investigation of the Properties of Asphalt Modified with Epoxy Resin. J. Appl. Polym. Sci. 2009, 113, 3557–3563. [Google Scholar] [CrossRef]
- Xu, P.; Zhu, Z.; Wang, Y.; Cong, P.; Li, D.; Hui, J.; Ye, M. Phase Structure Characterization and Compatibilization Mechanism of Epoxy Asphalt Modified by Thermoplastic Elastomer (SBS). Constr. Build. Mater. 2022, 320, 126262. [Google Scholar] [CrossRef]
- Si, J.; Jia, Z.; Wang, J.; Yu, X.; Li, Y.; Dong, F.; Jiang, R. Comparative Analysis of Cold-Mixed Epoxy and Epoxy SBS-Modified Asphalts: Curing Rheology, Thermal, and Mechanical Properties. Constr. Build. Mater. 2018, 176, 165–171. [Google Scholar] [CrossRef]
- Min, Z.; Wang, Q.; Xie, Y.; Xie, J.; Zhang, B. Influence of Polyethylene Glycol (PEG) Chain on the Performance of Epoxy Asphalt Binder and Mixture. Constr. Build. Mater. 2021, 272, 121614. [Google Scholar] [CrossRef]
- Ding, G.; Yu, X.; Si, J.; Mei, J.; Wang, J.; Chen, B. Influence of Epoxy Soybean Oil Modified Nano-Silica on the Compatibility of Cold-Mixed Epoxy Asphalt. Mater. Struct. 2021, 54, 16. [Google Scholar] [CrossRef]
- Zhang, F.; Zhang, L.; Muhammad, Y.; Cai, Z.; Guo, X.; Guo, Y.; Huang, K. Study on Preparation and Properties of New Thermosetting Epoxy Asphalt. Constr. Build. Mater. 2021, 311, 125307. [Google Scholar] [CrossRef]
- Wang, J.; Yu, X.; Ding, G.; Si, J.; Ruan, W.; Zou, X. Influence of Asphalt Solvents on the Rheological and Mechanical Properties of Cold-Mixed Epoxy Asphalt. Constr. Build. Mater. 2021, 310, 125245. [Google Scholar] [CrossRef]
- Zhang, Z.; Chen, Z.; Guo, L.; Niu, X.F.; Xue, P.T.; Zhang, S.J. The Mechanical Behavior of Epoxy Asphalt Mixture under Cyclic Loading. IOP Conf. Ser. Mater. Sci. Eng. 2019, 504, 012017. [Google Scholar] [CrossRef]
- Nie, W.; Wang, D.; Sun, Y.; Xu, W.; Xiao, X. Integrated Design of Structure and Material of Epoxy Asphalt Mixture Used in Steel Bridge Deck Pavement. Buildings 2021, 12, 9. [Google Scholar] [CrossRef]
- Zhong, K.; Sun, M.; Tang, X. Laboratory Evaluation on Functional Characteristics of Open-Graded Epoxy Asphalt Mixture. IOP Conf. Ser. Earth Environ. Sci. 2018, 199, 032030. [Google Scholar] [CrossRef]
- Bahmani, H.; Sanij, H.K.; Peiravian, F. Estimating Moisture Resistance of Asphalt Mixture Containing Epoxy Resin Using Surface Free Energy Method and Modified Lottman Test. Int. J. Pavement Eng. 2021, 23, 3492–3504. [Google Scholar] [CrossRef]
- Bi, Y.; Li, R.; Han, S.; Pei, J.; Zhang, J. Development and Performance Evaluation of Cold-Patching Materials Using Waterborne Epoxy-Emulsified Asphalt Mixtures. Materials 2020, 13, 1224. [Google Scholar] [CrossRef] [PubMed]
- JTG E20-2011; Standard Test Methods of Bitumen and Bituminous Mixtures for Highway Engineering. Ministry of Transport of the People’s Republic of China, China Communication Press: Beijing, China, 2011.
- JTG F40-2004; Technical Specifications for Construction of Highway Asphalt Pavements. Ministry of Transport of the People’s Republic of China, China Communication Press: Beijing, China, 2004.
- Shaw, M.T.; MacKnight, W.J. Introduction to Polymer Viscoelasticity; John Wiley & Sons: Hoboken, NJ, USA, 2018. [Google Scholar]
- D’Angelo, J.; Kluttz, R.; Dongre, R.N.; Stephens, K.; Zanzotto, L. Revision of the Superpave High Temperature Binder Specification: The Multiple Stress Creep Recovery Test. J. Assoc. Asphalt Paving Technol. 2007, 76, 123–162. [Google Scholar]
- AASHTO. MP 19-10; Standard Specification for Performance Graded Asphalt Binder Using Multiple Stress Creep Recovery (MSCR) Test. American Association of State Highway and Transportation Officials: Washington, DC, USA, 2010.
- ASTM D7405-10a; Standard Test Method for Multiple Stress Creep and Recovery (MSCR) of Asphalt Binder Using a Dynamic Shear Rheometer. ASTM International: West Conshohocken, PA, USA, 2010.
- Behnood, A.; Olek, J. Stress-Dependent Behavior and Rutting Resistance of Modified Asphalt Binders: An MSCR Approach. Constr. Build. Mater. 2017, 157, 635–646. [Google Scholar] [CrossRef]
- Meng, Y.; Lei, J.; Zhang, R.; Yang, X.; Zhao, Q.; Liao, Y.; Hu, Y. Effect of Geopolymer as an Additive on the Mechanical Performance of Asphalt. Road Mater. Pavement Des. 2022, 23, 2466–2485. [Google Scholar] [CrossRef]
- Zhou, W.; Xia, Y.; Tsai, F.C.; Jiang, T.; Zhao, H.; Wen, J. Effects of Compound Curing Agent on the Thermo-Mechanical Properties and Structure of Epoxy Asphalt. Int. J. Pavement Eng. 2017, 18, 928–936. [Google Scholar] [CrossRef]
- Zhao, Y.; Li, G.; Lan, J.; Zhang, Y.; Zhang, G. Study on Rheological and Chemical Behaviors of Unaged and Aged Modified Asphalt with Solid Waste Coking Sulfur Paste. Constr. Build. Mater. 2021, 279, 122451. [Google Scholar] [CrossRef]
- Jamshidi, A.; White, G.; Kurumisawa, K. Rheological Characteristics of Epoxy Asphalt Binders and Engineering Properties of Epoxy Asphalt Mixtures—State-of-the-Art. Road Mater. Pavement Des. 2021, 23, 1957–1980. [Google Scholar] [CrossRef]
- Xu, W.; Zhuang, G.; Chen, Z.; Wei, J. Experimental Study on the Micromorphology and Strength Formation Mechanism of Epoxy Asphalt During the Curing Reaction. Appl. Sci. 2020, 10, 2610. [Google Scholar] [CrossRef]
- Wei, J.; Zhang, Y. Study on the Curing Process of Epoxy Asphalt; ASTM International: West Conshohocken, PA, USA, 2012. [Google Scholar]













| Test Properties | Test Results | 70# Asphalt | SBS-Modified Asphalt | ||
|---|---|---|---|---|---|
| Test Results | Technical Index | Test Results | Technical Index | ||
| P25 °C, 100 g, 5 s (0.1 mm) | - | 63 | 60–80 | 52 | 40–60 |
| TR&B (°C) | - | 48.3 | ≥46 | 86 | ≥60 |
| Ductility (cm) | 5 °C | - | - | 35.6 | - |
| 10 °C | 17.6 | ≥15 | - | - | |
| RTFOT (163 °C, 85 min) | Mass loss (%) | 0.082 | ±0.8 | −0.002 | ±1.0 |
| Penetration ratio | 75 | ≥61 | 76 | ≥65 | |
| Ductility (cm) 5 °C | - | - | 27 | ≥15 | |
| 10 °C | 6.3 | ≥6 | - | - | |
| Modifier | Technical Parameter | Unit | Measured Result | Technical Requirement |
|---|---|---|---|---|
| ER-SBS | Appearance | Dark green particle | Granular, uniform | Granular, uniform |
| Individual particle mass | g | <0.001 | ≤0.5 | |
| Ash content | % | 0.96 | ≤1.0 | |
| Melt index | g/10 min | 14.2 | - | |
| Dry mix dispersibility | - | No particle residue | - |
| Type of Asphalt Mixture | Percentage of Mass by the Following Screens (%) | ||||||||||||
|---|---|---|---|---|---|---|---|---|---|---|---|---|---|
| 26.5 | 19 | 16 | 13.2 | 9.5 | 4.75 | 2.36 | 1.18 | 0.6 | 0.3 | 0.15 | 0.075 | ||
| AC-13 | Upper limit | 100 | 100 | 100 | 100 | 85 | 58 | 50 | 38 | 28 | 20 | 15 | 8 |
| Lower limit | 100 | 100 | 100 | 90 | 68 | 38 | 24 | 15 | 10 | 7 | 5 | 4 | |
| Median | 100 | 100 | 100 | 95 | 76.5 | 48 | 37 | 26.5 | 19 | 13.5 | 10 | 6 | |
| Test Parameters | Standard Rut Test | Rut Life Test |
|---|---|---|
| Specimen configuration | 300 mm × 300 mm × 50 mm | 300 mm × 300 mm × 50 mm |
| Specimen temperature | 60 °C, 70 °C | 60 °C, 70 °C |
| Tire configuration | Rubber tire, pressure is 0.7 MPa, 1.0 MPa | Steel tire, pressure is 1.4 MPa |
| Rolling distance | 230 mm × 10 mm | 230 mm × 10 mm |
| Rolling speed | 42 times/min | 30 times/min |
| Types of Asphalt | Aromatic Ring |
|---|---|
| 70# matrix asphalt | 0.0597 |
| 3% ER-SBS | 0.0664 |
| 6% ER-SBS | 0.0682 |
| 9% ER-SBS | 0.0733 |
| 12% ER-SBS | 0.0755 |
| 15% ER-SBS | 0.0819 |
Disclaimer/Publisher’s Note: The statements, opinions and data contained in all publications are solely those of the individual author(s) and contributor(s) and not of MDPI and/or the editor(s). MDPI and/or the editor(s) disclaim responsibility for any injury to people or property resulting from any ideas, methods, instructions or products referred to in the content. |
© 2024 by the authors. Licensee MDPI, Basel, Switzerland. This article is an open access article distributed under the terms and conditions of the Creative Commons Attribution (CC BY) license (https://creativecommons.org/licenses/by/4.0/).
Share and Cite
Yue, J.; Nie, X.; Liu, X.; Guo, F.; Lv, M.; Tang, G.; Li, R. Research on the Rheological Properties and Modification Mechanism of Epoxy Resin/SBS Composite-Modified Asphalt. Coatings 2024, 14, 1253. https://doi.org/10.3390/coatings14101253
Yue J, Nie X, Liu X, Guo F, Lv M, Tang G, Li R. Research on the Rheological Properties and Modification Mechanism of Epoxy Resin/SBS Composite-Modified Asphalt. Coatings. 2024; 14(10):1253. https://doi.org/10.3390/coatings14101253
Chicago/Turabian StyleYue, Jinchao, Xiaofan Nie, Xiaoqian Liu, Fei Guo, Ming Lv, Guoqi Tang, and Ruixia Li. 2024. "Research on the Rheological Properties and Modification Mechanism of Epoxy Resin/SBS Composite-Modified Asphalt" Coatings 14, no. 10: 1253. https://doi.org/10.3390/coatings14101253
APA StyleYue, J., Nie, X., Liu, X., Guo, F., Lv, M., Tang, G., & Li, R. (2024). Research on the Rheological Properties and Modification Mechanism of Epoxy Resin/SBS Composite-Modified Asphalt. Coatings, 14(10), 1253. https://doi.org/10.3390/coatings14101253
