Effect of Different Fibers on Shrinkage Properties and Bonding Properties of Geopolymer Mortar Repair Materials and Analysis of the Mechanism
Abstract
:1. Introduction
2. Experimental Test
2.1. Materials
2.2. Experimental Program
2.3. Test Methods
2.3.1. Mechanical Properties
2.3.2. Flexural Toughness
2.3.3. Shrinkage
2.3.4. Bonding Properties
2.3.5. Micro Characterization
3. Results
3.1. Flexural Strength
3.2. Compressive Strength
3.3. Flexural Toughness
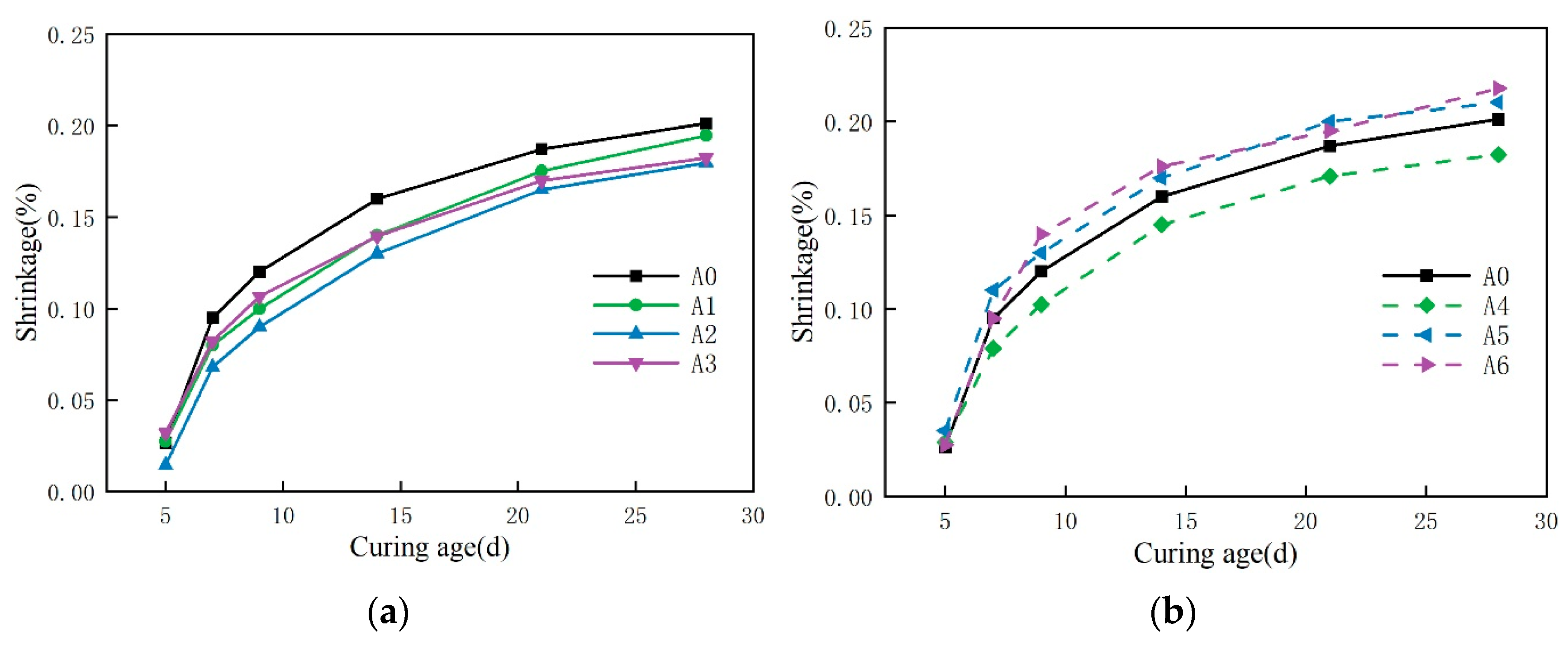
3.4. Shrinkage
3.5. Bonding Properties
3.6. Micro Characterization
4. Conclusions
- The incorporation of fibers enhances the compressive strength and reduces the flexural strength. The flexural strength of the geopolymer mortar repair material decreases, and the compressive strength increases with the increase in fiber incorporation. A comprehensive analysis of flexural and compressive strengths shows that the mechanical properties of the geopolymer mortar repair material are relatively better when 1.0% PP fibers are incorporated;
- The incorporation of fibers enhances the toughness of the geopolymer. The toughness of the geopolymer increases with the increase in fiber incorporation. A comprehensive analysis of the load-deflection curves and toughness indexes shows that the toughening effect of PVA fibers is the best and the toughening effect of POM fibers is the worst;
- The shrinkage of the geopolymer mortar repair material has relatively little effect on the building repair. As the fiber incorporation increases, PVA fiber reduces the shrinkage of the geopolymer, and POM fiber and PP fiber increase the shrinkage of the geopolymer. The results show that the shrinkage of the geopolymer mortar repair material is better when 1% POM fibers are incorporated;
- The fracture surface of the repaired specimen occurs in the geopolymer portion, so the geopolymer mortar repair material has good bonding properties and can be used for building repair work. The increase in flexural strength of the repaired specimens depends on the bonding area of the fracture surface, which increases with the amount of fiber incorporation;
- By XRD analysis, the hydration products of the geopolymer matrix can be detected as CaCO3 and C–S–H gels. From SEM images, the bond strength of PVA fibers to the geopolymer matrix is maximum; compared to POM fibers, PP fibers have a rougher surface, more geopolymer particles attached, and greater fiber-to-matrix bond strength and friction.
Author Contributions
Funding
Institutional Review Board Statement
Informed Consent Statement
Data Availability Statement
Conflicts of Interest
References
- Benhelal, E.; Zahedi, G.; Shamsaei, E.; Bahadori, A. Global strategies and potentials to curb CO2 emissions in cement industry. J. Clean. Prod. 2013, 51, 142–161. [Google Scholar]
- Wang, Y.; Wang, Y.S.; Zhang, M.Z. Effect of sand content on engineering properties of fly ash-slag based strain hardening geopolymer composites. J. Build. Eng. 2021, 34, 101951. [Google Scholar] [CrossRef]
- Abbas, A.-G.N.; Aziz, F.N.A.A.; Abdan, K.; Nasir, N.A.M.; Huseien, G.F. A state-of-the-art review on fibre-reinforced geopolymer composites. Constr. Build. Mater. 2022, 330, 123187. [Google Scholar]
- Wang, Y.; Zhong, H.; Zhang, M.Z. Experimental study on static and dynamic properties of fly ash-slag based strain hardening geopolymer composites. Cem. Concr. Compos. 2022, 129, 104481. [Google Scholar]
- Farhan, K.Z.; Johari, M.A.M.; Demirboğa, R. Impact of fiber reinforcements on properties of geopolymer composites: A review. J. Build. Eng. 2021, 44, 102628. [Google Scholar]
- Ranjbar, N.; Zhang, M.Z. Fiber-reinforced geopolymer composites: A review. Cem. Concr. Compos. 2020, 107, 103498. [Google Scholar]
- Korniejenko, K.; Lin, W.-T.; Šimonová, H. Mechanical Properties of Short Polymer Fiber-Reinforced Geopolymer Composites. J. Compos. Sci. 2020, 4, 128. [Google Scholar] [CrossRef]
- Haddaji, Y.; Majdoubi, H.; Mansouri, S.; Tamraoui, Y.; El Bouchti, M.; Manoun, B.; Oumam, M.; Hannache, H. Effect of synthetic fibers on the properties of geopolymers based on non-heat treated phosphate mine tailing. Mater. Chem. Phys. 2021, 260, 124147. [Google Scholar] [CrossRef]
- Choi, S.-J.; Choi, J.-I.; Song, J.-K.; Lee, B.Y. Rheological and mechanical properties of fiber-reinforced alkali-activated composite. Constr. Build. Mater. 2015, 96, 112–118. [Google Scholar] [CrossRef]
- Xu, S.; Malik, M.A.; Qi, Z.; Huang, B.; Li, Q.; Sarkar, M. Influence of the PVA fibers and SiO2 NPs on the structural properties of fly ash based sustainable geopolymer. Constr. Build. Mater. 2018, 164, 238–245. [Google Scholar]
- Ranjbar, N.; Mehrali, M.; Behnia, A.; Pordsari, A.J.; Mehrali, M.; Alengaram, U.J.; Jumaat, M.Z. A Comprehensive Study of the Polypropylene Fiber Reinforced Fly Ash Based Geopolymer. PLoS ONE 2016, 11, e0147546. [Google Scholar] [CrossRef]
- Guo, X.; Pan, X. Mechanical properties and mechanisms of fiber reinforced fly ash–steel slag based geopolymer mortar. Constr. Build. Mater. 2018, 179, 633–641. [Google Scholar] [CrossRef]
- Ranjbar, N.; Talebian, S.; Mehrali, M.; Kuenzel, C.; Metselaar, H.S.C.; Jumaat, M.Z. Mechanisms of interfacial bond in steel and polypropylene fiber reinforced geopolymer composites. Compos. Sci. Technol. 2016, 122, 73–81. [Google Scholar] [CrossRef]
- Xu, F.; Deng, X.; Peng, C.; Zhu, J.; Chen, J. Mix design and flexural toughness of PVA fiber reinforced fly ash-geopolymer composites. Constr. Build. Mater. 2017, 150, 179–189. [Google Scholar] [CrossRef]
- Masi, G.; Rickard, W.; Bignozzi, M.C.; van Riessen, A. The effect of organic and inorganic fibres on the mechanical and thermal properties of aluminate activated geopolymers. Compos. Part B Eng. 2015, 76, 218–228. [Google Scholar] [CrossRef]
- Li, Z.; Sheikh, M.N.; Feng, H.; Hadi, M.N.S. Mechanical properties of ambient cured fly ash-slag-based engineered geopolymer composites with different types of fibers. Struct. Concr. 2023, 24, 2363–2383. [Google Scholar] [CrossRef]
- Farooq, M.; Bhutta, A.; Banthia, N. Tensile performance of eco-friendly ductile geopolymer composites (EDGC) incorporating different micro-fibers. Cem. Concr. Compos. 2019, 103, 183–192. [Google Scholar] [CrossRef]
- Meng, Z.X.; Li, L.; Farooqi, M.U.; Feng, L.M.; Wang, L. Fiber factor for fresh and hardened properties of polyethylene fiber-reinforced geopolymer mortar. J. Build. Eng. 2022, 53, 104556. [Google Scholar] [CrossRef]
- Noushini, A.; Hastings, M.; Castel, A.; Aslani, F. Mechanical and flexural performance of synthetic fibre reinforced geopolymer concrete. Constr. Build. Mater. 2018, 186, 454–475. [Google Scholar] [CrossRef]
- Yang, S.; Zhao, R.; Ma, B.; Si, R.; Zeng, X. Mechanical and fracture properties of fly ash-based geopolymer concrete with different fibers. J. Build. Eng. 2023, 63, 165–169. [Google Scholar] [CrossRef]
- Al-Mashhadani, M.M.; Canpolat, O.; Aygormez, Y.; Uysal, M.; Erdem, S. Mechanical and microstructural characterization of fiber reinforced fly ash based geopolymer composites. Constr. Build. Mater. 2018, 167, 505–513. [Google Scholar] [CrossRef]
- Khan, S.U.; Ayub, T. PET Fiber–Reinforced Engineered Geopolymer and Cementitious Composites. J. Mater. Civ. Eng. 2022, 34, 06021010. [Google Scholar] [CrossRef]
- Cai, J.; Jiang, J.; Gao, X.; Ding, M. Improving the Mechanical Properties of Fly Ash-Based Geopolymer Composites with PVA Fiber and Powder. Materials 2022, 15, 2363. [Google Scholar] [CrossRef]
- Deng, Z.; Yang, Z.; Bian, J.; Lin, J.; Long, Z.; Hong, G.; Yang, Z.; Ye, Y. Advantages and disadvantages of PVA-fibre-reinforced slag- and fly ash-blended geopolymer composites: Engineering properties and microstructure. Constr. Build. Mater. 2022, 349, 128690. [Google Scholar] [CrossRef]
- Ling, Y.; Wang, K.; Li, W.; Shi, G.; Lu, P. Effect of slag on the mechanical properties and bond strength of fly ash-based engineered geopolymer composites. Compos. Part B Eng. 2019, 164, 747–757. [Google Scholar] [CrossRef]
- Zhang, H.Y.; Kodur, V.; Wu, B.; Yan, J.; Yuan, Z.S. Effect of temperature on bond characteristics of geopolymer concrete. Constr. Build. Mater. 2018, 163, 277–285. [Google Scholar] [CrossRef]
- Zanotti, C.; Borges, P.H.; Bhutta, A.; Banthia, N. Bond strength between concrete substrate and metakaolin geopolymer repair mortar: Effect of curing regime and PVA fiber reinforcement. Cem. Concr. Compos. 2017, 80, 307–316. [Google Scholar] [CrossRef]
- Kumar, S.; Das, C.S.; Lao, J.; Alrefaei, Y.; Dai, J.-G. Effect of sand content on bond performance of engineered geopolymer composites (EGC) repair material. Constr. Build. Mater. 2022, 328, 127080. [Google Scholar] [CrossRef]
- Alanazi, H.; Yang, M.J.; Zhang, D.L.; Gao, Z.L. Bond strength of PCC pavement repairs using metakaolin-based geopolymer mortar. Cem. Concr. Compos. 2016, 65, 75–82. [Google Scholar] [CrossRef]
- Hu, S.; Wang, H.; Zhang, G.; Ding, Q. Bonding and abrasion resistance of geopolymeric repair material made with steel slag. Cem. Concr. Compos. 2008, 30, 239–244. [Google Scholar] [CrossRef]
- Maranan, G.; Manalo, A.; Karunasena, K.; Benmokrane, B. Bond Stress-Slip Behavior: Case of GFRP Bars in Geopolymer Concrete. J. Mater. Civ. Eng. 2015, 27, 04014116. [Google Scholar] [CrossRef]
- Yadav, R.; Singh, P.K.; Chaturvedi, R. Enlargement of geo polymer compound material for the renovation of conventional concrete structures. In Proceedings of the International Conference on Advances in Materials Research (ICAMR), Bannari Amman Inst Technol, Sathyamangalam, India, 6–7 December 2019. [Google Scholar]
- Bhutta, A.; Farooq, M.; Banthia, N. Performance characteristics of micro fiber-reinforced geopolymer mortars for repair. Constr. Build. Mater. 2019, 215, 605–612. [Google Scholar] [CrossRef]
- Kantarci, F.; Maraş, M.M. Fabrication of Novel Geopolymer Grout as Repairing Material for Application in Damaged RC Beams. Int. J. Civ. Struct. Eng. 2022, 20, 461–474. [Google Scholar] [CrossRef]
- Gao, Z.; Zhang, P.; Wang, J.; Wang, K.X.; Zhang, T.H. Interfacial properties of geopolymer mortar and concrete substrate: Effect of polyvinyl alcohol fiber and nano-SiO2 contents. Constr. Build. Mater. 2022, 315, 125735. [Google Scholar] [CrossRef]
- Behforouz, B.; Balkanlou, V.S.; Naseri, F.; Kasehchi, E.; Mohseni, E.; Ozbakkaloglu, T. Investigation of eco-friendly fiber-reinforced geopolymer composites incorporating recycled coarse aggregates. Int. J. Environ. Sci. Technol. 2020, 17, 3251–3260. [Google Scholar] [CrossRef]
- Guo, X.; Shi, H.; Dick, W.A. Compressive strength and microstructural characteristics of class C fly ash geopolymer. Cem. Concr. Compos. 2010, 32, 142–147. [Google Scholar] [CrossRef]









| Material | SiO2 | CaO | Al2O3 | Fe2O3 | MgO | MnO | TiO2 | Na2O | K2O | P2O5 | LOI |
|---|---|---|---|---|---|---|---|---|---|---|---|
| Fly ash | 51.99 | 5.55 | 37.08 | 4.10 | 1.37 | 0.05 | 1.36 | 1.48 | 0.95 | 0.06 | 1.95 |
| Slag | 35.01 | 27.56 | 21.09 | 0.32 | 12.87 | 0.16 | 0.26 | 0.36 | 0.27 | 0.05 | 1.49 |
| Type | Tensile Strength (MPa) | Modulus of Elasticity (GPa) | Dry Elongation at Break (%) | Linear Density (g/cm3) | Diameter (μm) |
|---|---|---|---|---|---|
| PVA fiber | 1600 | 35 | 17 ± 3.0 | 1.3 | 40 |
| POM fiber | 800 | 10 | 30 | 1.4 | 200 |
| PP fiber | 450 | 8 | 21 | 0.91 | 200 |
| Specimen | Fiber | Water (g) | Slag (g) | Fly Ash (g) | Alkali Activator (g) | Fluidity (mm) | Compressive Strength (MPa) | Flexural Strength (MPa) |
|---|---|---|---|---|---|---|---|---|
| G1-PVA | 1.0% PVA | 327.8 | 0 | 1215.2 | 257 | 60 | 31.8 | 5.0 |
| G2-PVA | 1.0% PVA | 327.8 | 364.6 | 850.6 | 257 | 60 | 42.2 | 8.6 |
| G3-PVA | 1.0% PVA | 327.8 | 486.1 | 729.1 | 257 | 60 | 44.0 | 8.9 |
| G4-PVA | 1.0% PVA | 327.8 | 729.1 | 486.1 | 257 | 100 | 58.8 | 9.8 |
| G5-PVA | 1.0% PVA | 327.8 | 850.6 | 364.6 | 257 | 115 | 63.1 | 10.2 |
| G6-PVA | 1.0% PVA | 327.8 | 1215.2 | 0 | 257 | 140 | 70.2 | 10.4 |
| G1-POM | 1.0% POM | 327.8 | 0 | 1215.2 | 257 | 170 | 37.8 | 5.8 |
| G2-POM | 1.0% POM | 327.8 | 364.6 | 850.6 | 257 | 175 | 48.5 | 8.5 |
| G3-POM | 1.0% POM | 327.8 | 486.1 | 729.1 | 257 | 171 | 48.6 | 8.5 |
| G4-POM | 1.0% POM | 327.8 | 729.1 | 486.1 | 257 | 173 | 61.2 | 10.4 |
| G5-POM | 1.0% POM | 327.8 | 850.6 | 364.6 | 257 | 176 | 65.4 | 11.5 |
| G6-POM | 1.0% POM | 327.8 | 1215.2 | 0 | 257 | 178 | 72.8 | 9.3 |
| G1-PP | 1.0% PP | 327.8 | 0 | 1215.2 | 257 | 135 | 40.5 | 7.2 |
| G2-PP | 1.0% PP | 327.8 | 364.6 | 850.6 | 257 | 142 | 49.8 | 9.7 |
| G3-PP | 1.0% PP | 327.8 | 486.1 | 729.1 | 257 | 175 | 56.8 | 10.0 |
| G4-PP | 1.0% PP | 327.8 | 729.1 | 486.1 | 257 | 185 | 62.9 | 11.2 |
| G5-PP | 1.0% PP | 327.8 | 850.6 | 364.6 | 257 | 185 | 69.2 | 11.4 |
| G6-PP | 1.0% PP | 327.8 | 1215.2 | 0 | 257 | 180 | 75.0 | 11.2 |
| Fly Ash | Slag | Quartz Sand | Water | Alkali Activator |
|---|---|---|---|---|
| 241.8 | 564.2 | 806 | 217.43 | 170.47 |
| Specimen | Volume Fraction (%) | PVA Fiber (g) | POM Fiber (g) | PP Fiber (g) |
|---|---|---|---|---|
| A0 | 0 | 0 | 0 | 0 |
| A1 | 1 | 7.3 | 0 | 0 |
| A2 | 1 | 0 | 7.96 | 0 |
| A3 | 1 | 0 | 0 | 5.04 |
| A4 | 2 | 14.6 | 0 | 0 |
| A5 | 2 | 0 | 15.92 | 0 |
| A6 | 2 | 0 | 0 | 10.08 |
| Specimen | A0 | A1 | A2 | A3 | A4 | A5 | A6 |
|---|---|---|---|---|---|---|---|
| Fiber incorporation amount (%) | 0 | 1.0% PVA | 1.0% POM | 1.0% PP | 2.0% PVA | 2.0% POM | 2.0% PP |
| Flexural strength (MPa) | 11.7 | 10.2 | 11.4 | 11.5 | 9.1 | 9.1 | 9.7 |
| Specimen | A0 | A1 | A2 | A3 | A4 | A5 | A6 |
|---|---|---|---|---|---|---|---|
| Fiber incorporation amount (%) | 0 | 1.0% PVA | 1.0% POM | 1.0% PP | 2.0% PVA | 2.0% POM | 2.0% PP |
| Compressive strength (MPa) | 60.5 | 63.1 | 65.4 | 69.2 | 67.3 | 73.2 | 79.8 |
| Specimen | Ultimate Flexural Load (N) | I5 | I10 | I20 |
|---|---|---|---|---|
| A-PVA | 541.4 | 7.4 | 64.4 | 71.1 |
| A-POM | 341.6 | 18.5 | 21.0 | 21.0 |
| A-PP | 472.3 | 21.4 | 28.9 | 28.9 |
| Repaired Specimen | B0 | B1 | B2 | B3 | B4 | B5 | B6 |
|---|---|---|---|---|---|---|---|
| Fiber incorporation amount (%) | 0 | 1.0% PVA | 1.0% POM | 1.0% PP | 2.0% PVA | 2.0% POM | 2.0% PP |
| Flexural strength (MPa) | 4.0 | 4.3 | 4.4 | 4.4 | 4.8 | 5.0 | 4.8 |
| 4.3 | 4.6 | 4.3 | 4.6 | 3.9 | 4.7 | 4.5 | |
| 3.9 | 4.5 | 4.4 | 2.9 | 4.8 | 4.9 | 4.6 |
Disclaimer/Publisher’s Note: The statements, opinions and data contained in all publications are solely those of the individual author(s) and contributor(s) and not of MDPI and/or the editor(s). MDPI and/or the editor(s) disclaim responsibility for any injury to people or property resulting from any ideas, methods, instructions or products referred to in the content. |
© 2023 by the authors. Licensee MDPI, Basel, Switzerland. This article is an open access article distributed under the terms and conditions of the Creative Commons Attribution (CC BY) license (https://creativecommons.org/licenses/by/4.0/).
Share and Cite
Sui, J.; Li, X.; Zhang, H.; Xu, F.; Deng, J.; Hu, R.; Chen, M. Effect of Different Fibers on Shrinkage Properties and Bonding Properties of Geopolymer Mortar Repair Materials and Analysis of the Mechanism. Coatings 2023, 13, 1542. https://doi.org/10.3390/coatings13091542
Sui J, Li X, Zhang H, Xu F, Deng J, Hu R, Chen M. Effect of Different Fibers on Shrinkage Properties and Bonding Properties of Geopolymer Mortar Repair Materials and Analysis of the Mechanism. Coatings. 2023; 13(9):1542. https://doi.org/10.3390/coatings13091542
Chicago/Turabian StyleSui, Jingyu, Xiaoyan Li, Hanbin Zhang, Fang Xu, Jingjing Deng, Ruiyang Hu, and Muqun Chen. 2023. "Effect of Different Fibers on Shrinkage Properties and Bonding Properties of Geopolymer Mortar Repair Materials and Analysis of the Mechanism" Coatings 13, no. 9: 1542. https://doi.org/10.3390/coatings13091542
APA StyleSui, J., Li, X., Zhang, H., Xu, F., Deng, J., Hu, R., & Chen, M. (2023). Effect of Different Fibers on Shrinkage Properties and Bonding Properties of Geopolymer Mortar Repair Materials and Analysis of the Mechanism. Coatings, 13(9), 1542. https://doi.org/10.3390/coatings13091542
