Enhanced Compatibility of Secondary Waste Carbon Fibers through Surface Activation via Nanoceramic Coating in Fiber-Reinforced Cement Mortars
Abstract
1. Introduction
- Compression-molded composites for carbon and hybrid non-wovens with longer reclaimed fibers;
- Chopped and pelletized fibers for thermoplastic and thermoset composites;
- Milled fibers for coatings and compounds;
- Hybrid CFRP composites—10% vCFs with 90% rCFs—which can reduce costs by 70%.
2. Materials
2.1. Secondary Waste Carbon Fibers (sCFs)
2.2. Mixtures Composition and Details on Nanoclay Properties
2.3. Conditioning of sCFs via ANC-Based Treatment
2.4. Mix Formulations
3. Testing
3.1. Microanalysis of sCFs after ANC-Based Conditioning
3.1.1. SEM and EDS Analysis
3.1.2. Fourier-Transform Infrared Spectroscopy (FT-IR)
3.2. Characterization of Fiber-Reinforced Cement Mortars
3.2.1. Three-Point Flexural Testing
3.2.2. Compression Testing
3.2.3. SEM and EDS Analysis
4. Results and Discussions
4.1. Microanalysis of sCFs after ANC-Based Conditioning
4.1.1. Microstructure Analysis
4.1.2. Surface Functional Groups
4.2. Mechanical Characterization of Fiber-Reinforced Cement Mortars
4.2.1. Three-Point Flexural Testing
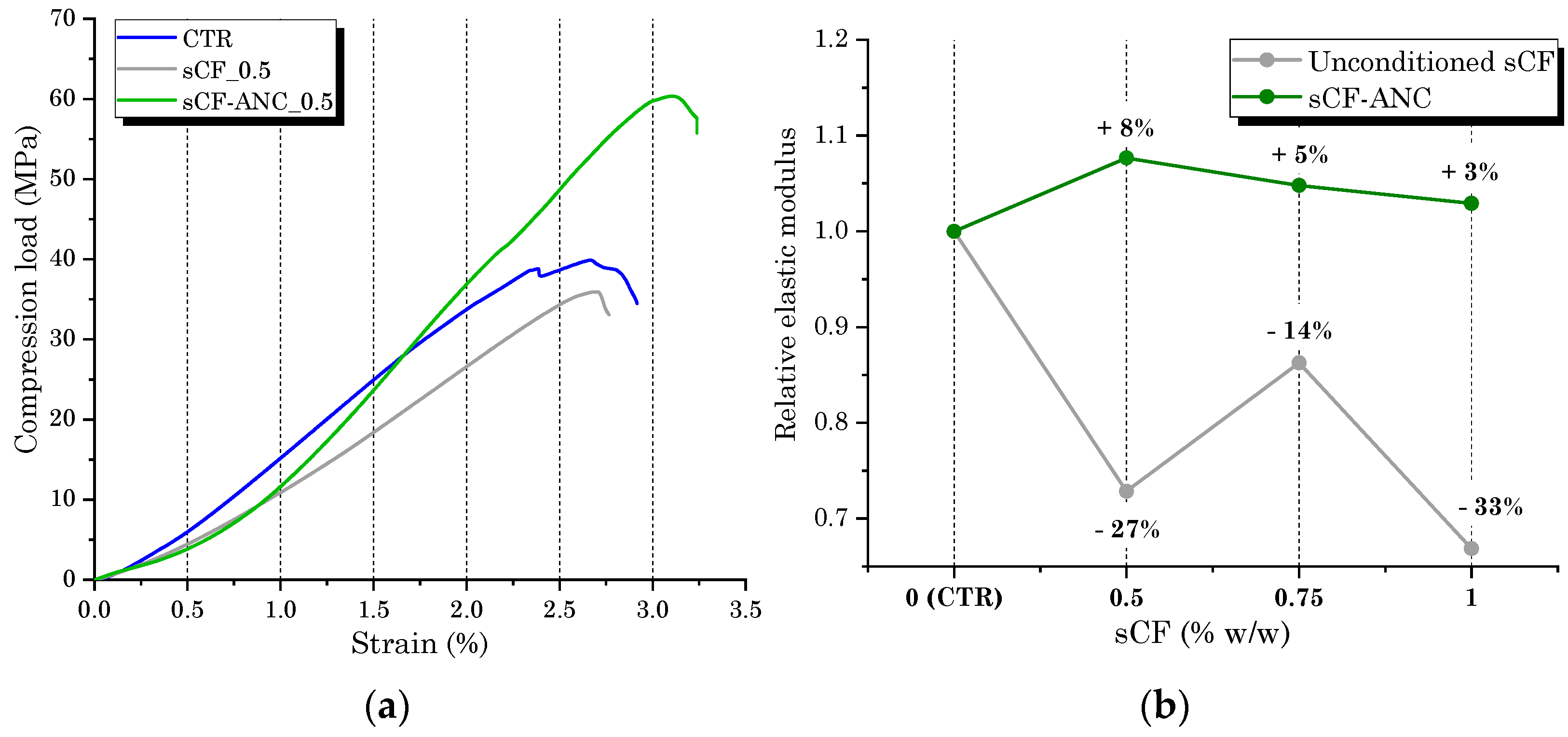
4.2.2. Compression Testing
4.2.3. SEM and EDS Analysis
4.2.4. Mechanical Characterization of ANC Group Samples
5. Conclusions
- The surface conditioning of sCFs by ANC greatly assists the deagglomeration of fibers, improving their dispersion in the cement matrix. Nanoceramic treatment altered the interfacial surface energy of carbon fiber, enhancing the interface reaction with the hydrophilic medium (cementitious paste).
- The conditioning method proposed in this study is cost-effective, eco-friendly, and simple, while being extremely successful in enhancing the strength properties of fiber-reinforced mortars. Over a plain mortar mixture (0% sCFs), the maximum increment improvement in flexural and compression strengths was of more than 76% and 13%, respectively. Compared to the mortars incorporating unconditioned sCF, the biggest increase in flexural strength was of more than 100%, demonstrating that the adequate dispersion of fibers was crucial to achieve a significant improvement in mechanical performance. The cement mortar sample that provided the most superior mechanical performance was the sCF-ANC_0.75 mix.
- Although nanoclay is efficient to prevent the formation of carbon agglomerates and to avoid the presence of defects in the matrix (porosity, partially reacted zones), its effect as a “dry” additive in the mix did not enhance the mechanical strength of cement mixtures. Improper dispersion of this nanomaterial can severely limit its pozzolanic reactivity and therefore performance improvements in the material.
Author Contributions
Funding
Institutional Review Board Statement
Informed Consent Statement
Data Availability Statement
Acknowledgments
Conflicts of Interest
References
- Liew, K.M.; Akbar, A. The recent progress of recycled steel fiber reinforced concrete. Constr. Build. Mater. 2020, 232, 117232. [Google Scholar] [CrossRef]
- Wang, Y.; Wu, H.C.; Li, V.C. Concrete reinforcement with recycled fibers. J. Mater. Civ. Eng. 2000, 12, 314–319. [Google Scholar] [CrossRef]
- Merli, R.; Preziosi, M.; Acampora, A.; Lucchetti, M.C.; Petrucci, E. Recycled fibers in reinforced concrete: A systematic literature review. J. Clean. Prod. 2020, 248, 119207. [Google Scholar] [CrossRef]
- Tan, W.L.; Lee, Y.H.; Tan, C.S.; Lee, Y.Y.; Kueh, A.B.H. Mechanical properties and fracture prediction of concretes containing oil palm shell and expanded clay for full replacement of conventional aggregates. J. Teknol. 2022, 84, 171–181. [Google Scholar] [CrossRef]
- Lee, Y.H.; Chua, N.; Amran, M.; Lee, Y.Y.; Hong Kueh, A.B.; Fediuk, R.; Vatin, N.; Vasilev, Y. Thermal Performance of Structural Lightweight Concrete Composites for Potential Energy Saving. Crystals 2021, 11, 461. [Google Scholar] [CrossRef]
- Kueh, A.B.H.; Razali, A.W.; Lee, Y.Y.; Hamdan, S.; Yakub, I.; Suhaili, N. Acoustical and mechanical characteristics of mortars with pineapple leaf fiber and silica aerogel infills–Measurement and modeling. Mater. Today Commun. 2023, 35, 105540. [Google Scholar] [CrossRef]
- Wei, J.; Meyer, C. Degradation mechanisms of natural fiber in the matrix of cement composites. Cem. Concr. Res. 2015, 73, 1–16. [Google Scholar] [CrossRef]
- Mukaddas, A.M.; Aziz, F.A.; Nasir, N.M.; Sutan, N.M. Water permeability and chloride and sulphate resistance of rubberised fibre mortar. J. Civ. Eng. Sci. Technol. 2019, 10, 146–157. [Google Scholar] [CrossRef]
- Zia, A.; Pu, Z.; Holly, I.; Umar, T.; Tariq, M.A.U.R.; Sufian, M. A Comprehensive Review of Incorporating Steel Fibers of Waste Tires in Cement Composites and Its Applications. Materials 2022, 15, 7420. [Google Scholar] [CrossRef]
- Signorini, C.; Volpini, V. Mechanical Performance of Fiber Reinforced Cement Composites Including Fully-Recycled Plastic Fibers. Fibers 2021, 9, 16. [Google Scholar] [CrossRef]
- Małek, M.; Jackowski, M.; Łasica, W.; Kadela, M.; Wachowski, M. Mechanical and Material Properties of Mortar Reinforced with Glass Fiber: An Experimental Study. Materials 2021, 14, 698. [Google Scholar] [CrossRef] [PubMed]
- Singh, A.; Charak, A.; Biligiri, K.P.; Pandurangan, V. Glass and carbon fiber reinforced polymer composite wastes in pervious concrete: Material characterization and lifecycle assessment. Resour. Conserv. Recycl. 2022, 182, 106304. [Google Scholar] [CrossRef]
- Sakai, A.; Kurniawan, W.; Kubouchi, M. Recycled Carbon Fibers with Improved Physical Properties Recovered from CFRP by Nitric Acid. Appl. Sci. 2023, 13, 3957. [Google Scholar] [CrossRef]
- Ren, Y.; Xu, L.; Shang, X.; Shen, Z.; Fu, R.; Li, W.; Guo, L. Evaluation of mechanical properties and pyrolysis products of carbon fibers recycled by microwave pyrolysis. ACS Omega 2022, 7, 13529–13537. [Google Scholar] [CrossRef]
- Holmes, M. Recycled carbon fiber composites become a reality. Reinf. Plast. 2018, 62, 148–153. [Google Scholar] [CrossRef]
- Akbar, A.; Kodur, V.K.R.; Liew, K.M. Microstructural changes and mechanical performance of cement composites reinforced with recycled carbon fibers. Cem. Concr. Compos. 2021, 121, 104069. [Google Scholar] [CrossRef]
- Kimm, M.; Sabir, A.; Gries, T.; Suwanpinij, P. Potential of Using Recycled Carbon Fibers as Reinforcing Material for Fiber Concrete. In Fibre Reinforced Concrete: Improvements and Innovations; BEFIB, 2020; RILEM, Bookseries; Serna, P., Llano-Torre, A., Martí-Vargas, J.R., Navarro-Gregori, J., Eds.; Springer: Cham, Switzerland, 2021; Volume 30. [Google Scholar] [CrossRef]
- Li, Y.-F.; Li, J.-Y.; Ramanathan, G.K.; Chang, S.-M.; Shen, M.-Y.; Tsai, Y.-K.; Huang, C.-H. An Experimental Study on Mechanical Behaviors of Carbon Fiber and Microwave-Assisted Pyrolysis Recycled Carbon Fiber-Reinforced Concrete. Sustainability 2021, 13, 6829. [Google Scholar] [CrossRef]
- Xiong, C.; Li, Q.; Lan, T.; Li, H.; Long, W.; Xing, F. Sustainable use of recycled carbon fiber reinforced polymer and crumb rubber in concrete: Mechanical properties and ecological evaluation. J. Clean. Prod. 2021, 279, 123624. [Google Scholar] [CrossRef]
- Sambucci, M.; Valente, M. Ground Waste Tire Rubber as a Total Replacement of Natural Aggregates in Concrete Mixes: Application for Lightweight Paving Blocks. Materials 2021, 14, 7493. [Google Scholar] [CrossRef]
- Boudriche, L.; Calvet, R.; Hamdi, B.; Balard, H. Effect of acid treatment on surface properties evolution of attapulgite clay: An application of inverse gas chromatography. Colloids Surf. A Physicochem. Eng. Asp. 2011, 392, 45–54. [Google Scholar] [CrossRef]
- Liu, J.; Zhong, J.; Chen, Z.; Mao, J.; Liu, J.; Zhang, Z.; Li, X.; Ren, S. Preparation, characterization, application and structure evolution of attapulgite: From nanorods to nanosheets. Appl. Surf. Sci. 2021, 565, 150398. [Google Scholar] [CrossRef]
- Mohammad Mehdipour, N.; Reddy, N.; Shor, R.J.; Natale, G. Orientation dynamics of anisotropic and polydisperse colloidal suspensions. Phys. Fluids 2022, 34, 083317. [Google Scholar] [CrossRef]
- Hakamy, A.; Shaikh, F.U.A.; Low, I.M. Effect of calcined nanoclay on microstructural and mechanical properties of chemically treated hemp fabric-reinforced cement nanocomposites. Constr. Build. Mater. 2015, 95, 882–891. [Google Scholar] [CrossRef]
- Niu, X.J.; Li, Q.B.; Hu, Y.; Tan, Y.S.; Liu, C.F. Properties of cement-based materials incorporating nano-clay and calcined nano-clay: A review. Constr. Build. Mater. 2021, 284, 122820. [Google Scholar] [CrossRef]
- El-Seidy, E.; Chougan, M.; Sambucci, M.; Al-Kheetan, M.J.; Biblioteca, I.; Valente, M.; Ghaffar, S.H. Lightweight alkali-activated materials and ordinary Portland cement composites using recycled polyvinyl chloride and waste glass aggregates to fully replace natural sand. Constr. Build. Mater. 2023, 368, 130399. [Google Scholar] [CrossRef]
- Chougan, M.; Ghaffar, S.H.; Sikora, P.; Mijowska, E.; Kukułka, W.; Stephan, D.; Albar, A.; Swash, M.R. Boosting Portland cement-free composite performance via alkali-activation and reinforcement with pre-treated functionalised wheat straw. Ind. Crops Prod. 2022, 178, 114648. [Google Scholar] [CrossRef]
- Snoeck, D.; Schaubroeck, D.; Dubruel, P.; De Belie, N. Effect of high amounts of superabsorbent polymers and additional water on the workability, microstructure and strength of mortars with a water-to-cement ratio of 0.50. Constr. Build. Mater. 2014, 72, 148–157. [Google Scholar] [CrossRef]
- ASTM C348-02; American Society for Testing and Materials. Flexural Strength of Hydraulic-Cement Mortars. ASTM International: West Conshohocken, PA, USA, 2002; pp. 1–6.
- ASTM C109/C109M-02; American Society for Testing and Materials. Standard Test Method for Compressive Strength of Hydraulic Cement Mortars (Using 2-in. or Cube Specimens). ASTM International: West Conshohocken, PA, USA, 2016; pp. 1–10.
- Quigley, J.P.; Herrington, K.; Bortner, M.; Baird, D.G. Benign reduction of carbon nanotube agglomerates using a supercritical carbon dioxide process. Appl. Phys. A 2014, 117, 1003–1017. [Google Scholar] [CrossRef]
- Chuang, W.; Lei, P.; Bing-Liang, L.; Ni, G.; Li-Ping, Z.; Ke-Zhi, L. Influences of molding processes and different dispersants on the dispersion of chopped carbon fibers in cement matrix. Heliyon 2018, 4, e00868. [Google Scholar] [CrossRef]
- Zabihi, O.; Ahmadi, M.; Li, Q.; Shafei, S.; Huson, M.G.; Naebe, M. Carbon fibre surface modification using functionalized nanoclay: A hierarchical interphase for fibre-reinforced polymer composites. Compos. Sci. Technol. 2017, 148, 49–58. [Google Scholar] [CrossRef]
- Jeong, H.K.; Lee, Y.P.; Jin, M.H.; Kim, E.S.; Bae, J.J.; Lee, Y.H. Thermal stability of graphite oxide. Chem. Phys. Lett. 2009, 470, 255–258. [Google Scholar] [CrossRef]
- Zawrah, M.F.; Khattab, R.M.; Saad, E.M.; Gado, R.A. Effect of surfactant types and their concentration on the structural characteristics of nanoclay. Spectrochim. Acta Part A Mol. Biomol. Spectrosc. 2014, 122, 616–623. [Google Scholar] [CrossRef] [PubMed]
- Liao, L.; Li, X.; Wang, Y.; Fu, H.; Li, Y. Effects of surface structure and morphology of nanoclays on the properties of jatropha curcas oil-based waterborne polyurethane/clay nanocomposites. Ind. Eng. Chem. Res. 2016, 55, 11689–11699. [Google Scholar] [CrossRef]
- Rath, J.P.; Chaki, T.K.; Khastgir, D. Development of natural rubber-fibrous nano clay attapulgite composites: The effect of chemical treatment of filler on mechanical and dynamic mechanical properties of composites. Procedia Chem. 2012, 4, 131–137. [Google Scholar] [CrossRef][Green Version]
- Zhu, H.; Zhou, H.; Gou, H. Evaluation of carbon fiber dispersion in cement-based materials using mechanical properties, conductivity, mass variation coefficient, and microstructure. Constr. Build. Mater. 2021, 266, 120891. [Google Scholar] [CrossRef]
- Li, Y.; Zhang, J.; He, Y.; Huang, G.; Li, J.; Niu, Z.; Gao, B. A review on durability of basalt fiber reinforced concrete. Compos. Sci. Technol. 2022, 225, 109519. [Google Scholar] [CrossRef]
- Mobili, A.; Giosuè, C.; Bellezze, T.; Revel, G.M.; Tittarelli, F. Gasification Char and Used Foundry Sand as Alternative Fillers to Graphene Nanoplatelets for Electrically Conductive Mortars with and without Virgin/Recycled Carbon Fibres. Appl. Sci. 2021, 11, 50. [Google Scholar] [CrossRef]
- Lu, M.; Xiao, H.; Liu, M.; Feng, J. Carbon fiber surface nano-modification and enhanced mechanical properties of fiber reinforced cementitious composites. Constr. Build. Mater. 2023, 370, 130701. [Google Scholar] [CrossRef]
- Belli, A.; Mobili, A.; Bellezze, T.; Tittarelli, F. Commercial and recycled carbon/steel fibers for fiber-reinforced cement mortars with high electrical conductivity. Cem. Concr. Compos. 2020, 109, 103569. [Google Scholar] [CrossRef]
- Raza, S.S.; Fahad, M.; Ali, B.; Amir, M.T.; Alashker, Y.; Elhag, A.B. Enhancing the Performance of Recycled Aggregate Concrete Using Micro-Carbon Fiber and Secondary Binding Material. Sustainability 2022, 14, 14613. [Google Scholar] [CrossRef]
- Chen, P.W.; Chung, D.D.L. Low-drying-shrinkage concrete containing carbon fibers. Compos. Part B Eng. 1996, 27, 269–274. [Google Scholar] [CrossRef]
- Baeza, F.J.; Galao, O.; Zornoza, E.; Garcés, P. Effect of aspect ratio on strain sensing capacity of carbon fiber reinforced cement composites. Mater. Des. 2013, 51, 1085–1094. [Google Scholar] [CrossRef]
- Mallick, P.K. Fiber-reinforced composites: Materials, manufacturing, and design. In Manufacturing and Design; Marcel Dekker Inc.: New York, NY, USA, 2007. [Google Scholar]
- Alaskar, A.; Albidah, A.; Alqarni, A.S.; Alyousef, R.; Mohammadhosseini, H. Performance evaluation of high-strength concrete reinforced with basalt fibers exposed to elevated temperatures. J. Build. Eng. 2021, 35, 102108. [Google Scholar] [CrossRef]
- Wu, H.; Pan, J.; Wang, J. Molecular dynamics simulation study on dynamic mechanical properties of CSH with diverse Ca/Si ratios. Mater. Today Commun. 2022, 31, 103755. [Google Scholar] [CrossRef]
- Yan, X.; Zheng, D.; Yang, H.; Cui, H.; Monasterio, M.; Lo, Y. Study of optimizing graphene oxide dispersion and properties of the resulting cement mortars. Constr. Build. Mater. 2020, 257, 119477. [Google Scholar] [CrossRef]
- O’Neil, E.F., III; Cummins, T.K.; Durst, B.P.; Kinnebrew, P.G.; Boone, R.N.; Torres, R.X. Development of very-high-strength and high-performance concrete materials for improvement of barriers against blast and projectile penetration. Transform. Sci. Technol. Curr. Future Force 2006, 203–210. [Google Scholar] [CrossRef]
- Liu, B.; Guo, J.; Zhou, J.; Wen, X.; Deng, Z.; Wang, H.; Zhang, X. The mechanical properties and microstructure of carbon fibers reinforced coral concrete. Constr. Build. Mater. 2020, 249, 118771. [Google Scholar] [CrossRef]
- Hamed, N.; El-Feky, M.S.; Kohail, M.; Nasr, E.S.A. Effect of nano-clay de-agglomeration on mechanical properties of concrete. Constr. Build. Mater. 2019, 205, 245–256. [Google Scholar] [CrossRef]
- Mansi, A.; Sor, N.H.; Hilal, N.; Qaidi, S.M. The impact of nano clay on normal and high-performance concrete characteristics: A review. IOP Conf. Ser. Earth Environ. Sci. 2022, 961, 012085. [Google Scholar] [CrossRef]
























| Element | Atomic % |
|---|---|
| Ca | 0.63 |
| O | 58.25 |
| Mg | 6.65 |
| Al | 4.58 |
| Si | 29.23 |
| Au | 0.66 |
| Group | Cement (kg/m3) | Sand (kg/m3) | Water (kg/m3) | sCF (kg/m3) | ANC (kg/m3) |
|---|---|---|---|---|---|
| CTR | 700 | 1170 | 295 | - | - |
| sCF_0.5 | 700 | 1170 | 295 | 3.5 | - |
| sCF_0.75 | 700 | 1170 | 295 | 5.25 | - |
| sCF_1 | 700 | 1170 | 295 | 7 | - |
| sCF-ANC_0.5 | 700 | 1170 | 297 | 3.5 | 3.5 |
| sCF-ANC_0.75 | 700 | 1170 | 298 | 5.25 | 5.25 |
| sCF-ANC_1 | 700 | 1170 | 300 | 7 | 7 |
| ANC_0.5 | 700 | 1170 | 297 | - | 3.5 |
| ANC_0.75 | 700 | 1170 | 298 | - | 5.25 |
| ANC_1 | 700 | 1170 | 300 | - | 7 |
| Element | Atomic % |
|---|---|
| C | 86.69 |
| O | 7.91 |
| Mg | 0.96 |
| Al | 0.66 |
| Si | 2.65 |
| Au | 1.13 |
| Area | Ca (Atomic %) | Si (Atomic %) | Ca/Si Ratio |
|---|---|---|---|
| Cement embedded in sCF (a) | 27.40 | 12.13 | 2.26 |
| Bulk cement matrix (b) | 64.88 | 16.44 | 3.95 |
Disclaimer/Publisher’s Note: The statements, opinions and data contained in all publications are solely those of the individual author(s) and contributor(s) and not of MDPI and/or the editor(s). MDPI and/or the editor(s) disclaim responsibility for any injury to people or property resulting from any ideas, methods, instructions or products referred to in the content. |
© 2023 by the authors. Licensee MDPI, Basel, Switzerland. This article is an open access article distributed under the terms and conditions of the Creative Commons Attribution (CC BY) license (https://creativecommons.org/licenses/by/4.0/).
Share and Cite
Sambucci, M.; Valente, M.; Nouri, S.M.; Chougan, M.; Ghaffar, S.H. Enhanced Compatibility of Secondary Waste Carbon Fibers through Surface Activation via Nanoceramic Coating in Fiber-Reinforced Cement Mortars. Coatings 2023, 13, 1466. https://doi.org/10.3390/coatings13081466
Sambucci M, Valente M, Nouri SM, Chougan M, Ghaffar SH. Enhanced Compatibility of Secondary Waste Carbon Fibers through Surface Activation via Nanoceramic Coating in Fiber-Reinforced Cement Mortars. Coatings. 2023; 13(8):1466. https://doi.org/10.3390/coatings13081466
Chicago/Turabian StyleSambucci, Matteo, Marco Valente, Seyed Mostafa Nouri, Mehdi Chougan, and Seyed Hamidreza Ghaffar. 2023. "Enhanced Compatibility of Secondary Waste Carbon Fibers through Surface Activation via Nanoceramic Coating in Fiber-Reinforced Cement Mortars" Coatings 13, no. 8: 1466. https://doi.org/10.3390/coatings13081466
APA StyleSambucci, M., Valente, M., Nouri, S. M., Chougan, M., & Ghaffar, S. H. (2023). Enhanced Compatibility of Secondary Waste Carbon Fibers through Surface Activation via Nanoceramic Coating in Fiber-Reinforced Cement Mortars. Coatings, 13(8), 1466. https://doi.org/10.3390/coatings13081466

