Abstract
Marble kitchen countertops and other natural stone surfaces are often stained by various food ingredients and contaminants during daily use and require frequent cleaning, which is time-consuming and leads to the wasting of water. If the surface is coated with a hydrophobic and oleophobic coating, food ingredient contamination becomes easier to wipe clean. Therefore, a UV-curable monomer with fluorocarbon branched chains was synthesized and added to UV-curable coatings in different ratios. The preferred formulation that meets the basic performance requirements of UV-curable coatings, and has the best hydrophobic and oleophobic properties, was designed and selected. The formulation was upgraded by adding a hydrofluoric ether (HFE) solvent. These upgraded formulations were tested for hydrophobicity and oleophobicity under various conditions. The addition of an HFE solvent improves the initial water and cetane contact angles of the paint film, as well as the water and cetane contact angles under various conditions. Moreover, the upgraded formulations have better stain resistance. The degree of hydrophobicity and oleophobicity improvement is positively correlated with the addition of an HFE solvent. The UV-curable fluorocarbon polyurethane coating has good adhesion on a marble surface that has been polished and primed. Due to the presence of TEOH-6 instead of PFOA, the low content of fluorocarbon functional groups effectively located on the film surface makes the coating quite stable and safe.
1. Introduction
Hydrophobic and oleophobic coatings have a wide range of promising applications for anti-pollution and surface protection purposes [1,2,3,4]. For example, non-stick pans relieve people from worrying about grilling meat [5]. Snow-white sneakers stay white after being stepped into mud [6]. Stains on shower glasses can be easily washed away with water [7]. All of these are due to a substrate surface with hydrophobic and oleophobic coatings [8,9,10,11,12,13,14]. With their unique chemical structure and properties, fluorocarbon coatings, specifically, show potential advantages for use in hydrophobic and oleophobic coatings.
The cleaning of marble kitchen countertops and other natural stone surfaces at home consumes a lot of energy, water, and detergent, as well as wasting time and increasing environmental pollution [15,16,17,18,19]. If the marble countertop or natural stone surface has a layer of anti-stain coating, they become easier to wipe clean, which can greatly reduce the frequency of cleaning and the discharge of sewage and contribute to environmental protection [20,21,22,23,24,25,26,27]. These coatings need to be hard-wearing, transparent and high-gloss, hydrophobic and oleophobic, and stain-resistant [28,29,30,31,32,33]. UV-curable coatings are often applied on marble or ceramic surfaces, using UV light as the coating curing energy, which is mainly composed of oligomeric resins, photoinitiators, reactive diluents, etc. These coatings dry rapidly and are hard and scratch resistant, as well as water and chemical resistant [34,35,36,37,38,39,40]. If fluorocarbon side chains are utilized in the UV-curable coating, the coating film can achieve a hydrophobic and oleophobic anti-staining effect [41,42,43,44,45,46,47,48]. Some coatings, like 2K PU coatings and silicone stone protectors, were applied on marble countertops, but few were coated with stain-resistant coatings. Few applications of such coatings on marble countertops have been addressed [49]. The research and development of stain-resistant UV-curable coatings for marble kitchen countertops have a good market prospect, making this a meaningful study that can bring convenience to life [50,51,52].
Field [53] used fluorinated diols and glycidol to obtain oligomers with hydroxyl groups and then capped them with acryloyl chloride to obtain acrylates containing fluorocarbon chain segments to participate in the UV-curable reaction. Gianni [54] made oligomers for UV-curable coatings by using perfluoropolyether diol (ZDOL1000), IPDI, and hydroxyethyl methacrylate in a specific molar ratio. Dong [55] prepared three hydroxyl monomers with different fluorine structures based on click chemistry using the RAFT polymerization reaction. The hydroxyl polydimethylsiloxane (HPDMS) reacted with isophorone diisocyanate (IPDI) to produce a series of new light-curable grafted fluorosilicone resins, with polydimethylsiloxane as the main chain and fluorine and acrylic acid double bonds as side groups. The two types of resin were compounded with commercially available acrylic polyurethane DR-U356 to produce light-curable low-surface energy coatings. Zhang [56] prepared a series of acrylate (HFPO-PETA) monomers with different fluorinated chain segments by acylation using pentaerythritol triacrylate (PETA) and hexafluoropropylene oxide zwitterion (HFPO oligomer) as monomers. The polyester acrylates were used as oligomers. The synthesized fluorinated acrylates were used as modified monomers, and appropriate photoinitiators were selected to prepare UV-curable fluorinated coatings. Li [57] synthesized a new waterborne UV-curable fluorinated polyurethane resin by condensation polymerization using isophorone diisocyanate (IPDI), polytetramethylene ether glycol (PTMG-1000), 2,2-dihydroxymethylpropionic acid (DMPA), homemade fluorinated diols, and pentaerythritol triacrylate (PETA) as raw materials.
However, some shortcomings and drawbacks remained for the related coatings. The fluorocarbon chain segment was on the main chain instead of the side chain, and its hydrophobic and oleophobic properties are not outstanding. Some polymerization reactions were complex and had low production efficiency, making them not suitable for large-scale production [53,54,55,56,57]. In this work, the UV-curable fluorocarbon polyurethane coating was designed and prepared carefully. Perfluorohexyl ethyl alcohol (TEOH-6) has hydrophobic and oleophobic fluorocarbon chains, which are linked to hydroxyethyl acrylate by HDI (Hexamethylene Diisocyanate) bridging to become a small-molecule light-curable monomer that can participate in the UV-curable reaction. The addition ratio of the monomer was adjusted to the UV-curable coating formulations to meet the basic properties of hardness, adhesion, water resistance, and gloss. Then, the selected formulation was added with a hydrofluoro ether solvent to upgrade the hydrophobic and oleophobic properties. SEM images of the coating films were observed. Water and cetane contact angles were tested under various environmental conditions. The stain resistance of the UV-curable fluorocarbon polyurethane coating was actually tested by commonly used kitchen stains. From the above, the hydrophobic and oleophobic properties of the upgraded UV-curable fluorocarbon polyurethane coating film were comprehensively evaluated.
2. Experimental Sections
2.1. Materials
The UV-curable monomer, hexamethylene diisocyanate (HDI, Industrial grade 99%), was purchased from Yantai Wanhua. Perfluorohexyl ethyl alcohol (TEOH-6, Industrial grade 99%) was purchased from Tianhe Chemical. Dibutyltin dilaurate (DBTDL, Industrial grade 99%), xylenes (XYL, Analytical pure 99.7%), dibutylamine (DNBA, Analytical pure 99.8%), hydroxyethyl acrylate (HEA, Analytical pure 99.7%), and hydroquinone (HQ, Analytical pure 99.8%) were purchased from Sinopharm Chemical Reagent. Trifunctional monomer diluent (TMPTA, Industrial grade 98%) was purchased from Allnex resin. Decafunctional oligomer (UT53956, Industrial grade 98%) was purchased from Runao Chemical. The leveling agent (Tego 2100, Industrial grade 99%) was purchased from Evonik. Initiators (Irgacure 184 and Irgacure TPO, Industrial grade 99%) were purchased from IGM Company. The Hydrofluoric Ether Solvent (HFE 72DA, Industrial grade 99%) was obtained from 3M. All materials were used without further purification.
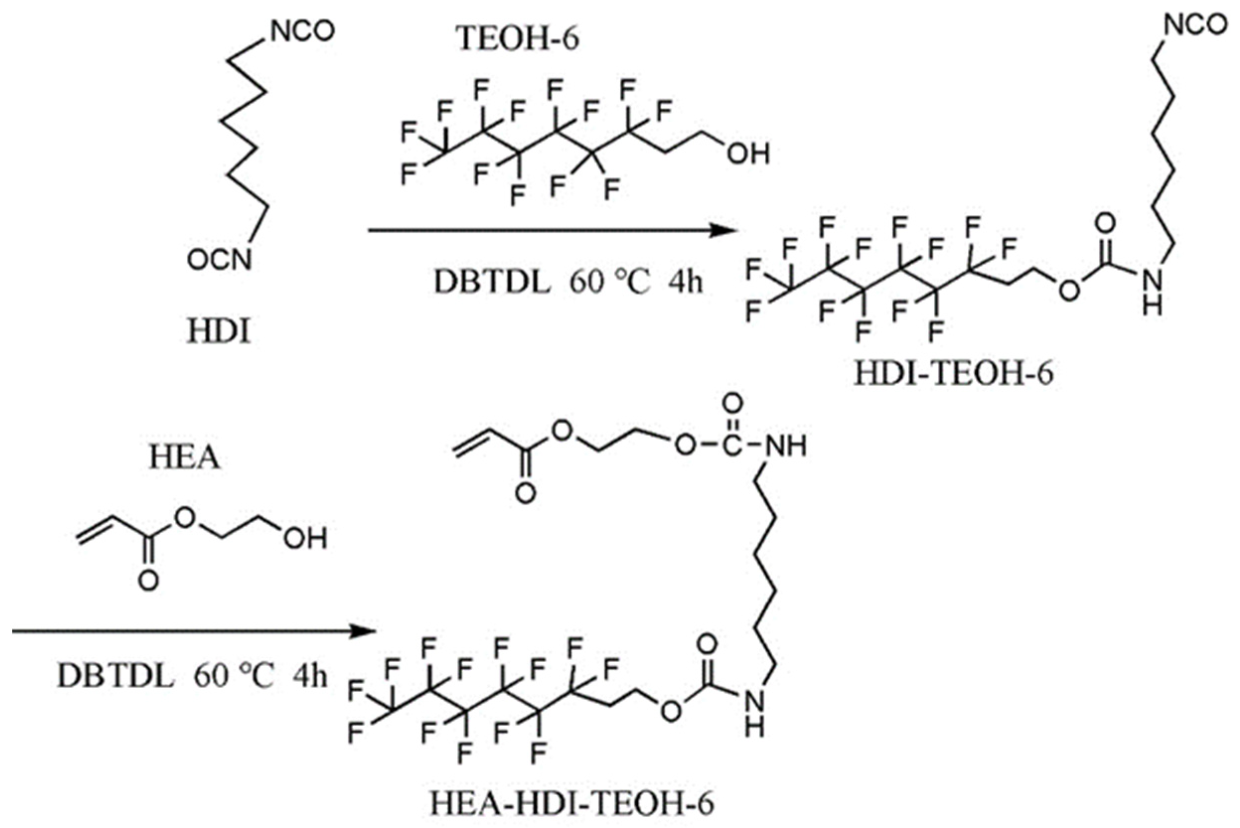
2.2. Synthesis of HEA-HDI-TEOH-6
A four-port flask with stirring bar, thermometer, constant pressure burette and reflux condenser was placed in an electrically heated oil bath with 350 cps viscosity dimethyl silicone oil. Then, 1 mol of hexamethylene diisocyanate (HDI) was added, and nitrogen gas was passed in while stirring was started. The temperature was increased to 60 °C, 0.1 g of dibutyltin dilaurate (DBTDL) was added, followed by constant-pressure titration of 1 mol of perfluorohexyl TEOH-6 at constant pressure, during which XYL was added to reduce the viscosity and promote the reaction to proceed fully. The reaction was maintained for 4 h and then fluorocarbon-branched monoisocyanate (HDI-TEOH-6) was obtained [58].
The temperature was kept at 60 °C, stirring and nitrogen gas were continued. A total of 0.1 g of DBTDL and 1 mol of HEA were added at constant-pressure titration. An appropriate amount of XYL was added to reduce the viscosity. The reaction was maintained for 4 h, and the process was measured using the dibutylamine method. When the NCO content was 0, the flask was lowered to room temperature and 0.05 g of HQ was added and stirred for 30 min. Then, the stirring and nitrogen gas were stopped to obtain 38%–42% solid fluorocarbon branched UV-curable monomer (HEA-HDI-TEOH-6); the remaining 58%–62% is XYL solvent. The specific reaction steps are shown in Figure 1.
Figure 1.
Synthesis of HEA-HDI-TEOH-6.
TEOH-6 was added to HDI titrimetrically at constant pressure, and from the reaction kinetics, a small amount of TEOH-6-HDI-TEOH-6 was present during the synthesis of HDI-TEOH-6, especially late in the reaction when the HDI concentration decreased, which was not able to react with HEA in next reaction step. When the UV-cured fluorocarbon polyurethane coatings were subjected to UV irradiation, a small amount of TEOH-6-HDI-TEOH-6 still existed in the paint film, which did not affect the coating film performance and fluorocarbon chain content, and did not affect the hydrophobic and oleophobic properties of the film.
2.3. Preparation of Light-Curable Fluorocarbon Polyurethane Coatings
UV-curable coatings also require the addition of other components. Decafunctional oligomers are necessary and the trifunctional monomer TMPTA is added as an active viscosity reducer to both increase the crosslink density and reduce the viscosity of the coating. Tego 2100 was added to increase the wetting and leveling properties. In order to verify the optimal addition of fluorocarbon-branched chain UV-curable monomer, five starting formulations were made according to the fluorocarbon-branched chain photocurable monomer addition amounts [59], which are shown in Table 1.
Table 1.
Starting formulations F1–F5 of UV-curable fluorocarbon polyurethane coatings (unit: g).
Hardness, adhesion, boiling water resistance and 60° gloss of the five starting formulations of UV-curable coatings were tested. As a kitchen marble countertop UV-curing coating, the hardness of the coating film needs to be greater than 2H, and the gloss is higher than 90° [60]. F1 and F2 did not meet the basic properties of UV-curable coatings for marble countertops and were eliminated. The surface fluorine contents of F3, F4 and F5 were measured by XPS, and the contact angles of water and cetane were tested by a contact angle tester. F3 has the best hydrophobic and oleophobic performance. Hydrofluoric ether Novec HFE72DA solvent from 3M was used to replace some butyl acetate of F3 in different proportions to obtain four upgraded formulations F6–F9, as shown in Table 2.
Table 2.
Upgraded formulations F3 and F6–F9 of UV-curable fluorocarbon polyurethane coatings (unit: g).
HFE solvent can bring more fluorocarbon side chains to the surface of the coating film during the volatilization process, which increases the fluorine content on the surface of the coating film and leads to the improvement of hydrophobic and oleophobic properties of the coating film. Figure 2 indicates that HFE solvent helps more fluorocarbon side chains in F6 to migrate to the surface of the coating film than in F3.
Figure 2.
Diagram of coatings film (a) F3 before solvent evaporation, (b) F6 before solvent evaporation, (c) F3 after solvent evaporation, and (d) F6 after solvent evaporation.
2.4. Preparation of UV-Curable Fluorocarbon Polyurethane Coating Film
Preparation of UV-curable fluorocarbon polyurethane coating film for performance test is as follows. The coating films were made by a 25 μm wire rod film preparer, scraping wet film on a 7.5 cm × 15 cm marble plate and a 15 cm × 15 cm glass plate, respectively. After the marble slab was placed horizontally for 1 h, the film was fully leveled and the hydrocarbon solvent was completely evaporated. Then, the film was irradiated with a portable 1000 W UV curing machine for 10 s to obtain a fully cured film as indicated in Figure 3.
Figure 3.
Preparation step of UV-curable fluorocarbon polyurethane coating film.
The radiation intensity on the surface of the paint film was tested by using KUHNAST® UV-INTEGRATOR 150 instrument (The Kuhnast radiation GmbH, Wachter Bach, Germany). UV radiation intensity was 4.5 mW/cm2, radiation time was 2 s and radiation energy was 9 mJ/cm2.
2.5. Characterization
2.5.1. Fourier Transform Infrared Spectroscopy (FT−IR)
The FT−IR spectra of HDI-TEOH-6 and HEA-HDI-TEOH-6 were measured by KBr press method at room temperature in the spectral range of 500–4000 cm−1 using a Thermo Scientific Nicolet iS5 FT−IR spectrometer (Thermo Fisher Scientific Inc., Waltham, MA, USA) and analyzed by comparison with the commonly used chemically bonded infrared absorption standard spectra.
The FT−IR spectra of the final coating film were measured by the same method to determine the finish of the UV-coating curing.
2.5.2. Nuclear Magnetic Resonance (NMR)
1H NMR spectra of HDI-TEOH-6 and HEA-HDI-TEOH-6 were subjected to NMR analysis at room temperature using deuterated chloroform (CDCl3) as the solvent and by a Brucker 400 M NMR instrument (Bruker Corporation, Billerica, MA, USA).
2.5.3. X-ray Photoelectron Spectroscopy (XPS)
XPS testing can provide a comparative analysis of the various elemental compositions of the coating film surface, which helps to explain the hydrophobic and oleophobic properties of the coating film. XPS tests were conducted on the three formulations of F3, F4 and F5. An instrument model ESCALAB 250Xi (Thermo Fisher Scientific Inc., Waltham, MA, USA) with energy resolution of 0.6 eV and a monochromatic double-anode photoelectron spectrometer from Thermo Scientific was used to analyze the surface fluorine content of the UV-curable fluorocarbon polyurethane coating films of formulations F3, F4, and F5.
2.5.4. Scanning Electron Microscope (SEM)
Coating film surfaces with more micro and nano structures tend to have better hydrophobic and oleophobic properties. The addition of HFE solvent causes changes in the microscopic morphology of the coating film surface. A Gemini SEM300 scanning electron microscope (Carl Zeiss, Jena, Germany), with a magnification of 5 µm was used to take pictures of the microscopic morphology of the formulation F3 and F6–F9 coating films.
2.5.5. Coating Film Basic Performance
Coating film hardness is one of the important properties indicating the mechanical strength of the coating film, and its physical meaning can be understood as the resistance shown by the surface of the coating film to another object of greater hardness acting on it. UV-curable paint is a kind of paint with good hardness. This experiment refers to GB/T 6739-2006 [61] using a car-type pencil hardness tester (BiaoGeDa Precision Instrument Co., Guangzhou, China) to test the hardness of five starting formulations of UV-curable coating films.
Coating film adhesion refers to the ability of mutual bonding between the coating film and the substrate, and is a prerequisite for the coating film to have a series of properties. This experiment refers to GB/T 1720-1989 [62] using the scratch method for five starting formulations of UV-curable coating film adhesion test.
The boiling water resistance of the coating film refers to the ability of the coating film to resist boiling water. This experiment refers to GB/T 1733-1993 [63] coating film boiling water resistance determination method for the five starting formulations of UV-curable coatings after curing the coating film. The films were immersed in boiling water for 24 h, then removed the water by filter paper and observed the surface changes in the coating film, whether there is blistering, flaking or whitening and so on.
The luster of the coating film is the ability to reflect light in a certain direction, the greater the amount of light reflected, the higher the luster of the film. This experiment refers to GB/T 9754-2007 [64] using 60° light as the incident light to measure the gloss of the five starting formulations of UV-curable coating film.
2.5.6. Contact Angle Test
In addition to meeting the basic performance of marble countertop coatings, the starting formulations of UV-curable coatings need to be selected from the best hydrophobic and oleophobic performance for further research. Contact angle is the most intuitive test to measure the hydrophobic and oleophobic properties of solid surfaces. The test liquid can be water or other liquids, in order to target the study of hydrophobicity and oleophobicity of coating film, water and cetane are chosen as the test liquid to evaluate the hydrophobicity and oleophobicity of coating film. The initial contact angles of water and cetane were measured using a fully automatic water droplet angle tester, model ASR705SB (Guangdong Aisry Instrument Technology Co., Dongguan, China).
In the actual use environment, the UV-curable fluorocarbon polyurethane coating film does not always keep the initial state; housewives often wipe the countertop with a rag and sometimes they clean the countertop with acidic cleaners. Moreover, vinegar and other ingredients may often drip on the countertop. Therefore, we need to verify the degree of hydrophobic and oleophobic performance of the coating film after it has been used for a period of time. We need to test the water and cetane contact angles of the coating film after the abrasion of the pacifier, after the immersion of acidic substances and after the immersion of alkaline substances.
ASR339 Reciprocator Abrasion Tester (Guangdong Aisry Instrument Technology Co., Dongguan, China) was used to simulate the wear and tear on the surface of the coating film by applying pressure with a 500 g weight on a 3M Pasteurized cloth, wiping it back and forth on the film surface 5000 times. Then, the water and cetane contact angles were measured on the coating film surface by using the aforementioned contact angle tester. For acid resistance test, the sample of UV-curable fluorocarbon polyurethane coating film was sealed by paraffin, soaked in 5% hydrochloric acid solution for 24 h and then tested for the water and cetane contact angles of the film. In the same way, the coating film is sealed and soaked with 5% sodium hydroxide solution for 24 h and then tested for the contact angles of water and cetane.
The sliding angle is an important way to characterize the wettability of a particular surface. Using Sliding Angle Tester SDC-350 (Hill Instrument Technology Co., Dongguan, China), the sliding angle was tested when the tilt rate was 30°/min.
2.5.7. Stain Resistance Test
The stain resistance is another perspective to value the hydrophobic and oleophobic properties of the coating film. The specific test method is to use coffee, ketchup, soy sauce and chili oil to drop on the surface of the coating film, kept for 24 h, then wiped off with a dry cloth. Compared to the diffusion and penetration in the films, the smaller trace means better hydrophobic and oleophobic performance of the coating film.
2.5.8. TGA Test
Thermogravimetric analysis (TGA). The thermal weight loss of coating film was obtained by a synchronous thermal analyzer STA 449C-Q600 (NETZSCH GmbH, Selb, Germany). The heating range was from room temperature to 600 °C, and the heating rate was 10 °C/min. The samples of the coating film of formulation F3 were tested under nitrogen conditions.
2.5.9. DSC Test
Differential Scanning Calorimetry. A technique for measuring the temperature dependence of the energy difference between a substance and a reference at a programmed controlled temperature. The glass transition temperature of the coating film can be found by using PerkinElmer DSC4000 (PerkinElmer company, Waltham, MA, USA).
3. Results and Discussion
3.1. Synthesis of HDI-TEOH-6 and HEA-HDI-TEOH-6
The FT−IR spectrum of HDI-TEOH-6 is shown in Figure 4a. It can be seen that the absorption peak of the stretching vibration of C=O in carbamate appears at 1719 cm−1, the absorption peak of amide in -NH-CO- appears at 1532 cm−1, and the peak of N-H stretching vibration in carbamate is at 3324 cm−1. The above indicate the presence of carbamate-NH-CO-O- in the product. The absorption peak at 2273 cm−1 is the symmetric stretching vibration absorption peak of -NCO, indicating the presence of the -NCO functional group. The absorption peak at 1400–1000 cm−1 is a fluorocarbon bond characteristic absorption peak [65], indicating the presence of fluorocarbon functional groups in the monomer.
Figure 4.
FT−IR spectra of (a) A HDI-TEOH-6 and B HEA-HDI-TEOH-6 and (b) FT−IR zoom spectra of (a) A HDI-TEOH-6 and B HEA-HDI-TEOH-6.
As shown in Figure 4b, the addition of hydroxyethyl acrylate HEA introduces a C=C double bond and ester group, and it can be seen on the IR diagram that the characteristic peak at 1265 cm−1 is the stretching vibration of the ester group CO-O-C, and there is a C=C absorption peak at 1630–1640 cm−1, which confirms the presence of a carbon–carbon double bond in the product. The absorption peak at 2273 cm−1 disappeared, indicating the absence of a -NCO functional group [66].
It can be seen from Figure 4b that the peak at 1140 cm−1 should be assigned to the C–F absorption.
As shown in Figure 5A, the structure of HDI-TEOH-6 was further characterized by 1H NMR spectroscopy. The following chemical shifts were detectable at 2.39–2.55 ppm (a peak), 4.38 ppm (b peak), 3.20 ppm (c peak), 1.52 ppm (d peak), and 1.35 ppm (e peak).
Figure 5.
1H NMR spectra of (A) HDI-TEOH-6 and (B) HEA-HDI-TEOH-6.
As shown in Figure 5B, the structure of HEA-HDI-TEOH-6 was further characterized by 1H NMR spectroscopy. 1H NMR spectrum of HEA-HDI-TEOH-6 showed new peaks: 4.81 ppm (f-peak), 5.88 ppm (i-peak) 6.19 ppm (g-peak), and 6.44 ppm (h-peak) could be detected. It indicates that HEA-HDI-TEOH-6 was successfully synthesized [67].
As noted, the peaks found at 1.65 ppm and 3.65 ppm are from the solvent DMF, which do not affect the judgement of the structure of the UV-cured monomer.
3.2. Basic Performance of Coating Films
Before testing the basic performance of coating films, we must make sure that the coating film is well cured by UV light. The FT−IR spectra of the final coating film could help us to determine the finish of the UV-coating curing.
Analysis of the IR absorption peaks in Figure 6 shows that the C=C absorption peak of 1630–1640 cm−1 in HEA-HDI-TEOH-6 disappears completely, confirming the involvement of the carbon–carbon double bond in the paint film in the UV radical addition reaction. This is due to the use of both Irgacure TPO and Irgacure 184 initiators in the formulation of the UV-cured coatings, which both absorb well in the UV wavelength range of 246 nm to 365 nm, taking into account both the surface curing and deep curing of the paint film.
Figure 6.
FT−IR spectra of F3 film.
UV-curable coatings need to meet basic properties of the coating film, especially for kitchen marble countertops application, including hardness, adhesion, boiling water resistance and gloss. The five starting formulations of UV-curable coating basic performance test results are shown in Table 3.
Table 3.
Basic performance test of UV-curable coating starting formulations F1–F5.
From Table 3, it can be seen that in the case of ensuring the same number of oligomers of UV-curable coatings, adding more monofunctional fluorocarbon branched-chain UV-curable monomers will reduce the trifunctional reactive diluent trimethylolpropane triacrylate accordingly, so the cross-link density of the coating film will decrease and the fluorine content of the coating film will increase [68]. On the other hand, fluorocarbon chains in branched UV-curable monomers tend to migrate to the air interface of the coating film, which also affects the gloss of the coating film. Therefore, the more HEA-HDI-TEOH-6 that is added, the worse the basic performance of the coating film will be [69]. From the actual test, with the increase in HEA-HDI-TEOH-6 addition, the hardness of the coating film will gradually become lower, the gloss will also gradually decline, the resistance to boiling water will also be reduced, and only the adhesion remains basically unchanged.
Back to kitchen marble countertop UV-curable coating film, hardness needs to be above 2H, adhesion above zero class, gloss above 90°, and boiling water resistance without any whitening. Therefore, the hardness and gloss of F1 and formula F2 are not good. In addition, formula F1’s boiling water resistance is also not good and there is a whitening phenomenon after a long time of boiling water immersion [70]. The hardness, adhesion, water resistance and gloss of formulations F3, F4 and F5 can meet the basic performance requirements of the film, and more hydrophobic and oleophobic tests can be conducted.
According to thermogravimetric analysis (TGA) (Figure 7), the onset thermal decomposition temperature (Tonset) of the F3 film was 275 °C, indicating that the final coating film presented good thermal stability.
Figure 7.
TGA curve of F3 film.
According to Differential Scanning Calorimetry (DSC) (Figure 8), the glass transition temperature of the paint film could be judged at 95 °C.
Figure 8.
DSC curve of F3 film.
3.3. The Structure and Morphologies of the Coating Films
In order to select the formulation with better hydrophobic and oleophobic performance from the formulations F3, F4 and F5 that meet the basic performance requirements of the UV-curable coating for marble countertops, it is necessary to conduct XPS tests on the surface fluorine content of these three formulations, and the results are shown in Figure 9.
Figure 9.
Fluorine content tested by XPS (a) formulation F3; (b) formulation F4; and (c) formulation F5.
Since all formulations have the same total weight and the same elements, the F integrated area can be considered as a result of the relative content of F in the different formulations. From the figure, we can see that the integral area under the XPS curve of formulation F3 (integral area 363,027.045) is larger than that of formulations F4 (integral area 320,735.49) and F5 (integral area 263,787.62), so it can be concluded that formulation F3 has a higher surface-fluorine content than F4 and F5, which also means that formulation F3 has better hydrophobic and oleophobic properties than F4 and F5 [71]. But it is necessary to further verify that formulation F3 has better hydrophobic and oleophobic properties by using the contact angles of water and cetane on the surface of the coating film [72].
In general, the fluorine content on the surface of the coating film is positively correlated with the contact angles of water and cetane on the coating film, but this inference is not always correct. When there are more fluorocarbon chains in the main chain and no fluorocarbon chains in the side chains, the fluorine content on the surface of the film may be higher, but the water and cetane contact angles on the surface of the film are not large [73]. Therefore, in addition to testing the fluorine content of the film by XPS, it is necessary to further test the contact angles of water and cetane on the surface of the film to visually verify the hydrophobicity and oleophobicity of the film. The contact angles of water and cetane on formulation F3, F4 and F5 coating films were measured separately and the results are shown in Figure 10.
Figure 10.
Initial contact angles of (a) F3, (b) F4 and (c) F5; cetane contact angles of (d) F3, (e) F4 and (f) F5.
The comparison of the contact angles of water and cetane in the UV-curable fluorocarbon polyurethane coating is F3 > F4 > F5, and the addition of HEA-HDI-TEOH-6 in the formulation is F3 > F4 > F5, which illustrates the positive correlation between the amount of fluorocarbon side chains and hydrophobicity and oleophobicity in the same formulation [74].
After selecting the preferred formulation F3 that meets the basic properties of UV-curable coatings for marble countertops and has better surface hydrophobicity and oleophobicity of the coating film, upgraded formulations such as F6–F9 were obtained by adding different proportions of 3M Novec 72DA hydrofluoroether solvent. The effect of adding and not adding HFE solvent on the hydrophobic and oleophobic performance of the coating film was measured by the contact angles of water and cetane, and the degree of effect of different HFE solvent additions on the hydrophobic and oleophobic performance of the coating film could also be verified, and the test results are shown in Figure 11.
Figure 11.
Initial contact angles of (a) F3, (b) F6, (c) F7, (d) F8 and (e) F9; cetane contact angles of (f) F3, (g) F6, (h) F7 (i) F8 and (j) F9.
It can be seen that all the five formulations have good hydrophobic and oleophobic performance, and with the increase in the proportion of HFE solvent in the formulation, the order of the contact angles of water and cetane are F3 < F6 < F7 < F8 < F9. This visually verifies that the addition of the HFE solvent has improved the hydrophobicity and oleophobicity of the coating film, and the degree of improvement is positively correlated with the proportion of HFE solvent added. This is due to the fact that the HFE solvent brings out more fluorocarbon branched chains from the interior of the coating film to the surface of the coating film during the evaporation and drying process, so the surface fluorine content increases and has better hydrophobic and oleophobic properties [75].
The study of hydrophobic and oleophobic surfaces or self-cleaning surfaces for applications must take into account the movement of droplets under the action of small forces, so dynamic wettability, the study of the phenomenon of hysteresis of the contact angle becomes very important. Comparing the hysteresis angles or receding angles alone is not meaningful, and only comparing the sliding angles of the difference between the two is an important way to characterize the wettability of a particular surface. From Table 4, it can be seen that all five formulations have small water and cetane sliding angles and the sliding angles become progressively smaller with the increase in HFE addition in the formulations, showing better hydrophobic and oleophobic properties.
Table 4.
The initial sliding angles of F3, F6, F7, F8, F9.
The factors affecting the surface hydrophobic and oleophobic properties of coating films include two aspects; the first is the low surface-energy substances, including fluorine, silicone and straight chain aliphatic hydrocarbons, and the second is the surface micro-nano structure, as the surface wetting state revealed by the Cassie–Baxter model. Therefore, scanning electron microscopy (SEM) can be used to see the surface morphology of the coating film clearly, which is useful for understanding and identifying the surface of the coating film with better hydrophobic and oleophobic properties [76]. The SEM images of the preferred formulation F3 and upgraded formulations F6–F9 are shown in Figure 10.
From Figure 12, it could be found that as the amount of HFE added to the formulation increases, the SEM photos of the coating film show a gradual increase in texture, which seems to have a better microscopic roughness. This may be one of the reasons why the coating film is more hydrophobic and oleophobic.
Figure 12.
SEM photographs of coating film (a) F3, (b) F6, (c) F7, (d) F8 and (e) F9.
Because more hydrofluoro ether solvent is added to the formula, more fluorocarbon chains will be able to migrate to the surface during the evaporation process, resulting in a lower gloss coating film. Therefore, the gloss of the coating film can be quantitatively analyzed to determine the microscopic roughness of the surface of the coating film. From Table 5, we find that the coating film of F9 has less gloss and better surface roughness.
Table 5.
Coating film gloss and surface roughness correlation.
3.4. Hydrophobic and Oleophobic Properties of Coating Film after Abrasion with Pasteur Cloth
The water and cetane contact angles of the coating film after 5000 times of reciprocal wiping with the Pasteur cloth on the surface of the coating film under certain pressure are shown in Figure 13.
Figure 13.
Contact angles after abrasion of (a) F3, (b) F6, (c) F7, (d) F8 and (e) F9; cetane contact angles of (f) F3, (g) F6, (h) F7, (i) F8 and (j) F9.
The contact angles of water and cetane of five formulations decreased significantly, indicating that physical friction has a great impact on the hydrophobic and oleophobic performance of the coating-film surface. The reason for this is that the emery contained in the Pasteur cloth has an abrasive effect on the surface of the coating film, and the fluorocarbon chains on the surface of the coating film are removed by grinding in repeated rubbing, thus affecting the contact angles.
Compared with the initial contact angle, the decline of the water contact angle of the same film is greater than the decline of the cetane contact angle for the same coating film. The initial water contact angle is about twice that of the cetane contact angle, so the absolute value of the water contact angle drop is greater. On the other hand, it shows that the effect of abrasion on the hydrophobicity of the coating film is greater than that of oleophobicity [77].
Compared with the initial contact angle, the more HFE solvent that was added, the less the change in the contact angle was affected by the abrasion for different coating films. This is because the addition of more HFE solvent makes more hydrophobic and oleophobic fluorocarbon chains move to the surface of the coating film when evaporating, and the surface friction coefficient of the coating film is lower, which can better resist physical friction [78]. The same conclusion can be drawn from the analysis of the change in the cetane contact angle of the coating film. The more HFE solvent is added, the less it is affected by physical friction and the less the cetane contact angle decreases.
3.5. Hydrophobic and Oleophobic Properties of Coating Film after Acid and Alkaline Immersion
As shown in Figure 14, the water and cetane contact angles of the coating film were tested after soaking the UV-curable fluorocarbon polyurethane coating film in 5% hydrochloric acid solution for 24 h.
Figure 14.
Contact angles after acid immersion of (a) F3, (b) F6, (c) F7, (d) F8 and (e) F9; Cetane contact angles of (f) F3, (g) F6, (h) F7, (i) F8 and (j) F9.
The water and cetane contact angles of both five formulations decreased, indicating that the acidic substances had an impact on the hydrophobic and oleophobic properties of the coating-film surface. The reason for this is that the accelerated hydrolysis of acrylate bonds in the UV-curable coatings under acidic conditions caused a certain degree of degradation of the coating film, which affected the hydrophobic and oleophobic properties of the coating film [79].
Compared with the initial contact angle, the decline in the water contact angle of the same film is greater than the decline in the cetane contact angle for the same coating film. The initial water contact angle is about twice that of the cetane contact angle, so the absolute value of the water contact angle drop is greater. On the other hand, it means that the acidic immersion is more damaging to the hydrophobicity of the coating film, which makes the water contact angle decrease more.
Compared with the initial contact angle, the more HFE solvent is added, the less the change in the contact angle was affected by acid immersion for different coating films. This is because the addition of more HFE solvent makes more hydrophobic and oleophobic fluorocarbon chains move to the surface of the coating film when evaporating, which can better resist the influence of acidic substances. The same conclusion can be drawn from the analysis of the change in the cetane contact angle of the coating film. The more HFE solvent is added, the less the cetane contact angle of the coating film is affected by the acid and the less the cetane contact angle decreases.
Compared with the initial contact angle, the decrease in water and cetane contact angle of the same film after 24 h of acidic immersion is smaller than the decrease in water and cetane contact angles after 5000 times of cloth abrasion, which means that the effect of abrasion is more than the effect of acidic immersion on hydrophobic and oleophobic properties of the film [80].
As shown in Figure 15, the water and cetane contact angles of the coating film were tested after soaking the UV-curable fluorocarbon polyurethane coating film in 5% sodium hydroxide solution for 24 h.
Figure 15.
Contact angles after alkaline immersion of (a) F3, (b) F6, (c) F7, (d) F8 and (e) F9; cetane contact angles of (f) F3, (g) F6, (h) F7, (i) F8 and (j) F9.
The water and cetane contact angles of five formulations decreased, indicating that alkaline substances had an effect on the hydrophobic and oleophobic properties of the coating film surface. The reason for this is that the accelerated hydrolysis of acrylate bonds in the UV-curable coatings under alkaline conditions caused a certain degree of degradation of the coating film, which affected the hydrophobic and oleophobic properties of the coating film, but the hydrolysis under alkaline conditions was somewhat milder than that under acidic conditions.
Compared the initial contact angle, the decrease in the water contact angle is greater than the decrease in the cetane contact angle for the same coating film. The initial water contact angle is about twice as large as the cetane contact angle, so the absolute value of the water contact angle drop is larger. On the other hand, it means that the alkaline immersion is more destructive to the hydrophobicity of the coating film, which makes the water contact angle decrease more.
Compared with the initial contact angle, the more HFE solvent that is added to the film, the less the change of the contact angle was affected by acid immersion for different coating films. This is because the addition of more HFE solvent makes more hydrophobic and oleophobic fluorocarbon chains move to the surface of the coating film when evaporating, which can better resist the influence of alkaline substances. The same conclusion can be drawn from the analysis of the decrease in the cetane contact angle of the coating film. The more the HFE solvent is added to the coating film, the less the cetane contact angle is affected by alkaline substances, and the less the cetane contact angle decreases.
In comparison with the initial contact angle, the decrease in water and cetane contact angles of the same film after 24 h of alkaline immersion was less than that after 24 h of acid immersion, and even less than that after 5000 times of abrasion with a cloth, indicating that the effect of abrasion with a cloth on the hydrophobic and oleophobic properties of the coating film is greater than that of acid immersion and even greater than that of alkaline immersion [81].
3.6. Stain Resistance of UV-Curable Fluorocarbon Polyurethane Coating Film
As shown in Figure 16, four kitchen stains were poured onto coating films, and coffee was on the upper left corner, soy sauce was on the upper right corner, ketchup was on the lower left corner, and chili oil was on the lower right corner. From the graph, we can see that most of the four kitchen stains can be wiped away from the five coating films after 24 h of retention. With the addition of hydrofluoro ether, the residual stains on the coating films became less. We can conclude that the stain resistance of the five formulations was F9 > F8 > F7 > F6 > F3.
Figure 16.
Stain resistance comparison (a) F3 before wiping; (a′) F3 after wiping; (b) F6 before wiping; (b′) F6 after wiping; (c) F7 before wiping; (c′) F7 after wiping; (d) F8 before wiping; (d′) F8 after wiping; (e) F9 before wiping; and (e′) F9 after wiping.
All five formulations had good stain resistance for the water-based stains comparing the residual stains on the same coating film. Coffee was more difficult to wipe off the coating films than ketchup and soy sauce. For the oil-based stain chili oil, formulations F3, F6, F7, and F8 all had a little trace left, although the stain trace gradually decreased, while formulation F9 had no trace of chili oil at all, which best met the requirement of stain resistance performance [82,83,84,85].
4. Summary
UV-curable fluorocarbon polyurethane coating has advantages, like dense coating film, high gloss and high hardness. It also has better hydrophobic and oleophobic properties, which means it is an ideal coating for kitchen marble countertops. The fluorocarbon-branched UV-curable monomer (HEA-HDI-TEOH-6) was obtained by reacting perfluorohexyl ethyl alcohol (TEOH-6) with equimolar hexamethylene diisocyanate (HDI), then with hydroxyethyl acrylate (HEA). The monomer was added to the UV-curable coatings in different proportions. Furthermore, different proportions of HFE solvent were added to the selected formulation for further evaluation of the hydrophobic and oleophobic properties by SEM and contact angles of water and cetane of the coating film on initial status and other statuses like pasteurized cloth abrasion, acidic immersion, and alkaline immersion. Stain resistance of the coating film was also tested by using several stains commonly used in kitchens. The UV-curable coating film with more HFE solvent added had a rougher surface, bigger contact angles of water and cetane, and better stain resistance.
Compared with ordinary UV coatings and silicone stone protectors, UV-curing fluorocarbon polyurethane coatings have excellent hydrophobic, oleophobic and easy-cleaning properties due to the fluorocarbon material on the surface, in addition to excellent wear resistance and chemical resistance. The degree of improvement of these properties increases with the amount of the fluorocarbon material on the surface of the paint film.
Author Contributions
Conceptualization, X.X.; methodology, X.X.; software, X.X.; validation, X.X. and W.Y.; formal analysis, X.X.; investigation, X.X.; resources, X.X.; data curation, X.X.; writing—original draft preparation, X.X.; writing—review and editing, X.X.; visualization, X.X.; supervision, X.X. and W.Y.; project administration, X.X.; funding acquisition, W.Y. All authors have read and agreed to the published version of the manuscript.
Funding
This research received no external funding.
Institutional Review Board Statement
Not applicable.
Informed Consent Statement
Informed consent was obtained from all subjects involved in the study.
Data Availability Statement
Not applicable.
Conflicts of Interest
The authors declare no conflict of interest.
References
- Bayer, I.S.; Megaridis, C.M.; Zhang, J.; Gamota, D.; Biswas, A. Analysis and surface energy estimation of various model polymeric surfaces using contact angle hysteresis. J. Adhes. Sci. Technol. 2007, 21, 1439–1467. [Google Scholar] [CrossRef]
- Jiang, L.; Feng, L. Bionic Intelligent Nano-Interface Materials; Beijing Chemical Industry Press: Beijing, China, 2007; Volume 1, pp. 3–175. [Google Scholar]
- Bai, X.; Chen, F. Progress in the preparation of superhydrophobic surfaces by femtosecond laser. J. Optics 2021, 1, 2–10. [Google Scholar]
- Zhang, X.; Chen, H.; Pi, P.; Wen, X.; Cheng, J.; Yang, Z. Study on the crystallization of fluorinated acrylate copolymers and surface wetting properties of coated films. J. Chem. Eng. High Schools 2012, 1, 3–5. [Google Scholar]
- Hu, F. Material Surfaces and Interfaces; East China University of Science and Technology Press: Shanghai, China, 2008; Volume 2, pp. 2–6. [Google Scholar]
- Fan, Z.; Wei, Z.; Tian, D.; Xiao, C.; Sun, X.; Chen, C.; Liu, W. New advances in the preparation, application and theory of superhydrophobic material surfaces. Polym. Bull. 2005, 11, 105–110. [Google Scholar]
- Teng, X.R. Surface Physical Chemistry. In Physical Chemistry of Surfaces; Beijing Chemical Industry Press: Beijing, China, 2009; Volume 3, pp. 4–37. [Google Scholar]
- Sheng, M.; Deng, G. New Polyurethane Coating Production Technology and Application; Guangdong Science and Technology Publishing House: Guangzhou, China, 2001; Volume 1, pp. 3–6. [Google Scholar]
- Park, Y.M.; Gang, M.; Seo, Y.H.; Kim, B.H. Artificial petal surface based on hierarchical micro- and nanostructures. Thin Solid Films 2011, 520, 362–367. [Google Scholar] [CrossRef]
- Lee, W.; Jin, M.K.; Yoo, W.C.; Lee, J.K. Nano-structure of a polymeric substrate with well-defined nanometer-scale topography and tailored surface wettability. Langmuir 2004, 20, 7665–7669. [Google Scholar] [CrossRef] [PubMed]
- Wei, P.J.; Chen, S.C.; Lin, J.F. Adhesion Forces and Contact Angles of Water Strider Legs. Langmuir 2008, 25, 1526–1528. [Google Scholar] [CrossRef]
- Su, B.; Tian, Y.; Jiang, L. Bioinspired Interfaces with Superwettability: From Materials to Chemistry. J. Am. Chem. Soc. 2016, 138, 1727–1748. [Google Scholar] [CrossRef]
- Bormashenko, E. Physics of solid–liquid interfaces: From the Young equation to the superhydrophobicity. Low Temp. Phys. 2016, 42, 622–635. [Google Scholar] [CrossRef]
- Yu, S.; Guo, Z.; Liu, W. Biomimetic transparent and superhydrophobic coatings: From nature and beyond nature. Chem. Commun. 2015, 51, 1775–1794. [Google Scholar] [CrossRef]
- Jisr, R.M.; Rmaile, H.H.; Schlenoff, J.B. Hydrophobic and ultrahydrophobic multilayer thin films from perfluorinated polyelectrolytes. Angew. Chem. Int. Ed. 2004, 44, 782–785. [Google Scholar] [CrossRef] [PubMed]
- Koch, K.; Bhushan, B.; Barthlott, W. Multifunctional surface structures of plants: An inspiration for biomimetics. Prog. Mater. Sci. 2009, 54, 137–178. [Google Scholar] [CrossRef]
- Extrand, C.W. Contact Angles and Their Hysteresis as a Measure of Liquid−Solid Adhesion. Langmuir 2004, 20, 4017–4021. [Google Scholar] [CrossRef] [PubMed]
- Du, Q. Rough ideas on wetting. Phys. A Stat. Mech. Its Appl. 2002, 313, 32–46. [Google Scholar]
- Zhang, X.; Shi, F.; Niu, J.; Jiang, Y.; Wang, Z. Superhydrophobic surfaces: From structural control to functional application. J. Mater. Chem. 2008, 18, 621–633. [Google Scholar] [CrossRef]
- Herminghaus, S. Roughness-induced non-wetting. Europhys. Lett. 2000, 52, 165–170. [Google Scholar] [CrossRef]
- Lafuma, A.; Quéré, D. Superhydrophobic states. Nat. Mater. 2003, 2, 457–460. [Google Scholar] [CrossRef]
- Liu, M.; Zheng, Y.; Zhai, J.; Jiang, L. Bioinspired Super-antiwetting Interfaces with Special Liquid−Solid Adhesion. Acc. Chem. Res. 2010, 43, 368–377. [Google Scholar] [CrossRef]
- Chaudhary, A.; Barshilia, H.C. Nanometric Multiscale Rough CuO/Cu(OH)2 Superhydrophobic Surfaces Prepared by a Facile One-Step Solution-Immersion Process: Transition to Superhydrophilicity with Oxygen Plasma Treatment. J. Phys. Chem. C 2011, 115, 18213–18220. [Google Scholar] [CrossRef]
- Gao, N.; Yan, Y. Modeling Superhydrophobic Contact Angles and Wetting Transition. J. Bionic Eng. 2009, 6, 335–340. [Google Scholar] [CrossRef]
- Jopp, J.; Grüll, H.; Yerushalmi-Rozen, R. Wetting Behavior of Water Droplets on Hydrophobic Microtextures of Comparable Size. Langmuir 2004, 20, 10015–10019. [Google Scholar] [CrossRef] [PubMed]
- Jung, Y.C.; Bhushan, B. Wetting transition of water droplets on superhydrophobic patterned surfaces. Scr. Mater. 2007, 57, 1057–1060. [Google Scholar] [CrossRef]
- Nosonovsky, M.; Bhushan, B. Biomimetic Superhydrophobic Surfaces: Multiscale Approach. Nano Lett. 2007, 7, 2633–2637. [Google Scholar] [CrossRef] [PubMed]
- Ren, Y. Preparation and Tissue Property Analysis of Hydrophobic Fluorinated Polyurethane Coatings; North China University of Water Resources and Hydropower: Zhengzhou, China, 2018; Volume 3, pp. 4–7. [Google Scholar]
- Wang, L.-F. Studies on fluorinated polyurethanes by X-ray diffraction and density functional theory calculations with periodic boundary conditions. Polymer 2007, 48, 7414–7418. [Google Scholar] [CrossRef]
- Turri, S.; Levi, M.; Trombetta, T. Waterborne anionomeric polyurethane-ureas from functionalized fluoropolyethers. J. Appl. Polym. Sci. 2004, 93, 136–144. [Google Scholar] [CrossRef]
- Wang, Y.; Qiu, F.; Xu, B.; Xu, J.; Jiang, Y.; Yang, D.; Li, P. Preparation mechanical properties and surface morphologies of waterborne fluorinated polyurethane-acylate. Prog. Org. Coat. 2013, 76, 876–883. [Google Scholar] [CrossRef]
- Zhang, H.; Li, W.; Fang, G. A new model for thermodynamic analysis on wetting behavior of superhydrophobic surfaces. Appl. Surf. Sci. 2012, 258, 2707–2716. [Google Scholar] [CrossRef]
- Zhang, H.; Li, W.; Zhang, X.; Miao, F.; Li, T.; Liu, H. Determination of the second step microstructure for superhydrophobic surfaces. Surf. Interface Anal. 2013, 5, 919–929. [Google Scholar] [CrossRef]
- Akram, R.M.; Kooij, E.S.; van Silfhout, A.; Poelsema, B. Superhydrophobic surfaces by anomalous fluoroalkylsilane self-assembly on silica nanosphere arrays. Langmuir 2010, 26, 12962–12972. [Google Scholar] [CrossRef]
- Bormashenko, E.; Pogreb, R.; Whyman, G.; Bormashenko, Y.; Erlich, M. Vibration-induced Cassie-Wenzel wetting transition on rough surfaces. Appl. Phys. Lett. 2007, 90, 201917. [Google Scholar] [CrossRef]
- Krupenkin, T.N.; Taylor, J.A.; Schneider, T.M.; Yang, S. From Rolling Ball to Complete Wetting: The Dynamic Tuning of Liquids on Nanostructured Surfaces. Langmuir 2004, 20, 3824–3827. [Google Scholar] [CrossRef] [PubMed]
- Bormashenko, E.; Starov, V. Impact of surface forces on wetting of hierarchical surfaces and contact angle hysteresis. Colloid Polym. Sci. 2013, 291, 343–346. [Google Scholar] [CrossRef]
- Erbil, H.Y.; Cansoy, C.E. Range of Applicability of the Wenzel and Cassie−Baxter Equations for Superhydrophobic Surfaces. Langmuir 2009, 25, 14135–14145. [Google Scholar] [CrossRef]
- Darmanin, T.; Guittard, F. Recent advances in the potential applications of bioinspired superhydrophobic materials. J. Mater. Chem. A 2014, 2, 16319–16359. [Google Scholar] [CrossRef]
- Darmanin, T.; Guittard, F. Superhydrophobic and superoleophobic properties in nature. Mater. Today 2015, 18, 273–285. [Google Scholar] [CrossRef]
- Godeau, G.; Darmanin, T.; Guittard, F. Ante versus post-functionalization to control surface structures with superhydrophobic and superoleophobic properties. RSC Adv. 2015, 5, 63945–63951. [Google Scholar] [CrossRef]
- Marmur, A. Wetting on hydrophobic rough surfaces: To be heterogeneous or not to be? Langmuir 2003, 19, 8343–8348. [Google Scholar] [CrossRef]
- Marmur, A. From Hygrophilic to Superhygrophobic: Theoretical Conditions for Making High-Contact-Angle Surfaces from Low-Contact-Angle Materials. Langmuir 2008, 24, 7573–7579. [Google Scholar] [CrossRef]
- Sun, Z.; Liao, T.; Liu, K.; Jiang, L.; Kim, J.H.; Dou, S.X. Fly-Eye Inspired Superhydrophobic Anti-Fogging Inorganic Nanostructures. Small 2014, 10, 3001–3006. [Google Scholar] [CrossRef]
- Du, J.; Zhang, Y.; Min, Q. Numerical investigations of the spreading and retraction dynamics of viscous droplets impact on solid surfaces. Colloids Surf. A Physicochem. Eng. Asp. 2021, 609, 125649. [Google Scholar] [CrossRef]
- Yang, C.; Hao, P.; He, F. Properties of droplet motion on microstructured superhydrophobic surfaces. Sci. Bull. 2009, 54, 436–440. [Google Scholar]
- Cai, D.; Wang, Q.; Zhao, T.; Liu, H.; Jiang, L. Progress in the construction of anisotropic micro- and nano-graded structured surfaces with special infiltration properties. Chem. Bull. 2014, 8, 4–6. [Google Scholar]
- Wang, J.; Wang, K.; Zheng, Y.; Jiang, L. Relationship between nanostructures and wettability on the surface of lotus leaves. J. Chem. High. Educ. 2010, 8, 3–8. [Google Scholar]
- Gao, X.; Lei, J. New advances in the study of natural superhydrophobic biological surfaces. Physics 2006, 7, 2–8. [Google Scholar]
- Tuteja, A.; Choi, W.; Ma, M.; Mabry, J.M.; Mazzella, S.A.; Rutledge, G.C.; McKinley, G.H.; Cohen, R.E. Designing Superoleophobic Surfaces. Science 2007, 318, 1618–1622. [Google Scholar] [CrossRef] [PubMed]
- Gu, G.; Dang, H. Research progress of superhydrophobic transparent coatings. J. Henan Univ. Nat. Sci. Ed. 2004, 4, 6–9. [Google Scholar]
- Gauthier, A.; Symon, S.; Clanet, C.; Quere, D. Water impacting on superhydrophobic macro textures. Nat. Commun. 2015, 6, 8001. [Google Scholar] [CrossRef]
- Field, D.E.; Griffith, J.R. Fluorinated naval coating. Ind. Eng. Chem. Prod. Res. 1975, 14, 52. [Google Scholar]
- Di Gianni, A.; Bongiovanni, R.; Priola, A.; Turri, S. UV-cured fluorinated coatings for plastics: Effect of the photoinitiator and of the substrate filler on adhesion. Int. J. Adhes. Adhes. 2004, 24, 513–518. [Google Scholar] [CrossRef]
- Dong, J. Preparation of UV-Curable Fluorosilicon Low Surface Energy Coatings and Its Surface Behavior; Nanchang University of Aeronautics: Nanchang, China, 2017; pp. 20–35. [Google Scholar]
- Li, G.T.; Peng, Y.; Fu, L.; Wu, Y. Preparation and properties of waterborne UV-curable fluorinated polyurethane resins. Chem. New Mater. 2015, 7, 5–9. [Google Scholar]
- Zhang, Y. Development of UV-Curable Fluorine-Containing Coatings; Jinan University: Guangzhou, China, 2016; pp. 30–42. [Google Scholar]
- Christian, D. The use of UV irradiation in polymerization. Polym. Int. 1999, 3, 11–16. [Google Scholar]
- Kaewpirom, S.; Kunwong, D. Curing behavior and cured film performance of easy-to-clean UV-curable coatings based on hybrid urethane acrylate oligomers. J. Polym. Res. 2012, 10, 5–7. [Google Scholar] [CrossRef]
- Rosu, D.; Rosu, L.; Cascaval, C.N. IR-change and yellowing of polyurethane as a result of UV irradiation. Polym. Degrad. Stab. 2009, 94, 591–596. [Google Scholar] [CrossRef]
- GB/T 6739-2006; Determination of Paint Film Hardness by Pencil Method for Color Paint and Varnish. Standardization Administration of China: Beijing, China, 2006.
- GB/T 1720-1989; Determination of Paint Adhesion by Pencil Method. Standardization Administration of China: Beijing, China, 1989.
- GB/T 1733-1993; Determination of Water Resistance of Paint Film. Standardization Administration of China: Beijing, China, 1993.
- GB/T 9754-2007; Glossiness Test Standard for Color Paint and Varnish. Standardization Administration of China: Beijing, China, 2007.
- Yu, F.Y.; Gao, J.; Liu, C.P.; Chen, Y.K.; Zhong, G.; Hodges, C.; Chen, M.F.; Zhang, H.G. Preparation and UV aging of nano–SiO2/fluorinated polyacrylate polyurethane hydrophobic composite coating. Prog. Org. Coat. 2020, 141, 105556. [Google Scholar] [CrossRef]
- Zhang, T.; Wu, W.J.; Wang, X.J.; Mu, Y.P. Effect of average functionality on properties of UV-curable waterborne polyurethane-acrylate. Prog. Org. Coat. 2010, 3, 201–207. [Google Scholar] [CrossRef]
- Bai, C.Y.; Zhang, X.Y.; Dai, J.B.; Li, W.H. A new UV curable waterborne polyurethane: Effect of C=C content on the film properties. Prog. Org. Coat. 2006, 55, 291–295. [Google Scholar] [CrossRef]
- Corcione, C.E.; Striani, R.; Frigione, M. Organic–inorganic UV-cured methacrylic-based hybrids as protective coatings for different substrates. Prog. Org. Coat. 2014, 77, 1117–1125. [Google Scholar] [CrossRef]
- Wei, D.; Ye, D.; Huang, H.; Huanqin, C. Multi-cross-linked UV-curable waterborne polyurethane coatings. Coat. Ind. 2008, 5, 1–5. [Google Scholar]
- Hiroshi, K.; Takakazu, Y. Development of high stain resistant coating: Hydrophilic clear coat which is applicable to wet on wet base coat. JSAE Rev. 2002, 23, 271–277. [Google Scholar]
- Montefusco, F.; Bongiovanni, R.; Sangermano, M.; Priola, A. Fluorinated networks through photo polymerization processes: Synthesis, characterization and properties. Polymer 2004, 45, 4663. [Google Scholar] [CrossRef]
- Wu, J.; Zhang, R.; Ma, G.; Hou, C.; Zhang, H. Preparation and properties of fluorinated oligomer with tertiary amine structure in the UV curable coatings. J. Appl. Polym. Sci. 2017, 134, 28–35. [Google Scholar] [CrossRef]
- Masson, C.; Decker, T.; Jaworek, R. UV-radiation curing of waterbased urethane–acrylate coatings. Prog. Org. Coat. 2000, 39, 20–25. [Google Scholar] [CrossRef]
- Park, J.-M.; Lee, Y.-H.; Park, H.; Kim, H.-D. Preparation and properties of UV-curable fluorinated polyurethane acrylates. J. Appl. Polym. Sci. 2014, 131, 67–83. [Google Scholar] [CrossRef]
- Wang, F.; Hu, J.; Tu, W. Study on microstructure of UV-curable polyurethane acrylate films. Prog. Org. Coat. 2008, 62, 245–250. [Google Scholar] [CrossRef]
- Pablo, J.; Peruzzo, P.S.; Anbinder, O.R.; Pardini, J.; Vega, C.; Costa, F.; Galembeck, J. Waterborne polyurethane/acrylate: Comparison of hybrid and blend systems. Prog. Org. Coat. 2011, 72, 429–437. [Google Scholar]
- Liu, C.; Nie, J.; He, Y. High compatible free radical UV-curable fluorine-containing polyacrylic acrylate prepolymer. J. Fluor. Chem. 2015, 173, 47–54. [Google Scholar] [CrossRef]
- Hwang, H.D.; Kim, H.J. Enhanced thermal and surface proper ties of waterborne UV-curable polycarbonate-based polyu rethane (meth)acrylate dispersion by incorporation of polydimethyl siloxane. React. Funct. Polym. 2011, 71, 655–665. [Google Scholar] [CrossRef]
- Jung, D.H.; Kim, E.Y.; Kang, Y.S. High solid and high-performance UV cured waterborne polyurethanes. Colloids Surf. A Physicochem. Eng. Asp. 2010, 370, 58–63. [Google Scholar] [CrossRef]
- Li, G.T.; Zhang, L.; Peng, Y.C. Preparation and properties of aqueous UV-cured fluorinated polyurethane resins. New Chem. Mater. 2015, 7, 57–59. [Google Scholar]
- Bongiovanni, R.; Zeno, E.; Pollicino, A.; Serafini, P.M.; Tonelli, C. UV light-induced grafting of fluorinated monomer onto cellulose sheets. Cellulose 2011, 18, 117–126. [Google Scholar] [CrossRef]
- Ferrero, F.; Periolatto, M.; Udrescu, C. Water and oil-repellent coatings of perfluoro-polyacrylate resins on cotton fibers: UV curing in comparison with thermal polymerization. Fibers Polym. 2012, 13, 191–198. [Google Scholar] [CrossRef]
- Deng, X.-R.; Yang, W.; Zhang, Q.-H.; Hui, H.-H.; Wei, Y.-W.; Wang, J.; Xu, Q.; Lei, X.-Y.; Chen, J.-J.; Zhu, J.-L. Fabrication of UV-curable silicone coating with high transmittance and laser-induced damage threshold for high-power laser system. J. Sol-Gel Sci. Technol. 2018, 88, 249–254. [Google Scholar] [CrossRef]
- Bruen, K.; Davidson, K.; Sydes, D.E.; Siemens, P.M. Benefits of UV-curable coatings. Eur. Coat. J. 2004, 4, 42. [Google Scholar]
- Liu, J.L.; Jiao, X.J.; Cheng, F.; Fan, Y.X.; Wu, Y.F.; Yang, X.F. Fabrication and performance of UV cured transparent silicone modified polyurethane–acrylate coatings with high hardness, good thermal stability and adhesion. Prog. Org. Coat. 2020, 144, 10567. [Google Scholar] [CrossRef]
Disclaimer/Publisher’s Note: The statements, opinions and data contained in all publications are solely those of the individual author(s) and contributor(s) and not of MDPI and/or the editor(s). MDPI and/or the editor(s) disclaim responsibility for any injury to people or property resulting from any ideas, methods, instructions or products referred to in the content. |
© 2023 by the authors. Licensee MDPI, Basel, Switzerland. This article is an open access article distributed under the terms and conditions of the Creative Commons Attribution (CC BY) license (https://creativecommons.org/licenses/by/4.0/).















