Multi-Scale Analysis of Terahertz Time-Domain Spectroscopy for Inversion of Thermal Growth Oxide Thickness in Thermal Barrier Coatings
Abstract
1. Introduction
2. Models and Methods
2.1. Finite Difference Time-Domain Simulation
2.2. Multi-Scale Analysis
2.3. Multi-Linear Regression
2.4. Deep Extreme Learning Machine
3. Results and Discussion
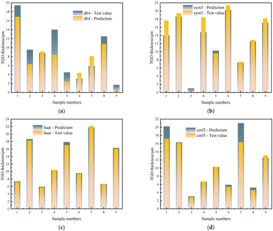
3.1. Continuous Wavelet Transform
3.2. The Result of Max-Pooling
3.3. Performance Evaluation of Multi-Scale Analysis
4. Conclusions
Author Contributions
Funding
Institutional Review Board Statement
Informed Consent Statement
Data Availability Statement
Conflicts of Interest
Correction Statement
References
- Sohret, Y. Defining ecologic thermo-environmental index for aero-engines as a novel performance criterion. Propul. Power Res. 2021, 10, 374–382. [Google Scholar]
- Liu, Q.; Huang, S.; He, A. Composite ceramics thermal barrier coatings of yttria stabilized zirconia for aero-engines. J. Mater. Sci. Technol. 2019, 35, 2814–2823. [Google Scholar]
- Wang, K.; Peng, H.; Guo, H.; Gong, S. Effect of sintering on thermal conductivity and thermal barrier effects of thermal barrier coatings. Chin. J. Aeronaut. 2012, 25, 511–816. [Google Scholar] [CrossRef]
- An, G.; Li, W.; Feng, L.; Cheng, B.; Wang, Z.; Li, Z.; Zhang, Y. Isothermal oxidation and TGO growth behaviors of YAG/YSZ double-ceramic-layer thermal barrier coatings. Ceram. Int. 2021, 47, 24320–24330. [Google Scholar]
- Doleker, K.; Karaoglanli, A. Comparison of oxidation behavior of YSZ and Gd2Zr2O7 thermal barrier coatings (TBCs). Surf. Coat. Technol. 2016, 318, 198–207. [Google Scholar] [CrossRef]
- Shi, J.; Zhang, T.; Sun, B.; Wang, B.; Zhang, X.; Song, L. Isothermal oxidation and TGO growth behavior of NiCoCrAlY-YSZ thermal barrier coatings on a Ni-based superalloy. J. Alloys Compd. 2020, 844, 156093. [Google Scholar]
- Torkashvand, K.; Poursaeidi, E.; Mohammadi, M. Effect of TGO thickness on the thermal barrier coatings life under thermal shock and thermal cycle loading. Ceram. Int. 2018, 44, 9283–9293. [Google Scholar] [CrossRef]
- Feng, Y.; Dong, T.; Li, G.; Wang, R.; Zhao, X.; Liu, Q. High temperature oxidation resistance and TGO growth mechanism of laser remelted thermal barrier coatings. J. Alloys Compd. 2020, 828, 154266. [Google Scholar]
- Ouyang, T.; Wu, J.; Yasir, M.; Zhou, T.; Fang, X.; Wang, Y.; Liu, D.; Suo, J. Effect of TiC self-healing coatings on the cyclic oxidation resistance and lifetime of thermal barrier coatings. J. Alloys Compd. 2016, 656, 992–1003. [Google Scholar]
- Li, B.; Fan, X.; Zhou, K.; Wang, T. Effect of oxide growth on the stress development in double-ceramic-layer thermal barrier coatings. Ceram. Int. 2017, 43, 14763–14774. [Google Scholar] [CrossRef]
- Song, X.; Meng, F.; Kong, M.; Wang, Y.; Huang, L.; Zheng, X.; Zeng, Y. Thickness and microstructure characterization of TGO in thermal barrier coatings by 3D reconstruction. Mater. Charact. 2016, 120, 244–248. [Google Scholar] [CrossRef]
- Huang, H.; Liu, C.; Ni, L.; Zhou, C. Evaluation of TGO growth in thermal barrier coatings using impedance spectroscopy. Rare Met. 2011, 30, 643–646. [Google Scholar] [CrossRef]
- Ma, Z.; Zhao, Y.; Luo, Z.; Lin, L. Ultrasonic characterization of thermally grown oxide in thermal barrier coating by reflection coefficient amplitude spectrum. Ultrasonics 2014, 54, 1005–1009. [Google Scholar] [CrossRef]
- Zhang, X.; Zhao, Y.; Withers, P.; Xiao, P. Microstructural degradation of electron beam-physical vapour deposition thermal barrier coating during thermal cycling tracked by X-ray micro-computed tomography. Scr. Mater. 2018, 152, 79–83. [Google Scholar] [CrossRef]
- Sun, F.; Fan, M.; Cao, B.; Ye, B.; Liu, L. High-resolution terahertz imaging of de-bonding defects in thermal barrier coatings using an optimal wavelet transform. IEEE Trans. Instrum. Meas. 2023, 3293872. [Google Scholar] [CrossRef]
- Sun, F.; Fan, M.; Cao, B.; Liu, L. THzResNet: A physics-inspired two-stream residual network for thermal barrier coating thickness measurement. IEEE Trans. Ind. Inform. 2022, 19, 8328–8339. [Google Scholar] [CrossRef]
- Ye, D.; Wang, W.; Zhou, H.; Fang, H.; Huang, J.; Li, Y.; Gong, H.; Li, Z. Characterization of thermal barrier coatings microstructural features using terahertz spectroscopy. Surf. Coat. Technol. 2020, 394, 125836. [Google Scholar] [CrossRef]
- Ye, D.; Wang, W.; Zhou, H.; Li, Y.; Fang, H.; Huang, J.; Gong, H.; Li, Z. Quantitative determination of porosity in thermal barrier coatings using terahertz reflectance spectrum: Case study of atmospheric-plasma-sprayed YSZ coatings. IEEE Trans. Terahertz Sci. Technol. 2020, 10, 383–390. [Google Scholar] [CrossRef]
- Ye, D.; Wang, W.; Zhou, H.; Huang, J.; Wu, W.; Gong, H.; Li, Z. In-situ evaluation of porosity in thermal barrier coatings based on the broadening of terahertz time-domain pulses: Simulation and experimental investigations. Opt. Express 2019, 27, 28150–28165. [Google Scholar] [CrossRef]
- Chen, C.; Lee, D.; Pollock, T.; Whitaker, J. Terahertz characterization of interfacial oxide layers and voids for health monitoring of ceramic coatings. In Proceedings of the 2009 34th International Conference on Infrared, Millimeter, and Terahertz Waves, Busan, Republic of Korea, 21–25 September 2009. [Google Scholar]
- Zhang, Z.; Huang, Y.; Zhong, S.; Lin, T.; Zhong, Y.; Zeng, Q.; Nsengiyumva, W.; Yu, Y.; Peng, Z. Time of flight improved thermally grown oxide thickness measurement with terahertz spectroscopy. Front. Mech. Eng. 2022, 17, 49. [Google Scholar] [CrossRef]
- Luo, M.; Zhong, S.; Yao, L.; Tu, W.; Nsengiyumva, W.; Chen, W. Thin thermally grown oxide thickness detection in thermal barrier coatings based on SWT-BP neural network algorithm and terahertz technology. Appl. Opt. 2020, 59, 4097–4104. [Google Scholar] [CrossRef] [PubMed]
- Stoik, C.; Bohn, M.; Blackshire, J. Nondestructive evaluation of aircraft composites using transmissive terahertz time domain spectroscopy. Opt. Express 2008, 16, 17039–17051. [Google Scholar] [CrossRef] [PubMed]
- Zhang, R.; He, Y.; Liu, K.; Zhang, L.; Zhang, S.; Pickwell-MacPherson, E.; Zhao, Y.; Zhang, C. Composite multiscale entropy analysis of reflective terahertz signals for biological tissues. Opt. Express 2017, 25, 23669–23676. [Google Scholar] [CrossRef]
- Yin, Y.; Shang, P. Detection of multiscale properties of financial market dynamics based on an entropic segmentation method. Nonlinear Dyn. 2016, 83, 1743–1756. [Google Scholar] [CrossRef]
- Zhang, Z.; Gao, J.; Yang, M.; Yan, X.; Lu, Y.; Wu, L.; Li, J.; Wei, D.; Liu, L.; Xie, J.; et al. Microfluidic integrated metamaterials for active terahertz photonics. Photonics Res. 2019, 7, 1400–1406. [Google Scholar] [CrossRef]
- Kozhanova, E.; Danilov, S.; Belyaev, V. Methods of recognition based on wavelet transform for analysis of characteristics of spherical quantum dot. Eng. Proc. 2023, 33, 35. [Google Scholar]
- Zheng, Y.; Iwana, B.; Uchida, S. Mining the displacement of max-pooling for text recognition. Pattern Recognit. 2019, 93, 558–569. [Google Scholar] [CrossRef]
- Mehmet, K. A study over the general formula of regression sum of squares in multiple linear regression. Numer. Methods Partial. Differ. Equ. 2020, 37, 406–421. [Google Scholar]
- Jiang, X.; Yan, T.; Zhu, J.; He, B.; Li, W.; Du, H.; Sun, S. Densely connected deep extreme learning machine algorithm. Cogn. Comput. 2020, 12, 979–990. [Google Scholar] [CrossRef]
- Sun, F.; Cao, B.; Fan, M.; Liu, L. Physics-based deep learning framework for terahertz thickness measurement of thermal barrier coatings. SSRN Electron. J. 2023, 4373227. [Google Scholar] [CrossRef]











| Parameter | Setting Conditions |
|---|---|
| Simulation time | 100 ps |
| THz frequency | 0.3–1.0 THz |
| TGO thickness | 1.000–22.609 μm |
| Refractive index | 3.653–4.811 |
| Extinction coefficient | 0.062–0.221 |
| Porosity | 6.220%–22.894% |
| Types of Wavelets | MAE | RMSE | MAPE/% | R2 |
|---|---|---|---|---|
| db4 | 2.225 | 2.7078 | 26.59 | 0.7507 |
| sym3 | 1.3483 | 1.8391 | 36.65 | 0.8944 |
| haar | 0.2711 | 0.3408 | 2.10 | 0.9763 |
| coif3 | 1.1027 | 1.8790 | 9.03 | 0.9093 |
| Types of Wavelets | MAE | RMSE | MAPE/% | R2 |
|---|---|---|---|---|
| db4 | 0.4454 | 0.5650 | 2.25 | 0.9027 |
| sym3 | 0.7859 | 1.1275 | 4.35 | 0.7921 |
| haar | 0.2146 | 0.2573 | 1.09 | 0.9840 |
| coif3 | 0.3689 | 0.6025 | 1.79 | 0.9121 |
Disclaimer/Publisher’s Note: The statements, opinions and data contained in all publications are solely those of the individual author(s) and contributor(s) and not of MDPI and/or the editor(s). MDPI and/or the editor(s) disclaim responsibility for any injury to people or property resulting from any ideas, methods, instructions or products referred to in the content. |
© 2023 by the authors. Licensee MDPI, Basel, Switzerland. This article is an open access article distributed under the terms and conditions of the Creative Commons Attribution (CC BY) license (https://creativecommons.org/licenses/by/4.0/).
Share and Cite
Li, R.; Ye, D.; Xu, J.; Pan, J. Multi-Scale Analysis of Terahertz Time-Domain Spectroscopy for Inversion of Thermal Growth Oxide Thickness in Thermal Barrier Coatings. Coatings 2023, 13, 1294. https://doi.org/10.3390/coatings13071294
Li R, Ye D, Xu J, Pan J. Multi-Scale Analysis of Terahertz Time-Domain Spectroscopy for Inversion of Thermal Growth Oxide Thickness in Thermal Barrier Coatings. Coatings. 2023; 13(7):1294. https://doi.org/10.3390/coatings13071294
Chicago/Turabian StyleLi, Rui, Dongdong Ye, Jianfei Xu, and Jiabao Pan. 2023. "Multi-Scale Analysis of Terahertz Time-Domain Spectroscopy for Inversion of Thermal Growth Oxide Thickness in Thermal Barrier Coatings" Coatings 13, no. 7: 1294. https://doi.org/10.3390/coatings13071294
APA StyleLi, R., Ye, D., Xu, J., & Pan, J. (2023). Multi-Scale Analysis of Terahertz Time-Domain Spectroscopy for Inversion of Thermal Growth Oxide Thickness in Thermal Barrier Coatings. Coatings, 13(7), 1294. https://doi.org/10.3390/coatings13071294

