Microstructural Evaluation of Thermal-Sprayed CoCrFeMnNi0.8V High-Entropy Alloy Coatings
Abstract
1. Introduction
2. Materials and Methods
2.1. Fabrication of Bulk Samples
2.2. Coatings Deposition
2.3. Materials Characterization
2.4. Thermo-Calc Modelling
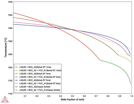
3. Results and Discussion
4. Conclusions
- The aim of this work was to improve the understanding of the effect of the cooling rate on the microstructure of high-entropy alloys, with a focus on high-entropy alloy coatings, by using a combined computational and experimental validation approach.
- In this research effort, CoCrFeMnNi0.8V coatings were deposited under different spray temperatures (i.e., LT, MT and HT) on a steel substrate with the use of gas-atomized powder. For comparison, bulk CoCrFeMnNi0.8V was fabricated by suction casting.
- A variety of microstructural outcomes were observed for the different configurations, including a BCC phase for the gas-atomized powder, LT and MT coatings. On the other hand, the HT coating consisted of a variety of phases including BCC, FCC and oxides. The bulk material had a dual FCC and sigma intermetallic microstructure. Heat treatment for up to 72 h at 500 °C for the LT coating didn`t have any significant effect on the microstructure.
- The variation in the observed phases for the different configurations has been explained in terms of solidification rate. In more detail, rapid solidification in gas atomization can inhibit phase transformations, leading to microstructures which are out of equilibrium. Subsequent application of the powder with the use of a low thermal input technique such as HVOAF with the use of different spray parameters can lead to the desired microstructure.
- This approach is of high interest for high-entropy alloy coatings where the raw powders are fabricated by rapid solidification techniques and there are a variety of deposition techniques with a large range of deposition temperatures and parameters.
Author Contributions
Funding
Institutional Review Board Statement
Informed Consent Statement
Data Availability Statement
Conflicts of Interest
References
- Yeh, J.W.; Chen, S.K.; Lin, S.J.; Gan, J.Y.; Chin, T.S.; Shun, T.T.; Tsau, C.H.; Chang, S.Y. Nanostructured high-entropy alloys with multiple principal elements: Novel alloy design concepts and outcomes. Adv. Eng. Mater. 2004, 6, 299–303. [Google Scholar] [CrossRef]
- Yeh, J.W. Recent progress in high-entropy alloys. Ann. Chim. Sci. Mat. 2006, 31, 633–648. [Google Scholar] [CrossRef]
- Poulia, A.; Georgatis, E.; Mathiou, C.; Karantzalis, A.E. Phase segregation discussion in a Hf25Zr30Nb20V15Ti10 high entropy alloy: The effect of the high melting point element. Mater. Chem. Phys. 2018, 201, 251–258. [Google Scholar] [CrossRef]
- Poulia, A.; Georgatis, E.; Lekatou, A.; Karantzalis, A.E. Microstructure and wear behavior of a refractory high entropy alloy. Int. J. Refract. Met. Hard Mater. 2016, 57, 50–63. [Google Scholar] [CrossRef]
- Qiu, Y.; Thomas, S.; Fabijanic, D.; Barlow, A.J.; Fraser, H.L.; Birbilis, N. Microstructural evolution. electrochemical and corrosion properties of AlxCoCrFeNiTiy high entropy alloys. Mater. Des. 2019, 170, 107698. [Google Scholar] [CrossRef]
- Cantor, B.; Chang, I.T.H.; Knight, P.; Vincent, A.J.B. Microstructural development in equiatomic multicomponent alloys. Mater. Sci. Eng. A 2004, 375–377, 213–218. [Google Scholar] [CrossRef]
- Salischev, G.A.; Tikhomonsky, M.A.; Shaysultanov, D.G.; Stepanov, N.D.; Kuznetsov, A.V.; Kolodiy, I.V.; Tortika, A.S.; Senkov, O.N. Effect of Mn and V on structure and mechanical properties of high-entropy alloys based on CoCrFeNi system. J. Alloy. Compd. 2014, 591, 11–21. [Google Scholar] [CrossRef]
- Stepanov, N.D.; Shaysultanov, D.G.; Shalishchev, G.A.; Tikhonovsky, M.A.; Oleynik, E.E.; Tortika, A.S.; Senkov, O.N. Effect of V content on microstructure and mechanical properties of the CoCrFeMnNiVx high entropy alloys. J. Alloy. Compd. 2015, 628, 170–185. [Google Scholar] [CrossRef]
- Vaidya, M.; Karati, A.; Guruvidyathri, K.; Nagini, M.; Pradeep, K.G.; Murty, B.S. Suppression of σ-phase in nanocrystalline CoCrFeMnNiV high entropy alloy by unsolicited contamination during mechanical alloying and spark plasma sintering. Mater. Chem. Phys. 2020, 255, 123558. [Google Scholar] [CrossRef]
- Srivastava, M.; Jadhav, M.; Chethan; Chakradhar, R.P.S.; Maniprakash, M.; Singh, S. Synthesis and properties of oxy-fuel sprayed FeCoCrNi2Al high entropy alloy coating. Surf. Coat. Technol. 2019, 378, 124950. [Google Scholar] [CrossRef]
- Lobel, M.; Lindner, T.; Lampke, T. High-temperature wear behaviour of AlCoCrFeNiTi0.5 coatings produced by HVOF. Surf. Coat. Technol. 2020, 430, 126379. [Google Scholar] [CrossRef]
- Liao, W.B.; Wu, Z.X.; Lu, W.; He, M.; Wang, T.; Guo, Z.; Huang, J. Microstructures and mechanical properties of CoCrFeNiMn high-entropy alloy coatings by detonation spraying. Intermetallics 2021, 132, 107138. [Google Scholar] [CrossRef]
- Xue, M.; Mao, X.; Lv, Y.; Chi, Y.; Yang, Y.; He, J.; Dong, Y. Comparison of micro-nano FeCoNiCrAl and FeCoNiCrMn coatings prepared from mechanical alloyed high-entropy alloy powders. J. Therm. Spray Technol. 2021, 30, 1666–1678. [Google Scholar] [CrossRef]
- Xiao, J.K.; Li, T.T.; Wu, Y.Q.; Chen, J.; Zhang, C. Microstructure and tribological propertires of plasma-sprayed CoCrFeNi-based high-entropy alloys coatings under dry and oil-lubricated sliding conditions. J. Therm. Spray. Technol. 2021, 30, 926–936. [Google Scholar] [CrossRef]
- Meghwal, A.; Anupam, A.; Luzin, V.; Schulz, C.; Hall, C.; Murty, B.S.; Kottada, R.S.; Berndt, C.C.; Ang, A.S.M. Multiscale mechanical performance and corrosion behaviour of plasma sprayed AlCoCrFeNi high-entropy alloy coatings. J. Alloy. Compd. 2021, 854, 157140. [Google Scholar] [CrossRef]
- Kamnis, S.; Sfikas, A.K.; Allcock, B.; Gonzalez, S. HVOF processed CoCrFeMnNi high-entropy alloy coatings: A combined computational and experimental validation approach. J. Therm. Spray Technol. 2022, 31, 1000–1010. [Google Scholar] [CrossRef]
- Lobel, M.; Lindner, T.; Mahner, T.; Rymer, L.S.; Bjorklund, S.; Joshi, S.; Lampke, T. Microstructure and corrosion properties of AlCrFeCoNi high-entropy alloy coatings prepard by HVAF and HVOF. J. Therm. Spray Technol. 2022, 31, 247–255. [Google Scholar] [CrossRef]
- Chen, C.; Fan, Y.; Wang, W.; Zhang, H.; Hou, J.; Wei, R.; Zhang, T.; Li, M.; Guan, S.; Li, F. Synthesis of ultrafine dual-phase structure in CrFeCoNiAl0.6 high entropy alloy via solid-state phase transformation during sub-rapid solidification. J. Mater. Sci. Technol. 2022, 113, 253–260. [Google Scholar] [CrossRef]
- He, F.; Wang, Z.; Li, Y.; Wu, Q.; Li, J.; Wang, J.; Liu, C.T. Kinetic ways of tailoring phases in high-entropy alloys. Sci. Rep. 2016, 6, 34628. [Google Scholar] [CrossRef]
- Preub, B.; Lindner, T.; Uhlig, T.; Wagner, G.; Lampke, T. Niobium and molybdenum as alloying constituents in Al0.3CoCrFeNi to develop eutectic high-entropy alloys for HVOF spraying. J. Therm. Spray Technol. 2023, 32, 415–424. [Google Scholar] [CrossRef]
- Gonzalez, S.; Sfikas, A.K.; Kamnis, S.; Garay Reyes, C.G.; Hurtado-Macias, A.; Martinez-Sanchez, R. Wear resistance CoCrFeMnNi0.8V high entropy alloy with multi length-scale hierarchical microstructure. Mater. Lett. 2023, 331, 133504. [Google Scholar] [CrossRef]
- Christofidou, K.A.; McAuliffe, T.P.; Mignanelli, P.M.; Stone, H.J.; Jones, N.G. On the prediction and the formation of sigma phase in CrMnFeCoNix high entropy alloys. J. Alloy. Compd. 2019, 770, 285–293. [Google Scholar] [CrossRef]
- Kamnis, S.; Malamousi, K.; Marrs, A.; Allcock, B.; Delibasis, K. Aeroacoustics and artificial neural network modelling of airborne acoustic emissions during high kinetic energy thermal spraying. J. Therm. Spray Technol. 2019, 28, 946–962. [Google Scholar] [CrossRef]
- Lee, K.; Jung, Y.; Han, J.; Hong, S.H.; Kim, K.B.; Liaw, P.K.; Lee, C.; Song, G. Development of precipitation-strengthened Al0.8NbTiVM (M= Co, Ni) light-weight refractory high-entropy alloys. Materials 2021, 14, 2085. [Google Scholar] [CrossRef] [PubMed]
- Jimenez, J.A.; Carsi, M.; Ruano, O.A.; Penalda, F. Characterisation of a δ/γ duplex stainless steel. J. Mater Sci. 2000, 35, 907–915. [Google Scholar] [CrossRef]
- Martins, M.; Casteletti, L.C. Sigma phase morphologies in cast and aged super duplex stainless steel. Mater. Charact. 2009, 60, 792–795. [Google Scholar] [CrossRef]
- Guo, S.; Ng, C.; Lu, J.; Liu, C.T. Effect of valence electron concentration on stability of fcc or bcc phase in high entropy alloys. J. Appl. Phys. 2011, 109, 103505. [Google Scholar] [CrossRef]
- Tsai, M.H.; Tsai, K.Y.; Chai, C.W.; Lee, C.; Juan, C.C.; Yeh, J.W. Criterion for sigma phase formation in Cr- and V-containing high-entropy alloys. Mater. Res. Lett. 2013, 1, 207–212. [Google Scholar] [CrossRef]
- Sheng, L.; Zhang, W.; Guo, J.; Ye, H. Microstructure and mechanical properties of Hf and Ho doped NiAl-Cr(Mo) near eutectic alloy prepared by suction casting. Mater Charact. 2009, 60, 1311–1316. [Google Scholar] [CrossRef]
- Brocq, M.L.; Akhatova, A.; Perriere, L.; Chebini, S.; Sauvage, X.; Leroy, E.; Champion, Y. Insight into the phase diagram of the CrMnFeCoNi high entropy alloy. Acta Mater. 2015, 88, 355–365. [Google Scholar] [CrossRef]
- Davis, J.R. Handbook of Thermal Spray Technology; ASM International: Materials Park, OH, USA, 2004. [Google Scholar]









| V | Cr | Mn | Fe | Co | Ni | |
|---|---|---|---|---|---|---|
| Nominal | 17.2 | 17.2 | 17.2 | 17.2 | 17.2 | 13.8 |
| Measured | 16.6 ± 0.8 | 19.1 ± 3.5 | 18.2 ± 1.8 | 15.7 ± 1.3 | 17.4 ± 2.1 | 13.1 ± 1.2 |
| Sigma | 15.9 ± 0.7 | 19.8 ± 2.6 | 16.8 ± 1.9 | 16.1 ± 0.6 | 18.8 ± 1.2 | 12.6 ± 0.7 |
| FCC | 14 ± 1.6 | 14.3 ± 2.4 | 21.7 ±2.3 | 14.7 ± 1.4 | 18.2 ± 0.2 | 17.1 ± 3.1 |
| V | Cr | Mn | Fe | Co | Ni | |
|---|---|---|---|---|---|---|
| Nominal | 17.2 | 17.2 | 17.2 | 17.2 | 17.2 | 13.8 |
| Powder | 15.9 ± 0.2 | 18.1 ± 0.2 | 17.9 ± 0.4 | 17.1 ± 0.4 | 17.3 ± 0.2 | 13.8 ± 0.3 |
| LT | 15.8 ± 0.2 | 18.3 ± 0.1 | 17.8 ± 0.2 | 17.2 ± 0.3 | 17.3 ± 0.3 | 13.6 ± 0.4 |
| MT | 15.8 ± 0.2 | 18.4 ± 0.5 | 17.8 ± 0.4 | 16.9 ± 0.3 | 17.2 ± 0.3 | 13.9 ± 0.4 |
| HT | 15.8 ± 0.3 | 18.3 ± 0.3 | 17.6 ± 0.4 | 17.2 ± 0.1 | 17.4 ± 0.4 | 13.7 ± 0.2 |
| Solidification Rate | Temperature [°C] | Mass Fraction of Solid | Mole Fraction of BCC_A2 | Mole Fraction of FCC_A1 | Mole Percent of V in BCC_A2 | Mole Percent of Cr in BCC_A2 |
|---|---|---|---|---|---|---|
| 1 m/s | 1219.020 | 0.989 | 0.939 | 0.050 | 9.646 | 14.851 |
| 3 m/s | 1241.730 | 0.990 | 0.982 | 0.008 | 8.907 | 16.929 |
| 5 m/s | 1248.080 | 0.989 | 0.989 | 0.000 | 9.137 | 17.090 |
| 7 m/s | 1266.590 | 0.990 | 0.990 | - | 10.756 | 17.307 |
| 10 m/s | 1275.340 | 0.990 | 0.990 | - | 11.639 | 17.368 |
Disclaimer/Publisher’s Note: The statements, opinions and data contained in all publications are solely those of the individual author(s) and contributor(s) and not of MDPI and/or the editor(s). MDPI and/or the editor(s) disclaim responsibility for any injury to people or property resulting from any ideas, methods, instructions or products referred to in the content. |
© 2023 by the authors. Licensee MDPI, Basel, Switzerland. This article is an open access article distributed under the terms and conditions of the Creative Commons Attribution (CC BY) license (https://creativecommons.org/licenses/by/4.0/).
Share and Cite
Sfikas, A.K.; Kamnis, S.; Tse, M.C.H.; Christofidou, K.A.; Gonzalez, S.; Karantzalis, A.E.; Georgatis, E. Microstructural Evaluation of Thermal-Sprayed CoCrFeMnNi0.8V High-Entropy Alloy Coatings. Coatings 2023, 13, 1004. https://doi.org/10.3390/coatings13061004
Sfikas AK, Kamnis S, Tse MCH, Christofidou KA, Gonzalez S, Karantzalis AE, Georgatis E. Microstructural Evaluation of Thermal-Sprayed CoCrFeMnNi0.8V High-Entropy Alloy Coatings. Coatings. 2023; 13(6):1004. https://doi.org/10.3390/coatings13061004
Chicago/Turabian StyleSfikas, Athanasios K., Spyros Kamnis, Martin C. H. Tse, Katerina A. Christofidou, Sergio Gonzalez, Alexandros E. Karantzalis, and Emmanuel Georgatis. 2023. "Microstructural Evaluation of Thermal-Sprayed CoCrFeMnNi0.8V High-Entropy Alloy Coatings" Coatings 13, no. 6: 1004. https://doi.org/10.3390/coatings13061004
APA StyleSfikas, A. K., Kamnis, S., Tse, M. C. H., Christofidou, K. A., Gonzalez, S., Karantzalis, A. E., & Georgatis, E. (2023). Microstructural Evaluation of Thermal-Sprayed CoCrFeMnNi0.8V High-Entropy Alloy Coatings. Coatings, 13(6), 1004. https://doi.org/10.3390/coatings13061004

