Characterizations and Kinetic Modelling of Boride Layers on Bohler K190 Steel
Abstract
1. Introduction
2. Materials and Methods
3. The Integral Diffusion Model
4. Results and Discussion
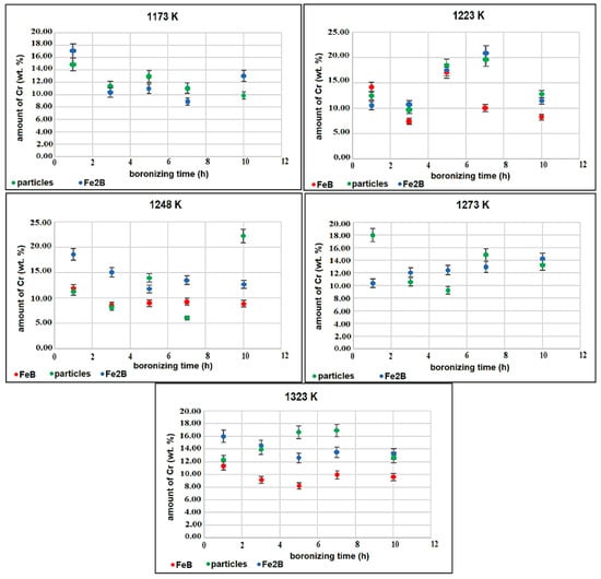
4.1. SEM Examinations and EDS Analysis
4.2. XRD Results
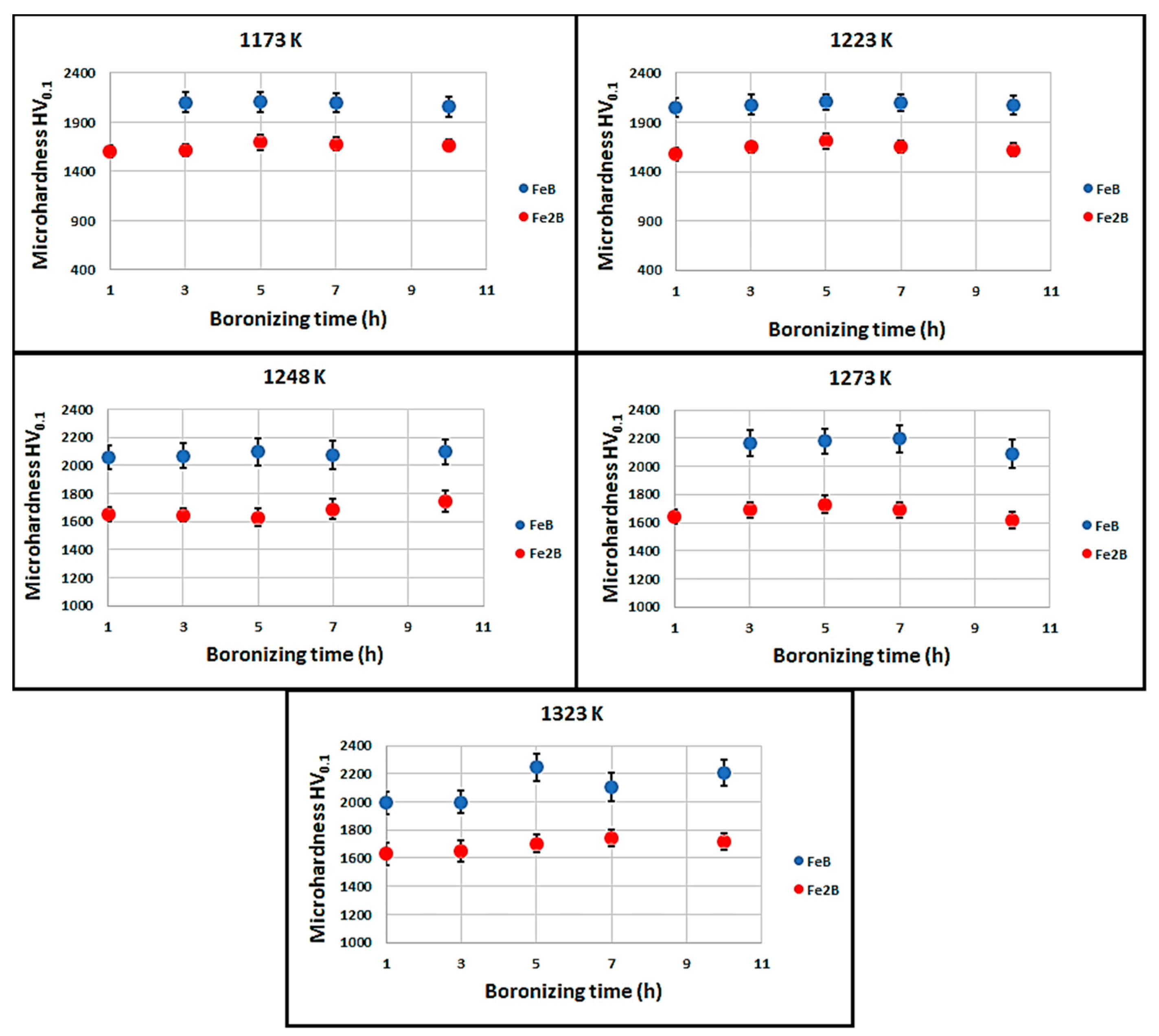
4.3. Vickers Microhardness Measurements
4.4. Assessment of Boron Diffusion Coefficients in Iron Borides with the Integral Method
5. Conclusions
Author Contributions
Funding
Institutional Review Board Statement
Informed Consent Statement
Data Availability Statement
Conflicts of Interest
References
- Keddam, M.; Kulka, M.; Makuch, N.; Pertek, A.; Maldzinski, L. A kinetic model for estimating the boron activation energies in the FeB and Fe2B layers during the gas-boriding of Armco iron: Effect of boride incubation times. Appl. Surf. Sci. 2014, 298, 155–163. [Google Scholar] [CrossRef]
- Kulka, M.; Makuch, N.; Piasecki, A. Nanomechanical characterization and fracture toughness of FeB and Fe2B iron borides produced by gas boriding of Armco iron. Surf. Coat. Technol. 2017, 325, 515–532. [Google Scholar] [CrossRef]
- Smolnikov, E.A.; Sarmanova, L.M. Study of the possibility of liquid boriding of high-speed steels. Met. Sci. Heat Treat. 1982, 24, 785–788. [Google Scholar] [CrossRef]
- Nguyen, L.; Pham, N.A. Study of SiC/Borax liquid boride layer on AISI H13 hot work tool steel. Int. J. Appl. Eng. Technol. 2021, 3, 23–28. [Google Scholar]
- Léon, R. Mechanical characterization of the AISI 316L alloy exposed to boriding process. Rev. DYNA 2020, 87, 34–41. [Google Scholar] [CrossRef]
- Ipek, M.; Celebi Efe, G.; Ozbek, I.; Zeytin, S.; Bindal, C. Investigation of Boronizing Kinetics of AISI 51100 Steel. J. Mater. Eng. Perform. 2012, 21, 733–738. [Google Scholar] [CrossRef]
- Gunes, I.; Ulker, S.; Taktak, S. Kinetics of plasma paste boronized AISI 8620 steel in borax paste mixtures. Prot. Met. Phys. Chem. Surf. 2013, 49, 567–573. [Google Scholar] [CrossRef]
- Jiang, Y.; Bao, Y.; Wang, M. Kinetic Analysis of Additive on Plasma Electrolytic Boriding. Coatings 2017, 7, 61. [Google Scholar] [CrossRef]
- Jain, V.; Sundararajan, G. Influence of the pack thickness of the boronizing mixture on the boriding of steel. Surf. Coat. Technol. 2002, 149, 21–26. [Google Scholar] [CrossRef]
- Kayali, Y.; Gunes, I.; Ulu, S. Diffussion kinetics of borided AISI 52100 and AISI 440C steels. Vacuum 2012, 86, 1428–1434. [Google Scholar] [CrossRef]
- Xie, F.; Cheng, J.; Wang, S. Effects and mechanisms of an alternating current field on pack boriding. Vacuum 2018, 148, 41–47. [Google Scholar] [CrossRef]
- Okamoto, H. B-Fe (boron-iron). J. Phase Equilibria Diffus. 2004, 25, 297–298. [Google Scholar] [CrossRef]
- Keddam, M.; Hudáková, M.; Ptačinová, J.; Moravčík, R.; Gogola, P.; Gabalcová, Z.; Jurči, P. Characterization of boronized layers on Vanadis 6 tool steel. Surf. Eng. 2020, 37, 445–454. [Google Scholar] [CrossRef]
- Campos-Silva, I.; Flores-Jiménez, M.; Rodríguez-Castro, G.; Hernández-Sánchez, E.; Martínez-Trinindad, J.; Tadeo-Rosas, R. Improved fracture toughness of boride coating developed with a diffusion annealing process. Surf. Coat. Technol. 2013, 237, 429–439. [Google Scholar] [CrossRef]
- Dybkov, V.I. Boriding of High Chromium Steels. Curr. Phys. Chem. 2016, 6, 137–144. [Google Scholar] [CrossRef]
- Dybkov, V.I. Basics of Formation of Iron Boride Coatings. J. Miner. Met. Mater. Eng. 2016, 2, 30–46. [Google Scholar] [CrossRef]
- Dybkov, V.I.; Lengauer, W.; Barmak, K. Formation of Boride Layers at the Fe–10 %Cr alloy–boron Interface. J. Alloys Compd. 2005, 398, 113–122. [Google Scholar] [CrossRef]
- Erdogan, M.; Gunes, I. Corrosion behavior and microstructure of borided tool steel. Rev. Matéria 2015, 20, 523–529. [Google Scholar] [CrossRef]
- Uslu, I.; Omert, H.; Ipek, M.; Celebi, F.G.; Ozdemir, O.; Bindal, C. A Comparison of Borides Formed on AISI 1040 and AISI P20 Steels. Mater. Des. 2007, 28, 1819–1826. [Google Scholar] [CrossRef]
- Zhang, Y.; Zhen, Q.; Lygdenov, B.; Guriev, A.; Shun-Qi, M. Research on the technology of paste boronizing for H13 die steel. Mater. Sci. Eng. 2019, 684, 012007. [Google Scholar]
- Morgado-González, I.; Ortiz-Dominguez, M.; Keddam, M. Characterization of Fe2B layers on ASTM A1011 steel and modeling of boron diffusion. Materals Test. 2022, 64, 55–66. [Google Scholar] [CrossRef]
- Campos, I.; Islas, M.; González, E.; Ponce, P.; Ramírez, G. Use of fuzzy logic for modeling the growth of Fe2B boride layers during boronizing. Surf. Coat. Technol. 2006, 201, 2717–2723. [Google Scholar] [CrossRef]
- Campos, I.; Islas, M.; Ramirez, G.; Villa-Velazquez, C.; Mota, C. Growth kinetics of borided layers: Artificial neural network and least square approaches. Appl. Surf. Sci. 2007, 253, 6226–6231. [Google Scholar] [CrossRef]
- Ramdan, R.D.; Takaki, T.; Yashiro, K.; Tomita, Y. The Effects of Structure Orientation on the Growth of Fe2B Boride by Multi-Phase-Field Simulation. Mater. Trans. 2010, 51, 62–67. [Google Scholar] [CrossRef]
- Ortiz-Domínguez, M.; Campos-Silva, I.; Hernández-Sánchez, E.; Nava-Sánchez, J.L.; Martínez-Trinidad, J.; Jiménez-Reyes, M.Y.; Damián-Mejía, O. Estimation of Fe2B growth on low-carbon steel based on two diffusion models. Int. J. Mater. Res. 2011, 102, 429–434. [Google Scholar] [CrossRef]
- Kouba, R.; Keddam, M.; Kulka, M. Modelling of the paste boriding process. Surf. Eng. 2015, 31, 563–569. [Google Scholar] [CrossRef]
- Orihel, P.; Drienovský, M.; Gabalcová, Z.; Jurči, P.; Keddam, M. Characterization and boron diffusion kinetics on the surface-hardened layers of Royalloy steel. Coatings 2023, 13, 113. [Google Scholar] [CrossRef]
- Makuch, N.; Kulka, M.; Keddam, M.; Piasecki, A. Growth kinetics, microstructure evolution and some mechanical properties of boride layers produced on X165CrV12 tool steel. Materials 2023, 16, 26. [Google Scholar] [CrossRef]
- Torres, R.; Campos, I.; Ramírez, G.; Bautista, O.; Martínez, J. Dimensional analysis in the growth kinetics of FeB and Fe2B layers during the boriding process. Int. J. Microstruct. Mater. Prop. 2007, 2, 73–83. [Google Scholar]
- Yu, L.; Chen, X.; Khor, K.; Sundararajan, G. FeB/Fe2B phase transformation during SPS pack-boriding: Boride layer growth kinetics. Acta Mater. 2005, 53, 2361–2368. [Google Scholar] [CrossRef]
- Delai, O.; Xia, C.; Shiqiang, L. Growth kinetics of the FeB/Fe2B boride layer on the surface of 4Cr5MoSiV1 steel: Experiments and modelling. J. Mater. Res. Technol. 2021, 11, 1272–1280. [Google Scholar] [CrossRef]
- Keddam, M.; Kulka, M. Simulation of Boriding Kinetics of AISI D2 Steel using Two Different Approaches. Met. Sci. Heat Treat. 2020, 61, 756–763. [Google Scholar] [CrossRef]
- Keddam, M.; Mebarek, B. A fuzzy neural network approach for modeling the growth kinetics of FeB and Fe2B layers during the boronizing process. Mater. Tech. 2018, 106, 603. [Google Scholar]
- Chen, L.; Zhao, Y. From classical thermodynamics to phase-field method. Prog. Mater. Sci. 2022, 124, 100868. [Google Scholar] [CrossRef]
- Kunst, H.; Schaaber, O. Beobachtungen beim Oberflaechenborieren von Stahl. HTM Haerterei Tech. Mitt. 1967, 22, 1–25. [Google Scholar]
- Nait Abdellah, Z.; Cherougne, R.; Keddam, M.; Bouarour, B.; Haddour, L.; Elias, A. The Phase Stability in the Fe-B Binary System: Comparison between the Interstitial and Substitutional Models. Defect Diffus. Forum. 2012, 322, 1–9. [Google Scholar] [CrossRef]
- Goodman, T.R. Application of Integral Methods to Transient Nonlinear Heat Transfer. Advanced Heat Transfer. 1964, 1, 51–122. [Google Scholar]
- Press, W.H.; Flannery, B.P.; Teukolsky, S.A. Numerical Recipes in Pascal: The Art of Scientific Computing; Cambridge University Press: Cambridge, UK, 1989. [Google Scholar]
- Ortiz-Domínguez, M. Modeling of the Growth Kinetics of Boride Layers in Powder-Pack Borided ASTM A36 Steel Based. Adv. Mater. Sci. Eng. 2019, 2019, 5985617. [Google Scholar]
- Brakman, C.M.; Gommers, A.W.J.; Mittemeijer, E.J. Boriding of Fe and Fe-C, Fe-Cr, and Fe-Ni alloys; Boride-layer growth kinetics. J. Mater. Res. 1989, 4, 1354–1370. [Google Scholar] [CrossRef]
- Fellner, P.; Chrenkova, M. Rate of Growth of Boride Layers on Highly Alloyed Steels. Chem. Pap. 1991, 46, 226–231. [Google Scholar]
- Ortiz-Domínguez, M.; Elias–Espinosa, M.; Keddam, M.; Gómez-Vargas, A.; Lewis, R.; Vera-Cardénas, E. Growth kinetics and mechanical properties of Fe2B layers formed on AISI D2 steel. Indian J. Eng. Mater. Sci. 2015, 22, 231–243. [Google Scholar]
- Keddam, M.; Jurči, P. Simulating the Growth of Dual-Phase Boride Layer on AISI M2 Steel by Two Kinetic Approaches. Coatings 2021, 11, 433. [Google Scholar] [CrossRef]
- Ramakrishnan, H.; Balasundaram, R.; Lenin, K.; Dhanapal, C.; Saravanan, S. Experimental investigation of borided kinetics on martensitic stainless steel. Mater. Today Proc. 2022, 68, 1508–1514. [Google Scholar] [CrossRef]
- Ortiz-Domínguez, M.; Keddam, M.; Elias-Espinosa, M.; Damián-Mejía, O.; Flores-Rentería, M.A.; Arenas-Flores, A.; Hernández-Ávila, J. Investigation of boriding kinetics of AISI D2 steel. Surf. Eng. 2014, 30, 490–497. [Google Scholar] [CrossRef]
- Topuz, P.; Çicek, O. Kinetic investigation of AISI 304 stainless steel boronized in indirect heated fluidized bed furnace. J. Min. Metall. 2016, 52, 63–68. [Google Scholar] [CrossRef]
- Nait Abdellah, Z.; Boumaali, B.; Keddam, M. Experimental evaluation and modelling the boronizing kinetics of AISI H13 hot work tool steel. Mater. Test. 2021, 63, 1136–1141. [Google Scholar] [CrossRef]
- Kayali, Y.; Talas, Ş.; Yalcin, M.C. Diffusion Kinetics of Boronized ASP® 2012 Tool Steel Produced by Powder Metallurgy. Prot. Met. Phys. Chem. Surf. 2022, 58, 1036–1043. [Google Scholar] [CrossRef]
- Campos, I.; Ramírez, G.; Figueroa, U.; Martínez, J.; Morales, O. Evaluation of boron mobility on the phases FeB, Fe2B and diffusion zone in AISI 1045 and M2 steels. Appl. Surf. Sci. 2007, 253, 3469–3475. [Google Scholar] [CrossRef]
- Ortiz-Domínguez, M.; Keddam, M.; Elias-Espinosa, M.; Ramírez-Cardona, R.; Arenas-Flores, A.; Zuno-Silva, J.; Cervantes-Sodi, F.; Cardoso-Legorreta, E. Characterization and boriding kinetics of AISI T1 steel. Metall. Res. Technol. 2019, 116, 102. [Google Scholar] [CrossRef]
- Keddam, M.; Chegroune, R.; Kulka, M.; Taktak, S. Characterization and Diffusion Kinetics of the Plasma Paste Borided AISI 440C Steel. Trans. Indian Inst. Met. 2017, 70, 1377–1385. [Google Scholar] [CrossRef]
- Kartal Sireli, G.; Yuce, H.; Arslan, M. Improving the Surface Performance of Discarded AISI T1 Steel by Cathodic Reduction and Thermal Diffusion-Based Boriding. J. Mater. Eng. Perform. 2023, 32. [Google Scholar] [CrossRef]
- Campos-Silva, I.; Hernández-Ramirez, E.J.; Contreras-Hernández, A.; Rosales-Lopez, J.L.; Valdez-Zayas, E.; Mejía-Caballero, I.; Martínez-Trinidad, J. Pulsed-DC powder-pack boriding: Growth kinetics of boride layers on an AISI 316 L stainless steel and Inconel 718 superalloy. Surf. Coat. Technol. 2021, 421, 127404. [Google Scholar] [CrossRef]
- Campos-Silva, I.; Ortiz-Domínguez, M.; Tapia-Quintero, C. Kinetics and Boron Diffusion in the FeB/Fe2B Layers Formed at the Surface of Borided High-Alloy Steel. J. Mater. Eng. Perform. 2012, 21, 1714–1723. [Google Scholar] [CrossRef]










| Element | C | Si | Mn | Cr | Mo | V |
|---|---|---|---|---|---|---|
| Content (wt.%) | 2.3 | 0.6 | 0.3 | 12.5 | 1.1 | 4.0 |
| Temperature (K) | (μm·s−0.5) at the First Phase Interface | (μm·s−0.5) at the Second Phase Interface |
|---|---|---|
| 1173 | 0.1013 | 0.1864 |
| 1223 | 0.1559 | 0.2806 |
| 1248 | 0.1876 | 0.3431 |
| 1273 | 0.2258 | 0.4103 |
| 1323 | 0.3378 | 0.5906 |
| T (K) | (×10−12 m2·s−1) Equation (15) | (×10−12 m2·s−1) Equation (16) | Parameter | Parameter |
|---|---|---|---|---|
| 1173 | 0.50 | 0.32 | 0.0712 | 0.1628 |
| 1223 | 1.18 | 0.73 | 0.0716 | 0.1643 |
| 1248 | 1.73 | 1.10 | 0.0713 | 0.1632 |
| 1273 | 2.49 | 1.57 | 0.0714 | 0.1636 |
| 1323 | 5.48 | 3.14 | 0.0721 | 0.1666 |
| Steel | Boriding Process | Operating Parameters | Phases Present | Activation Energy (kJ·mol−1) | Calculation Method | Refs. |
|---|---|---|---|---|---|---|
| AISI 440 C | PPB | 700–800 °C For 3–7 h | FeB, Fe2B, CrB, Cr2B | 134.62 | Parabolic growth law | [51] |
| AISI TI | CRTD-Bor | 850–1050 °C For 0.25–1 h | FeB and/or Fe2B | 179.05 | Parabolic growth law | [52] |
| AISI 316 L | PDCPB | 850–950 °C For 0.5–2 h | FeB, Fe2B, CrB, Cr2B | 162.7 ± 7 (FeB) 171 ± 5 (Fe2B) | Bilayer model | [53] |
| AISI M2 | Paste | 950–1000 °C for 2 and 6 h | FeB, Fe2B | 257.5 (FeB) 201 (Fe2B) | Bilayer model | [51] |
| SS410 | Powder | 850–1000 °C For 2–8 h | No reported | 186.49 | Parabolic growth law | [44] |
| AISI D2 | Powder | 850–1000 °C For 2–8 h | Fe2B | 201.5 | Monolayer model | [45] |
| AISI 304 | Powder | 850–1050 °C For 1–4 h | FeB, Fe2B, Ni2B, Cr2Ni3B6 | 244 | Parabolic law | [46] |
| AISI H13 | Powder | 800–1000 °C For 2–6 h | FeB, Fe2B, CrB, Cr2B | 236.43 (FeB) 233.04 (Fe2B) | MDC method | [47] |
| ASP®2012 | Powder | 850–950 °C For 2–6 h | FeB, Fe2B, CrB, Mo2B, and W2B | 314.716 | Parabolic growth law | [48] |
| Royalloy | Powder | 900–1050 °C for 1–10 h | FeB, Fe2B | 242.79 (FeB) 223.0 (Fe2B) | Integral method | [27] |
| X165CrV12 | Powder | 850–950 °C For 3–9 h | FeB, Fe2B, CrB | 173.73 (FeB) 193.47 (Fe2B) | Integral method | [28] |
| AISI M2 | Powder | 850–950 °C for 2–6 h and 10 h | FeB, Fe2B, CrB, Cr2B, B4V3 | 206.41 (FeB) 216.18 (Fe2B) | Integral method | [43] |
| AISI M2 | Powder | 850–950 °C for 2–6 h and 10 h | FeB, Fe2B, CrB, Cr2B, B4V3 | 226.02 (FeB) 209.04 (Fe2B) | Dybkov model | [43] |
| Bohler K190 | Powder | 900–1050 °C for 1–10 h | FeB, Fe2B | 204.54 (FeB) 196.67 (Fe2B) | Integral method | This study |
Disclaimer/Publisher’s Note: The statements, opinions and data contained in all publications are solely those of the individual author(s) and contributor(s) and not of MDPI and/or the editor(s). MDPI and/or the editor(s) disclaim responsibility for any injury to people or property resulting from any ideas, methods, instructions or products referred to in the content. |
© 2023 by the authors. Licensee MDPI, Basel, Switzerland. This article is an open access article distributed under the terms and conditions of the Creative Commons Attribution (CC BY) license (https://creativecommons.org/licenses/by/4.0/).
Share and Cite
Orihel, P.; Jurči, P.; Keddam, M. Characterizations and Kinetic Modelling of Boride Layers on Bohler K190 Steel. Coatings 2023, 13, 1000. https://doi.org/10.3390/coatings13061000
Orihel P, Jurči P, Keddam M. Characterizations and Kinetic Modelling of Boride Layers on Bohler K190 Steel. Coatings. 2023; 13(6):1000. https://doi.org/10.3390/coatings13061000
Chicago/Turabian StyleOrihel, Peter, Peter Jurči, and Mourad Keddam. 2023. "Characterizations and Kinetic Modelling of Boride Layers on Bohler K190 Steel" Coatings 13, no. 6: 1000. https://doi.org/10.3390/coatings13061000
APA StyleOrihel, P., Jurči, P., & Keddam, M. (2023). Characterizations and Kinetic Modelling of Boride Layers on Bohler K190 Steel. Coatings, 13(6), 1000. https://doi.org/10.3390/coatings13061000

