High-Frequency Conductivity of Amorphous and Crystalline Sb2Te3 Thin Films
Abstract
1. Introduction
2. Theory
3. Materials and Methods
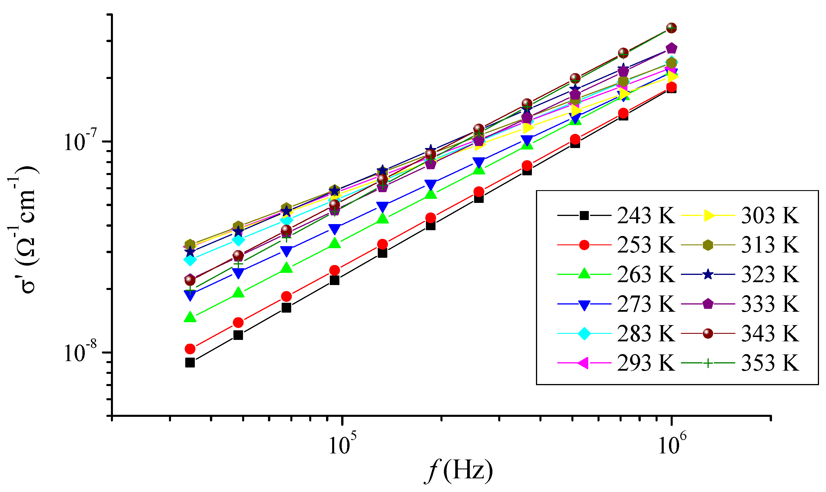
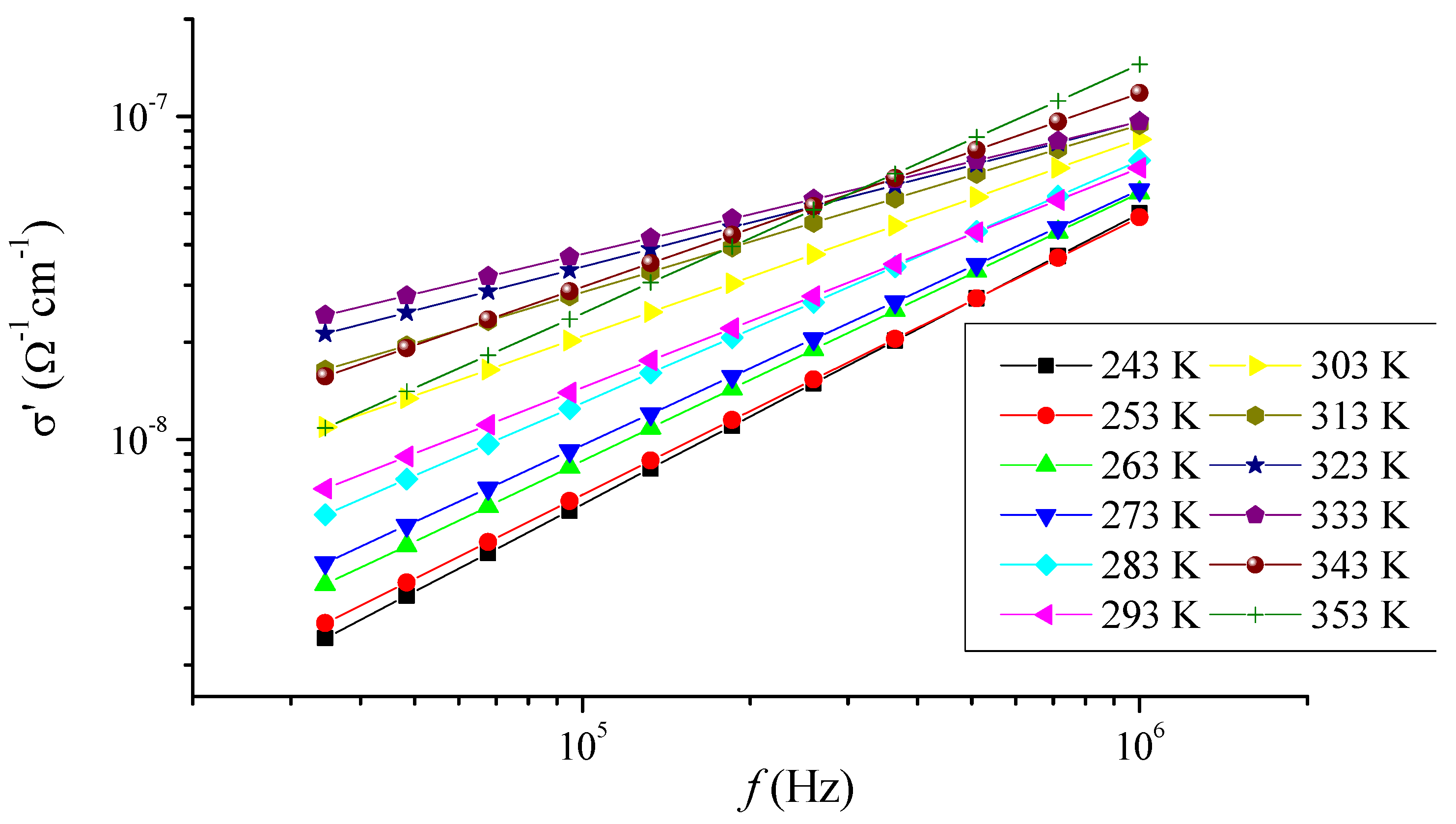
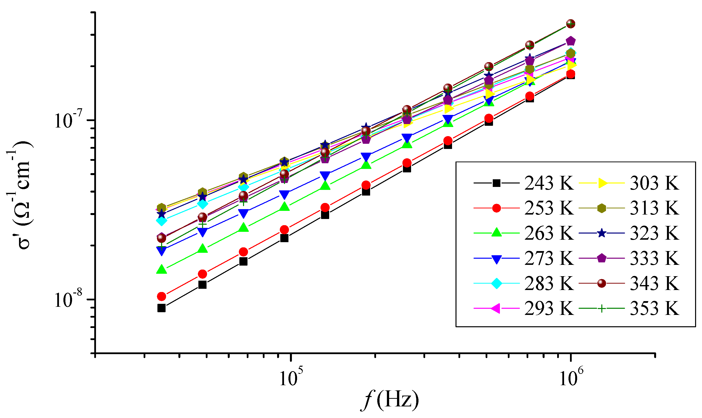
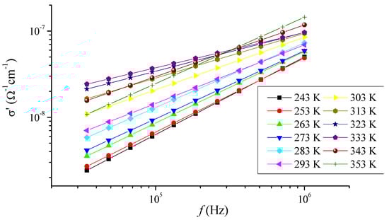
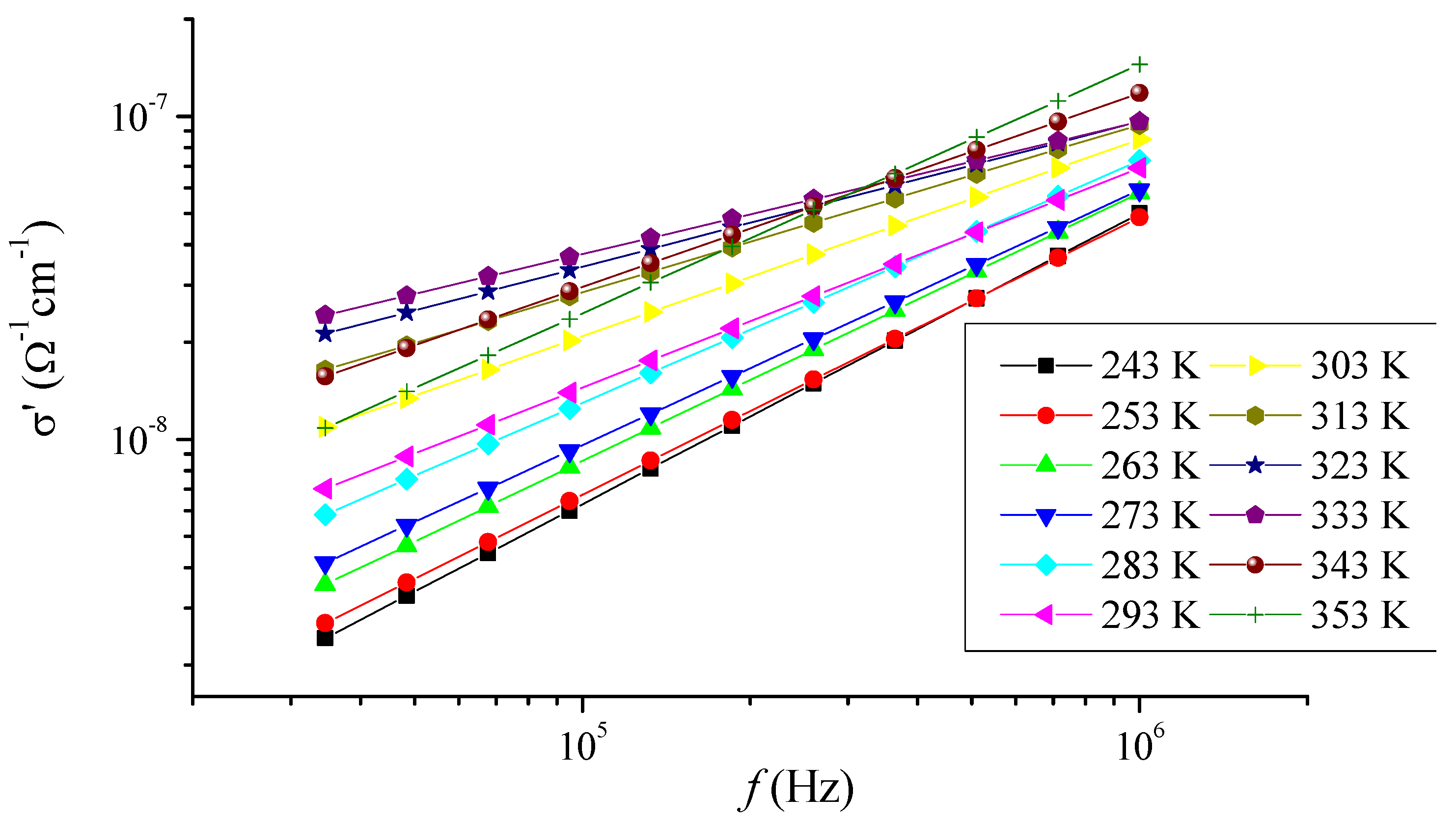
4. Results and Discussion
5. Conclusions
Author Contributions
Funding
Data Availability Statement
Acknowledgments
Conflicts of Interest
References
- Kim, H.J.; Hwang, Y.; Jeong, J.C.; Kim, J.H. Fabrication of molded chalcogenide-glass lens for thermal imaging applications. Appl. Opt. 2012, 51, 5649–5656. [Google Scholar] [CrossRef]
- Snopatin, G.E.; Shiryaev, V.S.; Plotnichenko, V.G.; Dianov, E.M.; Churbanov, M.F. High-Purity chalcogenide glasses for fiber optics. Inorg. Mater. 2009, 45, 1439–1460. [Google Scholar] [CrossRef]
- Charrier, J.; Brandily, M.L.; Lhermite, H.; Michel, K.; Bureau, B.; Verger, F.; Nazabal, V. Evanescent wave optical micro-sensor based on chalcogenide glass. Sens. Actuators B Chem. 2012, 173, 468–476. [Google Scholar] [CrossRef]
- Zhang, B.; Guo, W.; Yu, Y.; Zhai, C.; Qi, S.; Yang, A.; Luther-Davies, B. Low loss, high NA chalcogenide glass fibers for broadband mid-infrared supercontinuum generation. J. Am. Ceram. Soc. 2015, 98, 1389–1392. [Google Scholar] [CrossRef]
- Kumar, S.; Mehta, B.R.; Kashyap, S.C.; Chopra, K.L. Amorphous chalcogenide thin-film Schottky barrier (Bi/As2Se3: Bi) solar cell. Appl. Phys. Lett. 1988, 52, 24–26. [Google Scholar] [CrossRef]
- Abd El-Salam, F.; Afify, M.A.; Abd El-Wahabb, E. Thickness and temperature dependence of the electrical resistivity of amorphous Sb2Se3 films. Vacuum 1993, 44, 1009–1013. [Google Scholar] [CrossRef]
- Fadel, M.; Hegab, N.A.; Abd El-Wahabb, E. Temperature and light soaking dependence of the dc electrical conductivity of binary amorphous Sb–Se Films. Vacuum 1999, 53, 367–372. [Google Scholar] [CrossRef]
- Wei, M.; Shi, X.L.; Zheng, Z.H.; Li, F.; Liu, W.D.; Xiang, L.P.; Chen, Z.G. Directional thermal diffusion realizing inorganic Sb2Te3/Te hybrid thin films with high thermoelectric performance and flexibility. Adv. Funct. Mater. 2022, 32, 2207903. [Google Scholar] [CrossRef]
- Wang, X.P.; Li, X.B.; Chen, N.K.; Chen, B.; Rao, F.; Zhang, S. Phase-change-memory process at the limit: A proposal for utilizing monolayer Sb2Te3. Adv. Sci. 2021, 8, 2004185. [Google Scholar] [CrossRef] [PubMed]
- Liu, B.; Liu, W.; Li, Z.; Li, K.; Wu, L.; Zhou, J.; Sun, Z. Y-doped Sb2Te3 phase-change materials: Toward a universal memory. ACS Appl. Mater. Interfaces 2020, 12, 20672–20679. [Google Scholar] [CrossRef]
- Sosso, G.C.; Caravati, S.; Bernasconi, M. Vibrational properties of crystalline Sb2Te3 from first principles. J. Phys. Condens. Matter 2009, 21, 095410. [Google Scholar] [CrossRef] [PubMed]
- Wang, J.J.; Wang, J.; Xu, Y.; Xin, T.; Song, Z.; Pohlmann, M.; Zhang, W. Layer-switching mechanisms in Sb2Te3. Phys. Status Solidi RRL Rapid Res. Lett. 2019, 13, 1900320. [Google Scholar] [CrossRef]
- Xu, B.; Zhang, J.; Yu, G.; Ma, S.; Wang, Y.; Wang, Y. Thermoelectric properties of monolayer Sb2Te3. J. Appl. Phys. 2018, 124, 165104. [Google Scholar] [CrossRef]
- Farid, A.M.; Atyia, H.E.; Hegab, N.A. AC conductivity and dielectric properties of Sb2Te3 thin films. Vacuum 2005, 80, 284–294. [Google Scholar] [CrossRef]
- Ulutas, K.; Deger, D.; Yakut, S. Thickness dependence of the dielectric properties of thermally evaporated Sb2Te3 thin films. J. Phys. Conf. Ser. 2013, 417, 012040. [Google Scholar] [CrossRef]
- Elliott, S.R. Ac conduction in amorphous chalcogenide and pnictide semiconductors. Adv. Phys. 1987, 36, 135–217. [Google Scholar] [CrossRef]
- Jonscher, A.K. The ‘universal’ dielectric response. Nature 1977, 267, 673–679. [Google Scholar] [CrossRef]
- Long, A.R. Frequency-dependent loss in amorphous semiconductors. Adv. Phys. 1982, 31, 553–637. [Google Scholar] [CrossRef]
- Austin, I.G.; Mott, N.F. Polarons in crystalline and non-crystalline materials. Adv. Phys. 1969, 18, 41–102. [Google Scholar] [CrossRef]
- Mott, N.F.; Davis, E.A. Electronic Processes in Non-Crystalline Materials; Oxford University Press: Oxford, UK, 2012; 608p. [Google Scholar]
- Saito, Y.; Fons, P.; Kolobov, A.V.; Mitrofanov, K.V.; Makino, K.; Tominaga, J.; Robertson, J. High-quality sputter-grown layered chalcogenide films for phase change memory applications and beyond. J. Phys. D Appl. Phys. 2020, 53, 284002. [Google Scholar] [CrossRef]
- Nikonorova, N.A.; Balakina, M.Y.; Fominykh, O.D.; Sharipova, A.V.; Vakhonina, T.A.; Nazmieva, G.N.; Yakimansky, A.V. Dielectric spectroscopy and molecular modeling of branched methacrylic (co) polymers containing nonlinear optical chromophores. Mater. Chem. Phys. 2016, 181, 217–226. [Google Scholar] [CrossRef]
- Castro, R.A.; Ignatiev, A.I.; Nikonorov, N.V.; Sidorov, A.I.; Stolyarchuk, M.V. Dielectric properties of silver-containing photo-thermo-refractive glass in temperature range of −50 to +250 °C: The role of hybrid molecular clusters. J. Non-Cryst. Solids 2017, 461, 72–79. [Google Scholar] [CrossRef]
- Kononov, A.A.; Castro, R.A.; Glavnaya, D.D.; Anisimova, N.I.; Bordovsky, G.A.; Kolobov, A.V.; Fons, P. Dielectric relaxation and charge transfer in amorphous MoS2 thin films. Phys. Status Solidi B 2020, 257, 2000114. [Google Scholar] [CrossRef]
- Castro, R.A.; Grabko, G.I.; Kononov, A.A. Low-Frequency Dielectric Relaxation in Iron-Doped Ge28.5Pb15S56.5 Glassy System. Semiconductors 2018, 52, 1160–1162. [Google Scholar] [CrossRef]
- Elliott, S.R. Temperature dependence of ac conductivity of chalcogenide glasses. Philos. Mag. B 1978, 37, 553–560. [Google Scholar] [CrossRef]
- Angell, C.A. Mobile ions in amorphous solids. Annu. Rev. Phys. Chem. 1992, 43, 693–717. [Google Scholar] [CrossRef]
- Lee, T.H.; Elliott, S.R. Chemical bonding in chalcogenides: The concept of multicenter hyperbonding. Adv. Mater. 2020, 32, 2000340. [Google Scholar] [CrossRef]
- Kononov, A.A.; Castro, R.A.; Saito, Y.; Fons, P.; Bordovsky, G.A.; Anisimova, N.I.; Kolobov, A.V. Dielectric relaxation in amorphous and crystalline Sb2Te3 thin films. J. Mater. Sci. Mater. Electron. 2021, 32, 14072–14078. [Google Scholar] [CrossRef]
- Zheng, Y.; Xia, M.; Cheng, Y.; Rao, F.; Ding, K.; Liu, W.; Feng, S. Direct observation of metastable face-centered cubic Sb2Te3 crystal. Nano Res. 2016, 9, 3453–3462. [Google Scholar] [CrossRef]









| T (K) | s | N (m−3) | Rω (Å) | WM (eV) |
|---|---|---|---|---|
| amorphous material | ||||
| 263 | 0.79 | 2.73 × 1026 | 3.26 | 0.68 |
| 273 | 0.72 | 1.31 × 1025 | 9.44 | 0.51 |
| 283 | 0.64 | 3.45 × 1023 | 33.35 | 0.40 |
| 293 | 0.58 | 1.19 × 1025 | 10.57 | 0.36 |
| 303 | 0.56 | 2.85 × 1025 | 7.95 | 0.35 |
| crystalline material | ||||
| 263 | 0.83 | 1.71 × 1026 | 3.22 | 0.81 |
| 273 | 0.79 | 6.17 × 1025 | 4.69 | 0.69 |
| 283 | 0.75 | 1.16 × 1025 | 8.52 | 0.58 |
| 293 | 0.69 | 2.56 × 1023 | 31.90 | 0.49 |
| 303 | 0.61 | 9.28 × 1023 | 21.97 | 0.40 |
Disclaimer/Publisher’s Note: The statements, opinions and data contained in all publications are solely those of the individual author(s) and contributor(s) and not of MDPI and/or the editor(s). MDPI and/or the editor(s) disclaim responsibility for any injury to people or property resulting from any ideas, methods, instructions or products referred to in the content. |
© 2023 by the authors. Licensee MDPI, Basel, Switzerland. This article is an open access article distributed under the terms and conditions of the Creative Commons Attribution (CC BY) license (https://creativecommons.org/licenses/by/4.0/).
Share and Cite
Castro, R.; Kononov, A.; Anisimova, N. High-Frequency Conductivity of Amorphous and Crystalline Sb2Te3 Thin Films. Coatings 2023, 13, 950. https://doi.org/10.3390/coatings13050950
Castro R, Kononov A, Anisimova N. High-Frequency Conductivity of Amorphous and Crystalline Sb2Te3 Thin Films. Coatings. 2023; 13(5):950. https://doi.org/10.3390/coatings13050950
Chicago/Turabian StyleCastro, Rene, Aleksei Kononov, and Nadezhda Anisimova. 2023. "High-Frequency Conductivity of Amorphous and Crystalline Sb2Te3 Thin Films" Coatings 13, no. 5: 950. https://doi.org/10.3390/coatings13050950
APA StyleCastro, R., Kononov, A., & Anisimova, N. (2023). High-Frequency Conductivity of Amorphous and Crystalline Sb2Te3 Thin Films. Coatings, 13(5), 950. https://doi.org/10.3390/coatings13050950

