Abstract
The resistance of microorganisms’ biofilms to antibacterials is a problem both for medicine and for many industries. Increasing the effectiveness of antimicrobial agents is an urgent task. The goal of the present work was to develop a new approach to development of anti-biofilm compositions based on conventional disinfectants in combination with enhancers (adjuvants). Methods of microbiology (viable cells count, model biofilms) and electron microscopy were employed. This research formulates the principles for selection of adjuvants. The adjuvants should: (1) increase the efficiency of decomposition of the biofilm matrix or/and (2) suppress the microbial protective mechanisms. For testing anti-biofilm compositions, two models of biofilms have been developed, on a solid surface at the interface with air or liquid. It was demonstrated that hydrogen peroxide, ethanol, isopropanol, and 4-hexylresorcinol enhanced the biocidal effect of disinfectants based on oxidants (peroxides and chlorine-containing) and quaternary ammonium salts by three to six orders of magnitude. Mechanisms of adjuvant action were mechanical decomposition of the matrix (by oxygen bubbles formed inside a biofilm in the case of hydrogen peroxide), coagulation of matrix polymers (in the case of alcohols), and a decrease in metabolism (in the case of 4-hexylresorcinol). The use of approved chemicals as adjuvants will accelerate the design of effective anti-biofilm antiseptics for medicine, social hygiene, and food manufactures and other industries.
1. Introduction
Biofilms (BF) of microorganisms are their mono- or multispecies populations that develop at the interfaces and are embedded in a matrix of extracellular polymers (EPM) synthesized by them. BF cells differ from planktonic ones in many respects: growth parameters, expression of specific genes, etc. In natural systems, more than 95% of the microbiota live on abiotic and biotic surfaces as biofilms [1,2,3,4]. Biofilm cells, unlike planktonic cells, are more resistant to stress factors, including antibiotics and disinfectants [5,6,7,8]. For this reason, BF are the subject of diverse studies in medicine and biotechnology, including many food industries [9,10,11]. Identifying BF, inhibiting their development, and removing BF from food processing equipment surfaces is an urgent problem [6,12].
One of the trends in the study of biofilms is identification of the causes of their resistance to antibiotics and disinfectants. The major cause is considered to be the so-called biofilm phenotype of the cells [13,14]. An important role is assigned to the protective properties of the extracellular polymer matrix (EPM) [4,15]. Direct evidence has been obtained for the protective role of the EPM of Gram-negative bacteria against the action of antibiotics on Gram-positive bacteria in binary BF [16,17].
In addition to the intrinsic high resistance of BF to stressors, adaptive resistance develops with continued use of disinfectants, further exacerbating the danger of BF as a source of infection and contamination in manufacturing plants [18].
The following groups of substances are used as disinfectants in food processing plants: phenols, chlorinated compounds, peroxide-based formulations (including hydrogen peroxide), quaternary amines (QAS) and tertiary amines, alcohols, and aldehydes [10,19].
It is known that the disinfectants, which are effective against planktonic bacterial cultures, often have no biocidal effect on BF [20]. Thus, the concentrations of chlorine-containing compounds, including chloramine and sodium salt of dichloroisocyanuric acid, as well as of aldehydes and alcohols, which are bactericidal for planktonic cultures, are not effective against mature biofilms. QAS-based disinfectants were insufficiently effective against Escherichia, Pseudomonas, Listeria, and Staphylococcus biofilms, even at higher concentrations. It is also known that negatively charged polysaccharides of the matrix are able to bind positively charged molecules of cationic surfactants (surfactants) and thus protect the biofilm cells from destruction [21].
Exopolysaccharides in the BF surface layers also inactivate hypochlorite ions, thus decreasing their activity [20,22].
As a consequence, special disinfectants for biofilm control are currently being developed [10]. As in the case of antibiotics, combinations of disinfectants are used to enhance their effect, which in some cases have positive results, e.g., when combining QAS and chlorine-containing disinfectants [23,24].
In some cases, augmentation of disinfectants activity is achieved by the action of additives that do not themselves have an antimicrobial effect, such as matrix-degrading enzymes or quorum sensing inhibitors [10,25].
Such additional substances can be considered as adjuvants (enhancers, boosters). This term, which was originally used only in medicine for immune response enhancers [26], then came to be used in agronomy [27,28,29]. Agronomic adjuvants aim to enhance the effect of the main component of the drug on a particular crop, e.g., by improving its penetration and assimilation. Agrotechnical adjuvants are most commonly used in pesticides, herbicides, foliar fertilizers, fungicides, and insecticides.
By analogy with these examples, additives that enhance the effect of antibiotics in both in vitro and in vivo systems [30,31] and have been shown to be highly effective are also termed adjuvants.
Some of the substances that enhance the effects of disinfectants in relation to BF are also in fact adjuvants (hydrolytic enzymes).
We suggested that the antibiofilm effect of disinfectants can be enhanced by combining them with certain compounds with known mechanisms of action, for example, the capability to destroy the EPM.
It is important to note that there is no consensus in the literature on the term describing the measure of disinfectants efficacy. The term “disinfecting” effect refers to a biocidal effect resulting in a decrease in the CFU titer/number by at least three orders of magnitude [32]. A “sterilizing” effect is understood to be either a complete elimination of microorganisms or a colony-forming units (CFU) titer/number decrease by six orders of magnitude or more [32]. We will adhere to this terminology.
The aim of the research was to develop new highly effective antibiofilm biocidal compositions based on approved disinfectants in combination with the substances (such as hydrogen peroxide, ethanol, isopropanol, and 4-hexylresorcinol) affecting the biofilm structure or the metabolism of microbial cells (adjuvants).
2. Materials and Methods
Disinfectants and adjuvants. The following disinfectants are approved for use in food processing plants for the treatment of work and production surfaces and were used in the experiments: (1) Dimax Chlor (EuroTipe Rus); (2) Foodlex OXY (MEDLEX); (3) BFR Biocide Enzyme (Detro Healthcare Kimya Sanayi A.Ş.); and (4) peracetic acid (Cryodez).
Dimax Chlor is based on the sodium salt of dichloroisocyanuric acid. The active ingredient is active chlorine, which is formed in the water during the dissolution of the drug. The recommended concentration is 0.038% (w/w) (0.02% by active chlorine) for sterilization of work surfaces; exposure time is at least 5 min.
Foodlex OXY contains as active ingredients: hydrogen peroxide (H2O2), at least 4.0%; peroxylactic acid, at least 3.0%; and other organic acids, at least 20.0%. The recommended concentration is 0.05% for sterilization of work surfaces; exposure time is at least 5 min. Peracetic acid, belonging to the same group of peroxide disinfectants, was used in the same concentration.
BFR Biocide Enzyme contains as active ingredients: didecyldimethylammonium chloride, 6.0%; NN-bis (3-aminopropyl)dodecyl amine, 3.0%); and benzalkonium chloride, 8.0%, as well as Enzumix polyenzymatic substance containing a 3%–5% mixture of enzymes of the carbohydrase group, corrosion protection additives and technological and functional components. The recommended concentration is 0.5% to sterilize work surfaces; exposure time is at least 5 min.
The working concentrations of all disinfectants have been selected according to the manufacturers’ recommendations.
Substances with different mechanisms of action were chosen as adjuvants to enhance the biocidal effect of the main disinfectant: (1) Hydrogen peroxide (3% and 6%, Sigma-Aldrich, St. Louis, MO, USA) is a strong oxidizing agent and produces oxygen gas bubbles when reacting with catalase-positive microorganisms; (2) 4-hexylresorcinol (0.02%, Sigma-Aldrich, St. Louis, MO, USA) is a structural modifier of biopolymers (proteins) and membranes; and (3) alcohols: Ethanol (Hippocrates Ltd., United Kingdom, London) and isopropanol (MEDESA, Moscow, Russia) (40%–20%) have a protein-denaturing and coagulating effect on polymer solutions.
All of these substances are approved for use as disinfectants.
Planktonic bacterial cultures. As an inoculum, overnight cultures of Escherichia coli strain K12 and Staphylococcus aureus strain 209 grown in rich LB medium (Miller, Luria-Bertani, Sigma-Aldrich) in 50-mL Falcon-type tubes with 5 mL medium were used. The inoculum was grown to the stationary growth phase in liquid LB medium on a rotary shaker (Biosan, Riga, Latvia) (5000 g) at 28 °C.
To obtain the inoculum of binary planktonic cultures of S. aureus and E. coli, their overnight cultures obtained as described above were mixed at a ratio of 3:1, respectively. The resulting inocula in an amount of 1% (vol) were added to 50 mL LB medium in 250-mL flasks. Binary cultures and monocultures were incubated on a rotary shaker (140 rpm) at 28 °C.
Effect of disinfectants on planktonic bacterial cultures. Disinfectants were added to the stationary-phase planktonic bacterial cultures (1 day) to the final concentrations given in Table 1 and incubated for 10 or 30 min at 28 °C on a rotary shaker (140 rpm). At the end of the exposure time, aliquots were taken and serial tenfold dilutions in saline (0.9% NaCl) were prepared. The CFU titer of each dilution was determined by a micro- methods plate count (using LB an agarized medium, 5–6 droplets per each point). The plates were incubated for 3 days, and the number of colony-forming units, CFU/mL of planktonic culture was determined.
Table 1.
Cell survival of planktonic stationary cultures (1 day) when exposed to different disinfectants for 10 and 30 min. Data are represented as CFU/mL and % of control before disinfectants treatment.
Biofilm models at the solid surface/air interface. Biofilms of this type were obtained by using fibrous easily degradable (dispersible) materials as substrates according to the methodology described earlier [33]. Squares (15 × 15 mm) were cut from commercial filters: (1) Paper filters (Whatman, black tape) or (2) glass fiber filters (Whatman GF/F). The filters were sterilized by autoclaving (20 min, 120 °C) and then put on the surface of LB-agarized medium in Petri dishes.
As inocula for single-species biofilms, overnight cultures of S. typhimurium strain TA 1535, St. aureus strain 209, and E. coli strain K12 grown in a LB medium as described above were used. To obtain the inocula for binary biofilms of St. aureus + S. typhimurium and St. aureus + E. coli, aliquots were mixed the ratios of 1:1 and 1:3, respectively, and diluted with a sterile LB medium to an OD590 value of 0.5. For the cultivation of single-species and binary biofilms, 20 µL of inoculum were applied to paper and fiberglass filters on the surface of an agarized medium in Petri dishes. The plates were then incubated in an incubator at 28 °C for 7 days.
Effect of disinfectants on biofilms. On the second and seventh days of biofilm growth, they were treated with disinfectants with and without adjuvants. Disinfectant solutions in sterile water were prepared immediately before application to the filters. Biofilm-bearing filters were removed from the growth medium surface, transferred to sterile Petri dishes, and 100 µL of disinfectant solutions were applied to each until the filter was completely wetted. Exposure time with disinfectants was 10 min.
The filters were then dispersed using an Ultra Turax homogenizer, IKA-WERKE (Staufen im Breisgau, Germany). A DT−20 series beaker with a rotor-stator insert was used for homogenization. The filter was transferred into a beaker containing 10 mL of sterile saline and dispersed at the following regimes: 10 s at 1000 rpm, 10 s at 2000 rpm, and 80 s at 3200 rpm. Aliquots of the obtained homogenates (100 µL) were diluted with 900 µL sterile saline, and tenfold serial dilutions were prepared. In each dilution, the number of viable cells (CFU/mL) was determined by the micro method, and the CFU titer in the primary filter homogenate was calculated.
Scanning electron microscopy. Bacterial biofilms grown on glass fiber filters were fixed with glutaric aldehyde and dehydrated in a series of ethanol solutions as follows: Glutaric aldehyde, 2.5% 90 min; washing with phosphate buffer (pH 7.2); ethanol 30% 2 min; 50% 7 min; 70% 5 min; 95% 5 min. Then, a fragment of the glass fiber filter with the biofilm was attached to the surface of a double-sided adhesive tape and mounted on a copper cylinder. Gold sputtering was performed in a JEOL FINE COAT−1100 ion sputtering machine (Jeol, Tokyo, Japan). Then, the cylinders were placed in the working chamber of a SEM Jeol JSM-IT200 (Jeol, Tokyo, Japan), and the surface of the samples was monitored using the supplied software (version No.ISMIT200-3E).
Data processing. All studies were conducted in triplicate; each repeat included two parallel experiments. While calculating the CFU titers, the mean values and the experimental errors were determined using the mean deviation of experimental values from the mean value function for 5–7 independent samples with Microsoft Office Excel 2010. Differences between the values were considered significant if they exceeded the experimental error level (typically 20% or less), in conformity with the Student’s t test for p = 0.05. In the figures, the data of typical experiments are represented as the mean values ± the experimental errors.
3. Results
The first phase of the work investigated the effect of disinfectants on planktonic cultures (verification of their antimicrobial efficacy) and then the effect on BF.
3.1. Action of Disinfectants on Planktonic Bacterial Cultures
The disinfectants were used in the concentrations recommended by the manufacturers, as well as in the concentrations that increased or decreased several times (Table 1).
Treatment of E. coli and St. aureus planktonic monocultures with Foodlex OXY for 30 min at the concentrations recommended by the manufacturer resulted in the number of viable cells decreased by 40%–80%, while Dimax Chlor decreased the number of viable cells by 65%–99%. A significant drop in the CFU number of planktonic monocultures of both Gram-positive and Gram-negative bacteria (by one order of magnitude or more) was observed only at the Foodlex OXY concentration, which were four times higher than recommended (0.2%) and at 30 min of exposure. Increasing Dimax Chlor concentration for four times above the recommended concentration (0.152%) resulted in a drastic decrease in the viable cell numbers on planktonic cultures, up to their complete elimination (Table 1).
For BFR Biocide Enzyme, the sterilizing effect was observed not only at the recommended concentration but also at those two and four times lower (0.25% and 0.125%) (Table 1).
Similar effects of those disinfectants were observed for a binary culture of St. aureus + E. coli (Table 1).
In order to investigate the effect of disinfectants on biofilms of model bacteria, the range of active concentrations was extended upward as well as downward.
3.2. Effect of Disinfectants on Single-Species and Binary Biofilms Formed on Glass Fiber Filters
Biofilms of two ages were used in the study: Young (2 days of growth) and mature (7 days of growth) with exposure times with disinfectants of 10 and 30 min. The results are presented as graphs in Figure 1.
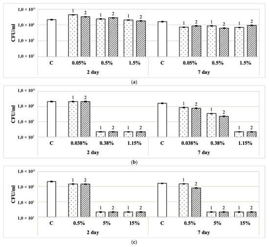
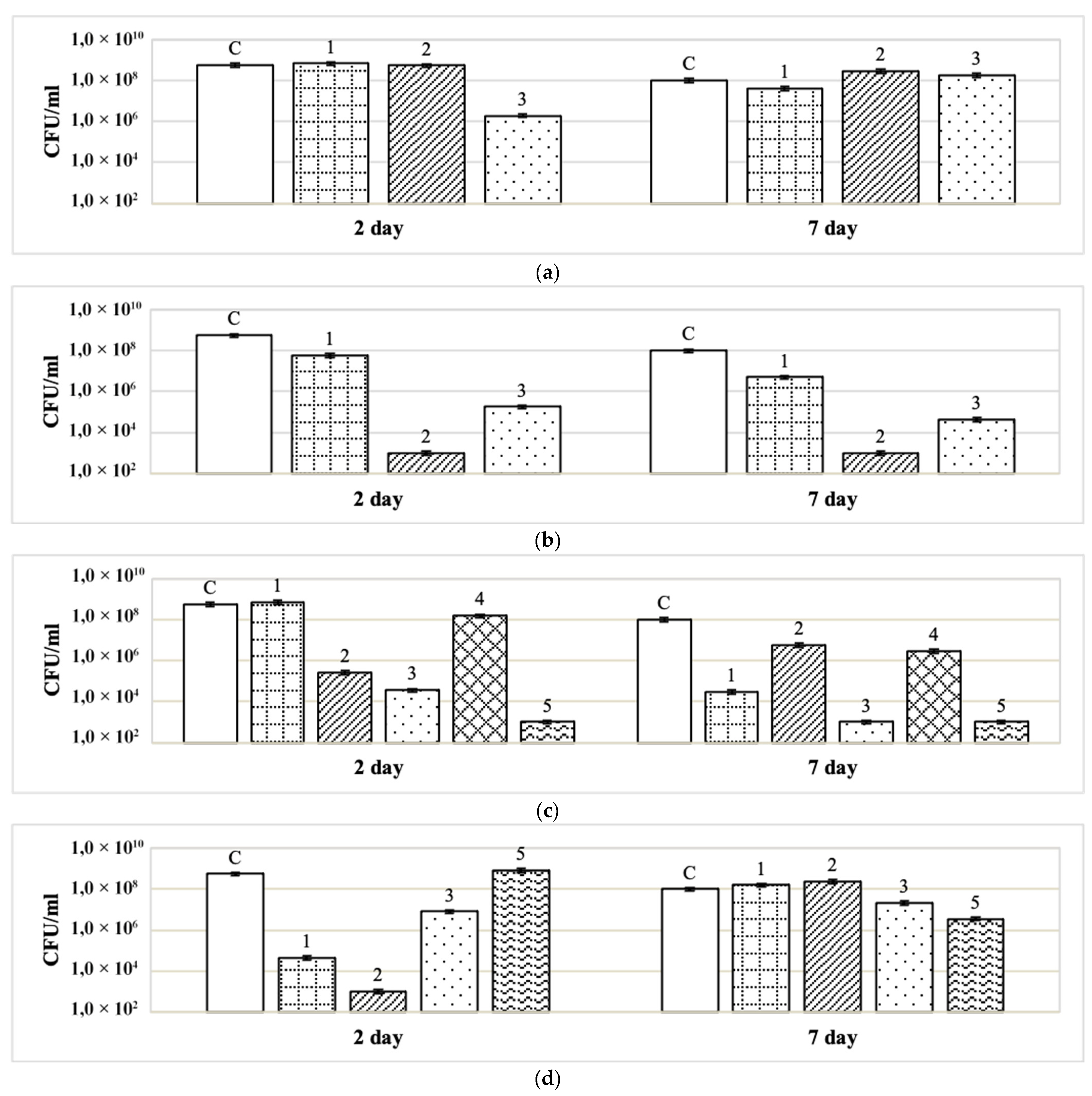
Figure 1.
Effect of disinfectants on cell survival (CFU/mL) of monospecies and binary biofilms of E. coli and S. aureus on days 2 and 7 of growth on glass fiber filters: (a) Foodlex OXY (0.2% vol); (b) Dimax Chlor (0.152% vol); (c) BFR Biocide Enzyme (0.125%, 0.25%, 0.5% vol). Designations: 1—action 10 min; 2—action 30 min. BBF—binary biofilms.
Foodlex OXY at the recommended concentration (0.038%) and at four times higher concentration (0.152%) had no significant effect on bacteria either in single-species or binary BF (BBF) (Figure 1a). Increasing the exposure time to 30 min did not enhance the effect.
Dimax Chlor at a concentration of 0.152% exhibited a biocidal effect, which was more pronounced against Gram-positive bacteria (St. aureus) (Figure 1b).
BFR Biocide Enzyme, like Foodlex OXY, had a small effect against both single-species and binary BF regardless of treatment time (Figure 1c).
Thus, the disinfectants we used were of little effectiveness against BF developing on glass fiber filters.
3.3. Action of Disinfectants on Binary Biofilms (St. aureus + S. typhimurium) Formed on Paper Filters
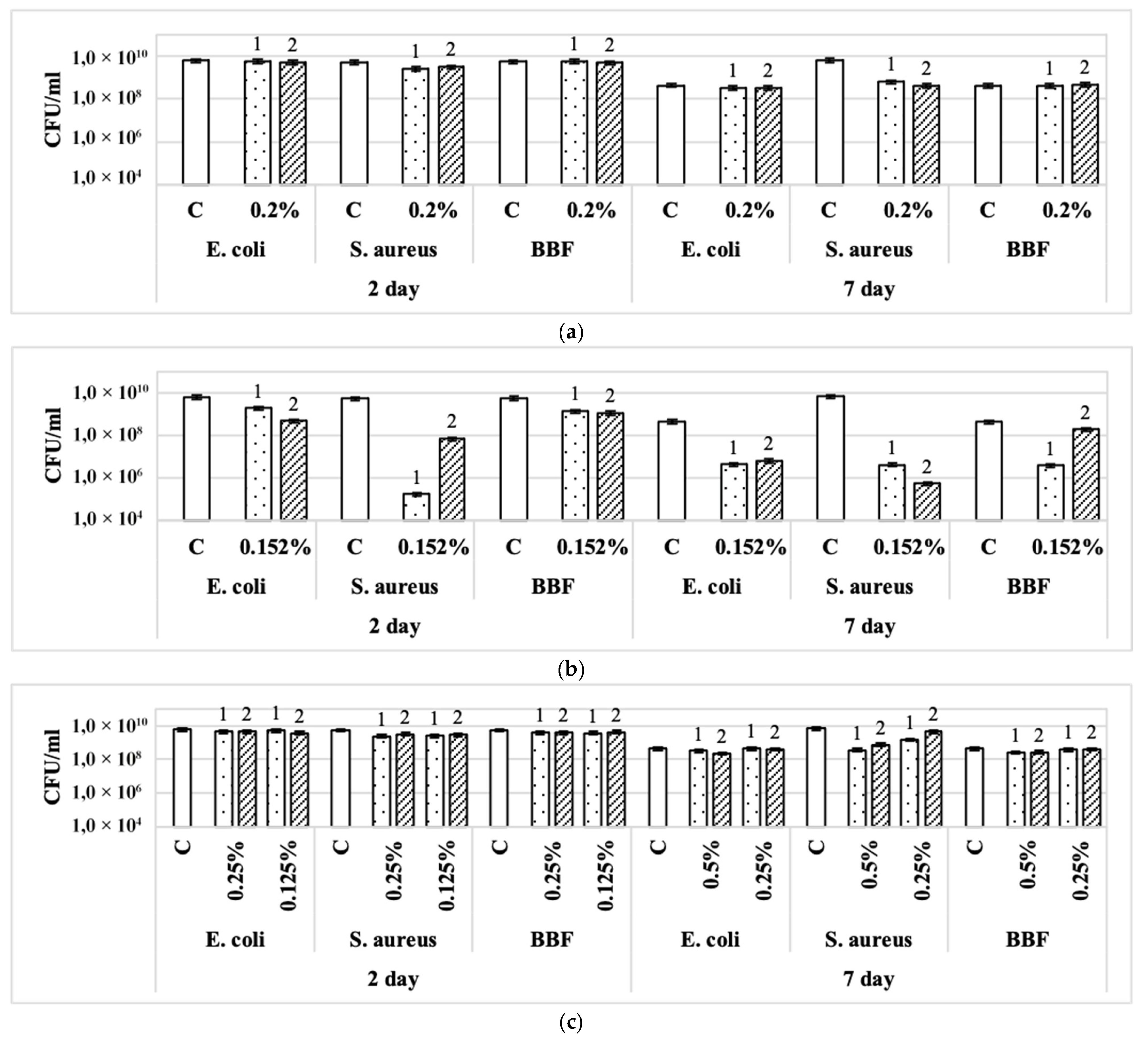
Foodlex OXY had little effect on both 2-day and 7-day binary BF (Figure 2a).

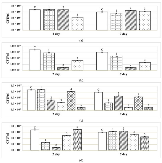
Figure 2.
Effect of disinfectants on cell survival (CFU/mL) of binary St. aureus + S. typhimurium biofilms on days 2 and 7 of growth on paper filters: (a) Foodlex OXY (0.0.5%, 0.5%, 1.5% vol); (b) Dimax Chlor (0.038%; 0.38%; 1.15% vol); (c) BFR Biocide Enzyme (0.5%, 5%, 1.5% vol); (d) peracetic acid (0.05%; 0.5%; 1.5% vol). Designations: 1—action 10 min; 2—action 30 min.
Dimax Chlor at higher concentrations (0.38% and 1.15%) than the recommended one (0.038%) exhibited a pronounced bactericidal effect on both 2-day and 7-day BF (the CFU titer decreased by 6 orders of magnitude) (Figure 2b).
The preparation of BFR Biocide Enzyme had a similar high antimicrobial effect (Figure 2c). However, both disinfectants exhibited a pronounced biocidal effect only at the concentrations exceeding the recommended ones, regardless of exposure time (10 or 30 min).
The action of peracetic acid (Figure 2d) at concentrations of 0.5% and 1.5% had a pronounced biocidal effect on 2-day binary BF but had little effect on 7-day binary BF.
The observed differences in the efficacy of peracetic acid and Dimax Chlor on biofilms of different ages (Figure 2b,d) were due to the greater persistence of old BF compared to young BF, as noted previously [34].
It should be noted that a pronounced biocidal effect of the applied disinfectants on bacteria in BF was found, firstly, only at concentrations higher than the recommended ones and, secondly, was more pronounced when acting on biofilms formed on paper filters compared to glass fiber filters (Figure 1 and Figure 2).
In order to stay within the recommended concentrations of the antimicrobials, while still maintaining their efficacy, an approach was used to increase the efficiency of the active ingredient through the synergistic effect of an additional compound, the adjuvant [30,31]. The following are the results of experiments on enhancing disinfectants with the use of specific adjuvants.
3.4. Cumulative Effect of Disinfectants and Adjuvants on Binary Biofilms (St. aureus + S. typhimurium)
In the concentrations used, the adjuvants applied individually had a very moderate biocidal effect on binary BF, after 30 min of contact decreasing the CFU titer of both young and mature BF by no more than three to seven times. It should be reminded that disinfectants used in the recommended concentrations were also ineffective when acting against binary biofilms grown and treated with disinfectants under the same conditions: the CFU titer decreased by no more than six times (Figure 2).
The results of the action of disinfectants with adjuvants on BF grown on paper filters are shown in Figure 3.
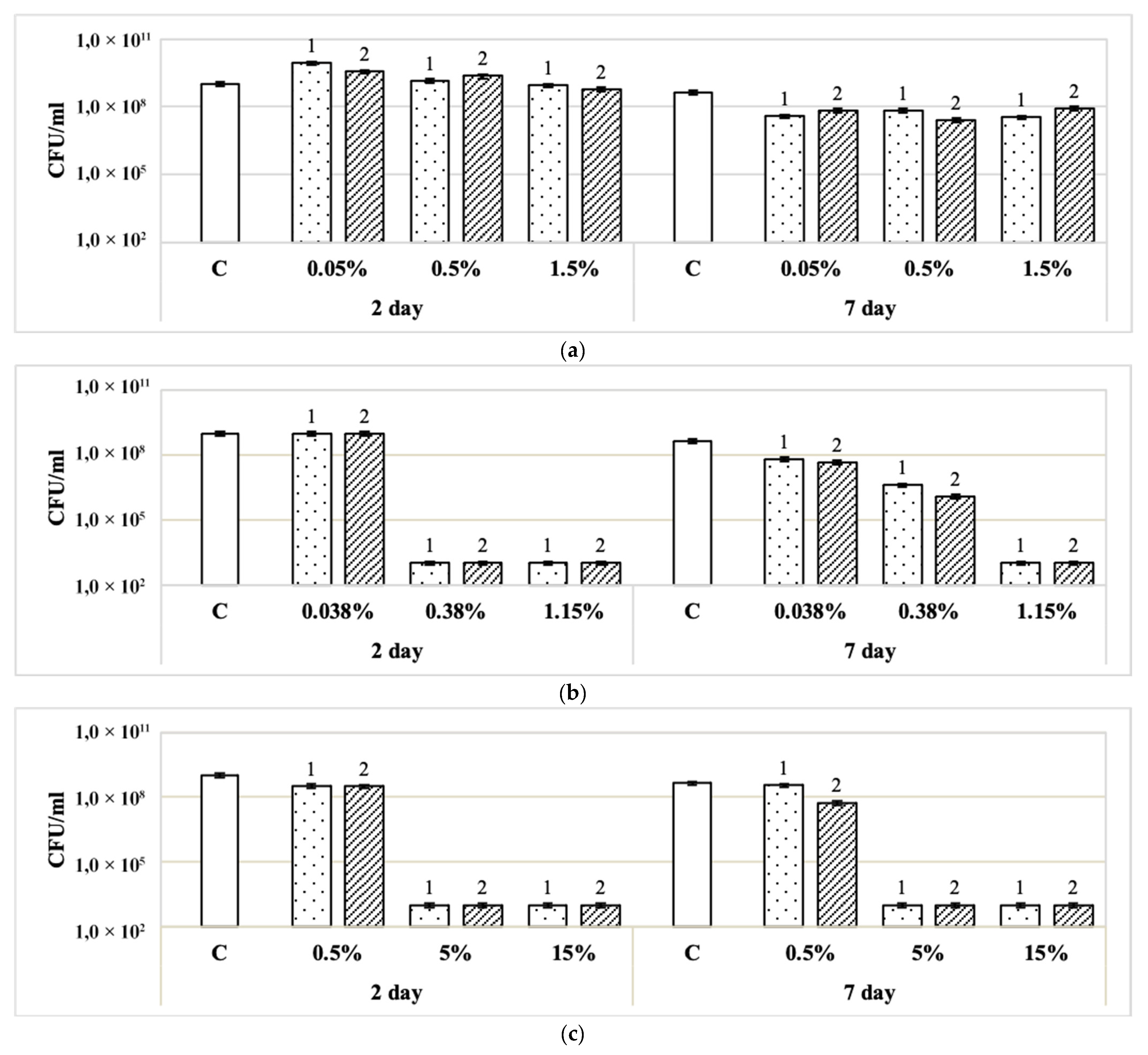
Figure 3.
Combined effect of disinfectants (in recommended concentrations) and adjuvants of different chemical nature on bacteria survival (CFU/mL) in binary biofilms (St. aureus + S. typhimurium) on days 2 and 7 of their growth on paper filters: (a) Foodlex OXY (0.0.5%); (b) Dimax Chlor (0.038%); (c) BFR Biocide Enzyme (0.5%); (d) peracetic acid (0.05%). Adjuvant designations: 1—hexylresorcinol (0.02%); 2—ethyl alcohol (30%); 3—isopropyl alcohol (30%); 4—hydrogen peroxide (3%); 5—hydrogen peroxide (6%).
The use of adjuvants did not significantly increase the efficacy of Foodlex OXY, and no sterilizing effect was achieved (Figure 3a).
The combined effect of Dimax Chlor with ethanol (30%) revealed a pronounced biocidal effect on both young and mature BF, i.e., 2-day- and 7-day-old BF. A decrease in CFU abundance by five orders of magnitude was achieved in the variants with ethanol (Figure 3b).
The combined action of BFR Biocide Enzyme with some adjuvants on both 2-day and 7-day BF showed high efficacy. The greatest biocidal effect (up to sterilizing effect) was observed for the combined action of this disinfectant with isopropyl alcohol and hydrogen peroxide (6%). The biocidal effect was less pronounced for disinfectants paired with hexylresorcinol (biofilms at 7 days) (Figure 3c).
A synergistic effect was also found for peracetic acid in combinations with ethanol (30%) and hexylresorcinol (0.02%) when acting on a 2-day biofilm (Figure 3d); the CFU titer decreased by more than four orders of magnitude.
Thus, for disinfectants that do not exhibit disinfectant and sterilizing activity when acting on young and mature BF in the recommended concentrations, an approach can be used to increase their effectiveness, combining them with adjuvants. In our studies, ethyl alcohol (30%), isopropyl alcohol (30%), hydrogen peroxide (6%) and, to a lesser extent, hexylresorcinol (0.02%) showed good results as adjuvants.
Data on the comparative biocidal activity of disinfectants (10-min exposure) against young and mature binary BF (S. typhimurium and S. aureus) grown on paper are presented in Table 2. The data show enforcement of most disinfectants when adjuvants were added so that in some cases a sterilizing effect was developed (decrease in the CFU number by six orders of magnitude [32]).
Table 2.
Decrease in cell titer in S. typhimurium + S. aureus binary biofilms of different ages, formed on paper filters, after exposure to disinfectants together with adjuvants for 10 min (number of orders of magnitude (decimal logarithms) of CFU/mL titer relative to the control and % of cells surviving cells from control).
A decrease in CFU numbers in binary BF by six orders of magnitude was observed for the combinations of Dimax Chlor (0.038%) + ethanol (30%) (both 2-day and 7-day BF), BFR Biocide Enzyme (0.5%) + isopropyl alcohol (30%) (7-day BF), and peracetic acid (0.05%) + ethanol (30%) (2-day BF). Combinations of BFR Biocide Enzyme (0.5%) + isopropyl alcohol (30%) and peracetic acid (0.05%) + hexylresorcinol (0.02%) decreased CFU counts in 2-day BF by four orders of magnitude.
3.5. Comparative Sensitivity to Disinfectants of the Biofilms Developing on Glass Fiber and Paper Filters
When analyzing the results obtained, it was noted that binary films grown on glass fiber filters (Figure 1) showed greater resistance to the action of disinfectants than the BF grown on paper filters (Figure 2). Therefore, a comparative study of the effect of disinfectants with adjuvants on the biofilms grown on paper and glass fiber filters was carried out (Figure 4, Table A1). Disinfectants were applied in recommended concentrations (Table 1). The exposure time was 10 min.
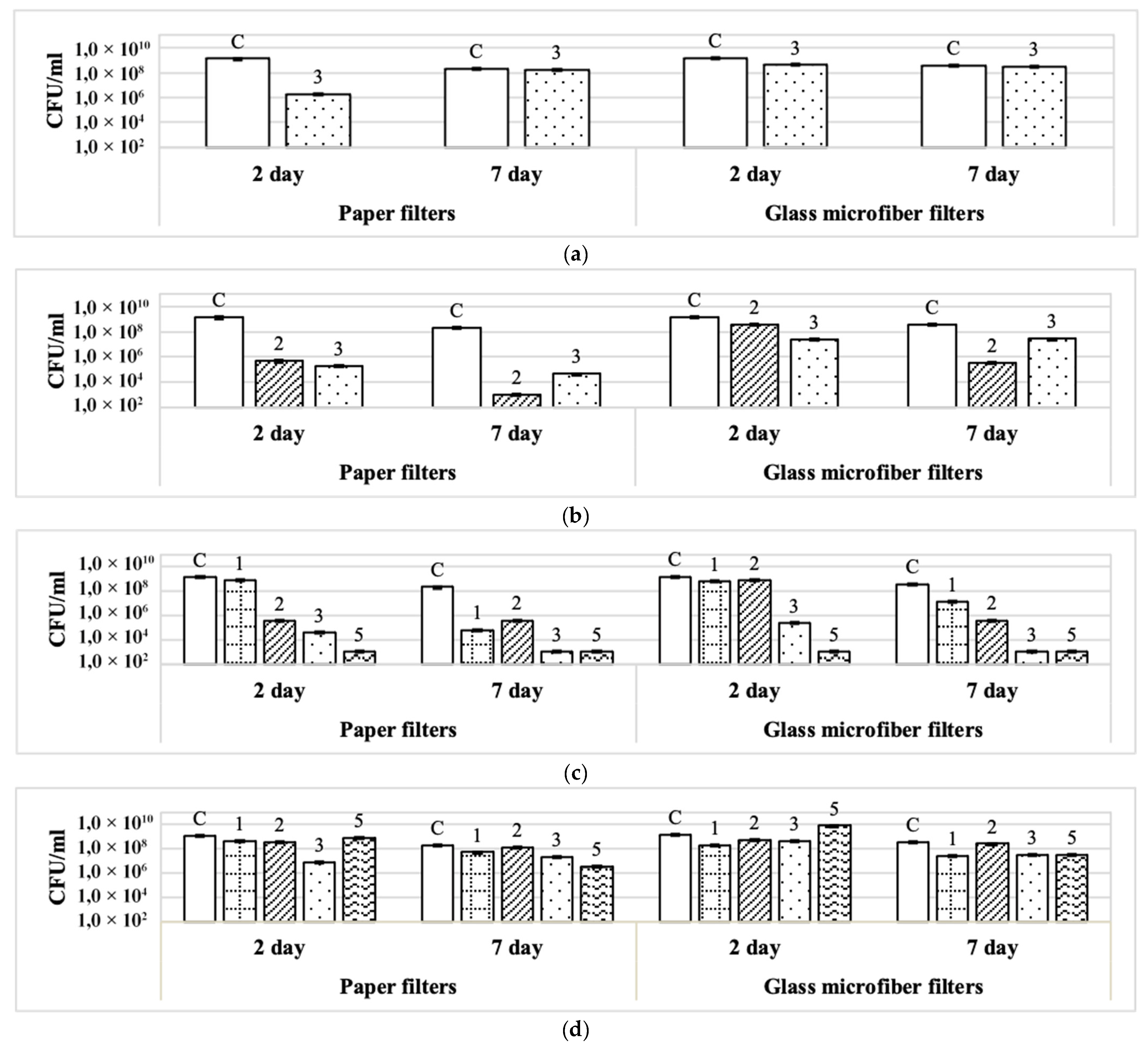
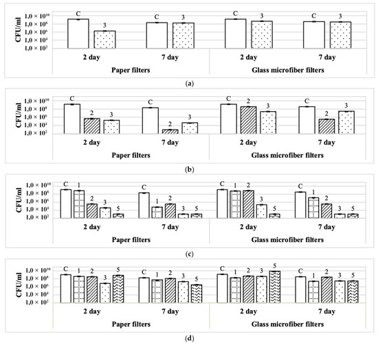
Figure 4.
Comparative effects of disinfectants (in recommended concentrations) and adjuvants of different chemical nature on cell survival (CFU/mL) in 2- and 7-day binarybiofilms (St. aureus + S. typhimurium) grown on paper filters and glass fiber filters: (a) Foodlex OXY (0.0.5%); (b) Dimax Chlor (0.038%); (c) BFR Biocide Enzyme (0.5%); (d) peracetic acid (0.05%). Adjuvant designations: 1—hexylresorcinol (0.02%); 2—ethyl alcohol (30%); 3—isopropyl alcohol (30%); 4—hydrogen peroxide (6%).
The combined effect of Foodlex OXY and isopropyl alcohol was slightly more pronounced against the BF developing on paper filters than on glass filters (Figure 4a).
The effect of Dimax Chlor together with ethyl or isopropyl alcohol was more pronounced against the BF developing on paper filters (Figure 4b), as was the effect of peracetic acid together with hexylresorcinol or ethyl alcohol (Figure 4c).
In contrast, BFR Biocide Enzyme in combination with isopropyl alcohol or hydrogen peroxide performed equally well on the BF formed on both paper and glass filters, while in combination with ethanol, it performed better on BF formed on paper filters (Figure 4c).
Thus, the most effective adjuvants were hydrogen peroxide (6%); isopropyl alcohol (30%); and ethyl alcohol (30%). Their combined application with BFR Biocide Enzyme and Dimax Chlor had a synergistic effect and caused a drop in the cell number of biofilm populations to <103 CFU/mL (below the experimental cell detection threshold and consistent with surface sterilization).
3.6. A Study of the Mechanisms of Action of the Adjuvants
Changes in matrix structure and integrity were recorded microscopically.
The action of the effective binary preparations BFR Biocide Enzyme (0.5%) + hydrogen peroxide (6% vol.) or isopropanol (30%) when viewed under a scanning microscope on biofilms formed on glass fiber filters is shown on Figure 5.
Figure 5.
Microphotographs of native binary biofilms of Salmonella typhimurium 1535 and Staphylococcus aureus st. 209 at 2 days of age, formed on a glass fiber filter, scale bar 5 µm: (a) Native biofilm (NBP); (b) NBP, after exposure to BFR Biocide Enzyme (10 min, 0.5%), depressions appear in the biofilm, some cells are released from the matrix; (c) NBP, after exposure to hydrogen peroxide (10 min, 6%), no solid fields of undamaged BP, smaller fragments of BF and clotted matrix are visible (inlay); (d) NBP, after exposure (10 min) to BFR Biocide Enzyme (0.5%) together with hydrogen peroxide (6%), depressed channels, cells devoid of matrix and half cells are visible (black spheres in the inset); (e) NBP, after exposure to isopropanol (10 min, 30%), matrix rupture is clearly visible; (f) NBP, after exposure (10 min) to BFR Biocide Enzyme (0.5%) together with isopropanol (30%), matrix rupture, its clots are visible.
Figure 5a shows multicellular conglomerates of cells from a mixed biofilm culture of St. aureus + S. typhimurium. The arrays of cells, united by a well-formed matrix, are situated within the interweaving of glass fibers. After exposure to BFR Biocide Enzyme (10 min), depressions appeared in the biofilm due to matrix breakdown, some cells appeared “naked”, outside the matrix, but no critical changes in the BF structure were observed (Figure 5b). After exposure to H2O2 (10 min), the matrix was partially destroyed; small caverns and individual clots of matrix are visible (Figure 5c). After the combined action of disinfectants with the adjuvant (H2O2), wide and deep gaps were visible in the biofilm as a consequence of matrix destruction (Figure 5d), as well as many cells torn into halves (black hemispheres on Figure 5d). Treatment with isopropanol led to aggregation of the BF matrix, which was evident from its cracking and the appearance of gaps between the BF pieces (Figure 5e). The addition of BFR Biocide Enzyme did not change the picture much. Figure 5f shows the matrix clot and behind it the gaps leading deep into the biofilm.
4. Discussion
The main result of this research, both theoretically and practically important, is to expand our knowledge about the development of microbial biofilms and methods of their effective suppression. A comparative analysis of BF resistance to disinfectants was carried out in this work, depending on the age of BF, the material on which BF developed, and the type of disinfectants used individually or in combination with other substances and adjuvants.
It was shown for the first time that BF formed on paper filters were more sensitive to the same disinfectants when developing under the same conditions compared to glass fiber filters. Since the composition of BF was identical (St. aureus + S. typhimurium) and they were formed on the same nutrient media (LB broth) at identical temperatures, differences in resistance to disinfectants may only depend on the substrate material and the properties of the populations grown on them. Cellulose fibers are characterized by greater hydrophilicity, and the BF grown on paper filters are characterized by greater moisture content and lower density. This leads to two consequences affecting BF resistance to disinfectants: (1) High moisture content and hydrophilicity contribute to lesser BF development [35], a higher part of the population being in a planktonic (non-biofilm) state, and highly sensitive to disinfectants; and (2) higher density of BF (as on the surface of glass fiber filters) provides greater protection against disinfectants, as described in [34]. The phenomenon of BF resistance to disinfectants depending on the bed material (glass or cellulose), noted for the first time, needs further research and should be considered in the process of the sanitization of manufacturing facilities, as well as in medical institutions.
The results obtained on the pronounced synergistic effect of the adjuvants and traditional disinfectants confirm the correctness of the assumptions made at the beginning of this work on the mechanisms of the action of the adjuvants and significantly broaden the knowledge of biofilm control methods.
Several dozens of special substances of different types of action on biofilms have been proposed to combat BF (inhibiting the synthesis or destroying the matrix components and cellular structures of the biofilm phenotype, enzymes–hydrolases, disrupting signal transduction, inhibitors of cellular metabolism, etc.) [35,36]. A possible obstacle to the practical application of new substances and approaches is their untested nature in the conditions of real manufacturers or medical institutions, the absence of safety reports, and approvals.
An important trend in the fight against BF is the development of complex disinfectants from among the known and used ones, which, in our opinion, is more effective, as it relies on the use of substances already approved for practical application, with known mechanisms of action. Numerous examples of such combinations are known [19,37,38].
Successful applications of disinfectants in combination with physical [39,40] and biological factors [41] have also been described. Enhanced antimicrobial action on biofilms in the presence of ultrasound [39], a rotating magnetic field [40], or antagonist bacteria (Pseudomonas aeruginosa) has been demonstrated [41].
Within the framework of the rather obvious combinatorial approach, where two antimicrobial factors are used [42], there is an approach that involves the use of an additional effect or substance that does not necessarily exhibit a biocidal effect but enhances the effect of the other biocide. Such additional substances are called adjuvants (enhancers). Some substances that enhance the action of disinfectants in relation to BF are also essentially adjuvants (e.g., hydrolase enzymes) [43,44]. Adjuvants are additives that enhance the action of antibiotics in both in vitro and in vivo systems and have been shown to be highly effective [30,31,45]. One of these compounds, 4-hexylresorcinol, nonspecifically lowers the defense mechanisms of microbial cells [30], making it a versatile adjuvant.
In the present study, a similar approach was used, using compounds of a different chemical nature and different types of action as broad-spectrum adjuvants, which have no pronounced disinfecting effect in the concentrations recommended. Due to the non-specificity of the action of the adjuvants, they exhibited a synergistic effect against disinfectants with different mechanisms of antimicrobial action.
Adjuvants that additionally disrupted the matrix structure—H2O2 (due to matrix rupture by generated oxygen bubbles) and alcohols (causing coagulation of the matrix biopolymers)—increased the biocidal activity of BFR Biocide Enzyme to the greatest extent. Moreover, hydrogen peroxide additionally created a strong oxidative stress, which enhanced the biocidal effect of quaternary ammonium salts contained in this disinfectant (Figure 3b, Table 2). Without additional matrix degradation, the QAS (polycations) bound to the negatively charged acidic polymers of the biofilm matrix. Additional ‘passages’ and gaps in the matrix and its ‘compression’ during coagulation allowed QAS to penetrate into the BF and reach the cells, exerting a biocidal effect on them.
The most effective enhancement of Dimax Chlor, whose active ingredient is active chlorine, was observed when it was combined with alcohols, which disrupt the matrix structure as noted above (Figure 3b, Table 2).
The effectiveness of disinfectants belonging to the oxidant group (Foodlex OXY and peracetic acid) was little affected by the adjuvants used; isopropyl alcohol had little effect and only on young BF (Figure 4a,d, Table 2 and Table A1).
It was unexpected that 4-HR, which proved to be an effective and versatile antibiotic adjuvant [30], enhanced the action of disinfectants in a very limited way—only of peracetic acid against young BF and BFR Biocide Enzyme against old BF. Apparently, the BF matrix is an effective barrier to 4-HR. The lack of a universal adjuvant (capable of reinforcing all disinfectants) and, in some cases, the different effects on young and old BF, points to the need to investigate the reasons for these differences in further work.
When combining chemicals, it is important to consider their possible incompatibility/instability due to chemical or physical reactions. For example, mixing Dimax Chlor and hydrogen peroxide resulted in the oxidation of hydrogen peroxide and a release of oxygen, making it inappropriate to study such a combination.
A study of the effects of isopropanol and H2O2 on the structure of disinfectants confirmed the original hypothesis of their mechanism of action–disruption of the matrix structure (Figure 5), which allows targeted selection of adjuvants in further studies.
Analysis of the results suggests that the efficiency of biofilm disruption increases with simultaneous disruption (or destruction) of the extracellular polymeric matrix structure and antimicrobial action on cells exceeding their stress tolerance threshold. Given the limitations of the list of disinfectants approved in the food industry and their ineffectiveness against BF, it is advisable to use these disinfectants in combination with adjuvants, which will provide in some cases a three to six orders of magnitude reduction in bacterial abundance/titer.
Author Contributions
Conceptualization, Y.A.N. and E.V.D.; methodology, Y.A.N., T.A.P., E.V.D., T.A.P. and G.I.E.-R.; formal analysis, E.A.I. and E.V.D.; investigation, E.V.D. and E.A.I.; resources, A.A.S. and Y.K.Y.; data curation, T.A.P.; writing-original draft preparation, E.V.D. and Y.A.N.; writing-review and editing, T.A.P., G.I.E.-R. and A.A.S.; visualization, E.A.I.; supervision and project administration, Y.A.N.; funding acquisition, A.A.S. and Y.K.Y. All authors have read and agreed to the published version of the manuscript.
Funding
This research was funded by a grant of the Ministry of Science and Higher Education of the Russian Federation for large scientific projects in priority areas of scientific and technological development (subsidy identifier 075–15−2020–775) and, partially, by funds of the Ministry of Science and Higher Education of the Russian Federation for FIC Biotechnology RAS (Government Order № 122040800164-6B, “Microbiology of Innovative Biotechnology”) (work of T.A.P., T.A.P., G.I.E.-R., E.V.D. and E.A.I.).
Institutional Review Board Statement
Not applicable (as no experiments with humans or animals were conducted).
Informed Consent Statement
Not applicable (as no experiments with humans or animals were conducted).
Data Availability Statement
Not applicable (as no data except above shown have been deposited in any databases).
Acknowledgments
Electron microscopy studies were carried out using the equipment of the UNIQEM Microbial Collection Centre of the RAS Biotechnology Research Centre.
Conflicts of Interest
The authors declare no conflict of interest.
Appendix A
Table A1.
Cell survival (CFU/mL) of binary biofilm (S. typhimurium and St. aureus) of different ages, formed on different media (paper, glass) after exposure to combinations of disinfectants (10 min).
Table A1.
Cell survival (CFU/mL) of binary biofilm (S. typhimurium and St. aureus) of different ages, formed on different media (paper, glass) after exposure to combinations of disinfectants (10 min).
| Combinations of Disinfectants | Viable Cell Titer, CFU/mL | ||||
|---|---|---|---|---|---|
| Paper Filters | Paper Filters | ||||
| Age of the BP | |||||
| 2 Days | 7 Days | 2 Days | 7 Days | ||
| Control without Disinfectants | 1.3 × 109 | 2.1 × 108 | 1.5 × 109 | 3.7 × 108 | |
| Foodlex OXY 0.05% | +isopropyl alcohol 30% | 1.9 × 106 | 1.8 × 108 | 4.2 × 108 | 2.9 × 108 |
| Dimax Chlor 0.038% | +ethyl alcohol 30% | 4.6 × 105 | <103 | 3.9 × 108 | 3.2 × 104 |
| +isopropyl alcohol 30% | 1.8 × 105 | 4.4 × 104 | 2.3 × 107 | 2.7 × 107 | |
| BFR Biocide Enzyme 0.5% | +hexylresorcinol 0.02% | 7.1 × 108 | 6.0 × 104 | 6.1 × 108 | 1.3 × 107 |
| +ethyl alcohol 30% | 3.5 × 105 | 3.8 × 105 | 7.4 × 108 | 3.7 × 105 | |
| +isopropyl alcohol 30% | 1.0 × 103 | <103 | 2.3 × 105 | <103 | |
| +hydrogen peroxide 6% | <103 | <103 | <103 | <103 | |
| Peracetic Acid 0.05% | +hexylresorcinol 0.02% | 4.4 × 108 | 5.3 × 107 | 1.9 × 108 | 2.4 × 107 |
| +ethyl alcohol 30% | 3.6 × 108 | 1.6 × 108 | 5.3 × 108 | 2.7 × 108 | |
| +isopropyl alcohol 30% | 8.1 × 106 | 2.2 × 107 | 4.6 × 108 | 3.0 × 107 | |
| +hydrogen peroxide 6% | 8.2 × 108 | 3.6 × 106 | 8.3 × 109 | 3.5 × 107 | |
References
- Ciofu, O.; Moser, C.; Østrup, P.; Høiby, J.; Høiby, N. Tolerance and resistance of microbial biofilms. Nat. Rev. Microbiol. 2022, 20, 621–634. [Google Scholar] [CrossRef] [PubMed]
- Satpathy, S.; Sen, S.K.; Pattanaik, S.; Raut, S. Review on bacterial biofilm: An universal cause of contamination. Biocatal. Agric. Biotechnol. 2016, 7, 56–66. [Google Scholar] [CrossRef]
- Muhammad, M.H.; Idris, A.L.; Fan, X.; Guo, Y.; Yu, Y.; Jin, X.; Qiu, J.; Guan, X.; Huang, T. Beyond Risk: Bacterial Biofilms and Their Regulating Approaches. Front. Microbiol. 2020, 11, 928. [Google Scholar] [CrossRef]
- Flemming, H.C.; Wingender, J.; Szewzyk, U.; Steinberg, P.; Rice, S.A.; Kjelleberg, S. Biofilms: An emergent form of bacterial life. Nature Reviews. Microbiology 2016, 14, 563–575. [Google Scholar] [PubMed]
- Akinbobola, A.B.; Sherrya, L.; Mckay, W.G.; Ramage, G.; Williams, C. Tolerance of Pseudomonas aeruginosa in in-vitro biofilms to high-level peracetic acid disinfection. J. Hosp. Infect. 2017, 97, 162–168. [Google Scholar] [CrossRef]
- Alvarez-Ordóñez, A.; Coughlan, L.M.; Briandet, R.; Cotter, P.D. Biofilms in food processing environments: Challenges and opportunities. Annu. Rev. Food Sci. Technol. 2019, 10, 173–195. [Google Scholar] [CrossRef]
- Cai, L.; Li, Y.; Wang, H.; Xu, X.; Zhou, G. Biofilm formation by meat-borne Pseudomonas fluorescens on stainless steel and its resistance to disinfectants. Food Control 2018, 91, 397–403. [Google Scholar]
- Hall, C.W.; Mah, T.-F. Molecular mechanisms of biofilm-based antibiotic resistance and tolerance in pathogenic bacteria. FEMS Microbiol. 2017, 41, 276–301. [Google Scholar] [CrossRef]
- Srey, S.; Jahid, I.K.; Ha, S.D. Biofilm formation in food industries: A food safety concern. Food Control 2013, 31, 572–585. [Google Scholar] [CrossRef]
- Galié, S.; García-Gutiérrez, C.; Miguélez, E.M.; Villar, C.J.; Lombó, F. Biofilms in the Food Industry: Health Aspects and Control Methods. Front. Microbiol. 2018, 9, 898. [Google Scholar] [CrossRef]
- Chitlapilly, D.S.; Wang, R. Biofilm through the Looking Glass: A Microbial Food Safety Perspective. Pathogens 2022, 11, 346. [Google Scholar] [CrossRef] [PubMed]
- Gonzalez-Rivas, F.; Ripolles-Avila, C.; Fontecha-Umaña, F.; Ríos-Castillo, A.G.; Rodríguez-Jerez, J.J. Biofims in the spotlight: Detection, quantification and removal methods. Compr. Rev. Food Sci. Food Saf. 2018, 217, 1261–1276. [Google Scholar] [CrossRef] [PubMed]
- Stewart, P.; Franklin, M. Physiological heterogeneity in biofilms. Nat. Rev. Microbiol. 2008, 6, 199–210. [Google Scholar] [CrossRef] [PubMed]
- Wimpenny, J.; Manz, W.; Szewzyk, U. Heterogeneity in biofilms. FEMS Microbiol. Rev. 2000, 24, 661–671. [Google Scholar] [CrossRef]
- Yuan, L.; Burmølle, M.; Sadiq, F.A.; Wang, N.; He, G. Interspecies variation in biofilm-forming capacity of psychrotrophic bacterial isolates from Chinese raw milk. Food Control 2018, 91, 47–57. [Google Scholar] [CrossRef]
- Zhurina, M.V.; Nikolaev, Y.A.; Plakunov, V.K. Role of the extracellular polymer matrix in azithromycin protection of Chromobacterium violaceum biofilms. Microbiology 2019, 88, 505–508. [Google Scholar] [CrossRef]
- Plakunov, V.K.; Nikolaev, Y.A.; Gannesen, A.V.; Chemaeva, D.S.; Zhurina, M.V. A New Approach to Detection of the Protective Effect of Escherichia coli on Gram-Positive Bacteria in Binary Biofilms in the Presence of Antibiotics. Microbiology 2019, 88, 275–281. [Google Scholar] [CrossRef]
- Sanchez-Vizuete, P.; Orgaz, B.; Aymerich, S.; Le Coq, D.; Briandet, R. Pathogens protection against the action of disinfectants in multispecies biofilms. Food Microbiol. 2015, 6, 705. [Google Scholar] [CrossRef]
- McDonnell, G.; Russell, A.D. Antiseptics and disinfectants: Activity, action, and resistance. Clin. Microbiol. 1999, 12, 147–179. [Google Scholar] [CrossRef]
- Brown, M.R.W.; Gilbert, P. Sensitivity of biofilms to antimicrobial agents. J. Appl. Bacteriol. 1993, 74, 875–975. [Google Scholar] [CrossRef]
- Aggarwal, S.; Ikram, S. Surface modification of polysaccharide nanocrystals. In Innovation in Nano-Polysaccharides for Eco-Sustainability; Elsevier: Amsterdam, The Netherlands, 2022; Volume 1, pp. 133–161. [Google Scholar]
- Gómez de Saravia, S.G.; Lorenzo de Mele, M.F. Non-invasive methods for monitoring biofilm growth in industrial water systems. Lat. Am. Appl. Res. 2003, 33, 353–359. [Google Scholar]
- Carrascosa, C.; Raheem, D.; Ramos, F.; Saraiva, A.; Raposo, A. Microbial Biofilms in the Food Industry—A Comprehensive. J. Environ. Res. Public Health 2021, 18, 2014. [Google Scholar] [CrossRef]
- Smolik, N.A.; Rusznak, L.H.; Jenson, D.A. Biocidal Blends of Quaternary Ammonium Compounds and Chlorine Dioxide. U.S. Patent US5611938A, 18 March 1997. [Google Scholar]
- Delhalle, L.; Taminiau, B.; Fastrez, S.; Fall, A.; Ballesteros, M.; Burteau, S.; Daube, G. Evaluation of Enzymatic Cleaning on Food Processing Installations and Food Products Bacterial Microflora. Front. Microbiol. 2020, 11, 1827. [Google Scholar] [CrossRef] [PubMed]
- Alpatova, N.A.; Autovia, Z.L.; Lysikova, S.L.; Gelovinskaya, O.V.; Gaydereva, L.A. General Characteristics of Adjuvants and Their Mechanism of Action (Part 1). Bioprep. Prev. Diagn. Treat. 2020, 20, 245–256. [Google Scholar] [CrossRef]
- dos Santos, C.A.M.; do Nascimento, J.; Gonçalves, K.C.; Smaniotto, G.; de Freitas Zechin, L.; da Costa Ferreira, M.; Polanczyk, R.A. Compatibility of Bt biopesticides and adjuvants for Spodoptera frugiperda control. Sci. Rep. 2021, 11, 5271. [Google Scholar] [CrossRef]
- Bhardwaj, R.; Prakash, O.; Tiwari, S.; Maiti, P.; Ghosh, S.; Singh, R.K.; Maiti, P. Efficient Herbicide Delivery through a Conjugate Gel Formulation for the Mortality of Broad Leaf Weeds. ACS Omega 2022, 7, 19964–19978. [Google Scholar] [CrossRef] [PubMed]
- Palma-Bautista, C.; Vazquez-Garcia, J.G.; Travlos, I.; Tataridas, A.; Kanatas, P.; Domínguez-Valenzuela, J.A.; Prado, R. Effect of Adjuvant on Glyphosate Effectiveness, Retention, Absorption and Translocation in Lolium rigidum and Conyza canadensis. Plants 2020, 9, 297. [Google Scholar] [CrossRef] [PubMed]
- Nikolaev, Y.A.; Tutel’yan, A.V.; Loiko, N.G.; Buck, J.; Sidorenko, S.V.; Lazareva, I.; Gostev, V.; Manzen’yuk, O.Y.; Shemyakin, I.G.; Abramovich, R.A.; et al. The use of 4-Hexylresorcinol as antibiotic adjuvant. PLoS ONE 2020, 15, e0239147. [Google Scholar] [CrossRef]
- Douafer, H.; Andrieu, V.; Phanstiel, O., 4th; Brunel, J.M. Antibiotic Adjuvants: Make Antibiotics Great Again! J. Med. Chem. 2019, 62, 8665–8681. [Google Scholar] [CrossRef]
- Mohapatra, S. Sterilization and Disinfection. In Essentials of Neuroanesthesia; Academic Press: Cambridge, MA, USA, 2017; pp. 929–944. [Google Scholar] [CrossRef]
- Plakunov, V.K.; Martyanov, S.V.; Teteneva, N.A.; Zhurina, M.V. Universal method for quantitative characterization of growth and metabolic activityof microbial biofilms in static models. Microbiology 2016, 85, 484–489. [Google Scholar] [CrossRef]
- Bas, S.; Kramer, M.; Stopar, D. Biofilm Surface Density Determines Biocide Effectiveness. Front. Microbiol. 2017, 8, 2443. [Google Scholar] [CrossRef]
- Roy, R.; Tiwari, M.; Donelli, G.; Tiwari, V. Strategies for combating bacterial biofilms: A focus on anti-biofilm agents and their mechanisms of action. Virulence 2018, 9, 522–554. [Google Scholar] [CrossRef] [PubMed]
- Verderosa, A.D.; Totsika, M.; Fairfull-Smith, K.E. Bacterial Biofilm Eradication Agents: A Current Review. Front Chem. 2019, 7, 824. [Google Scholar] [CrossRef] [PubMed]
- Denyer, S.P.; Hugo, W.B.; Harding, V.D. Synergy in preservative combinations. Int. J. Pharm. 1985, 25, 245–253. [Google Scholar] [CrossRef]
- Lambert, R.J.W.; Johnston, M.D.; Hanlon, G.W.; Denyer, S.P. Theory of antimicrobial combinations: Biocidemixtures—Synergy or addition? J. Appl. Microbiol. 2003, 94, 747–759. [Google Scholar] [CrossRef]
- Fan, L.; Idris, M.A.; Bilyaminu, I.B.; Liu, D. Sonodynamic antimicrobial chemotherapy: An emerging alternative strategy for microbial inactivation. Ultrason. Sonochem. 2021, 75, 105591. [Google Scholar] [CrossRef] [PubMed]
- Ciecholewska-Juśko, D.; Żywicka, A.; Junka, A.; Woroszyło, M.; Wardach, M.; Chodaczek, G.; Szymczyk-Ziółkowska, P.; Migdał, P.; Fijałkowski, K. The effects of rotating magnetic field and antiseptic on in vitro pathogenic biofilm and its milieu. Sci. Rep. 2022, 12, 8836. [Google Scholar] [CrossRef]
- Orazi, G.; Ruoff, K.L.; O’Toole, G.A. Pseudomonas aeruginosa Increases the Sensitivity of Biofilm-Grown Staphylococcus aureus to Membrane-Targeting Antiseptics and Antibiotics. MBio 2019, 10, 15–19. [Google Scholar] [CrossRef]
- Mehta, K.C.; Dargad, R.R.; Borade, D.M.; Swami, O.C. Burden of antibiotic resistance in common infectious diseases: Role of antibiotic combination therapy. J. Clin. Diagn. Res. 2014, 8, ME05. [Google Scholar] [CrossRef]
- Ramakrishnan, R.; Singh, A.K.; Singh, S.; Chakravortty, D.; Das, D. Enzymatic dispersion of biofilms: An emerging biocatalytic avenue to combat biofilm-mediated microbial infections. J. Biol. Chem. 2022, 298, 102352. [Google Scholar] [CrossRef]
- Jee, S.C.; Kim, M.; Sung, J.S.; Kadam, A.A. Efficient Biofilms Eradication by Enzymatic-Cocktail of Pancreatic Protease Type-I and Bacterial α-Amylase. Polymers 2020, 12, 3032. [Google Scholar] [CrossRef] [PubMed]
- Sutherland, R. β-Lactamase inhibitors and reversal of antibiotic resistance. Trends Pharmacol. Sci. 1991, 12, 227–232. [Google Scholar] [CrossRef] [PubMed]
Disclaimer/Publisher’s Note: The statements, opinions and data contained in all publications are solely those of the individual author(s) and contributor(s) and not of MDPI and/or the editor(s). MDPI and/or the editor(s) disclaim responsibility for any injury to people or property resulting from any ideas, methods, instructions or products referred to in the content. |
© 2023 by the authors. Licensee MDPI, Basel, Switzerland. This article is an open access article distributed under the terms and conditions of the Creative Commons Attribution (CC BY) license (https://creativecommons.org/licenses/by/4.0/).





