Experimental Study on Cutting Force and Surface Integrity of TC4 Titanium Alloy with Longitudinal Ultrasonic-Assisted Milling
Abstract
:1. Introduction
2. Materials and Methods
2.1. Longitudinal Ultrasonic Milling Characteristics
2.2. Experimental Setup
2.3. Experimental Design
3. Results
3.1. Analysis of Variance of Average Cutting Force
3.2. Effects of Different Factors on the Average Cutting Force
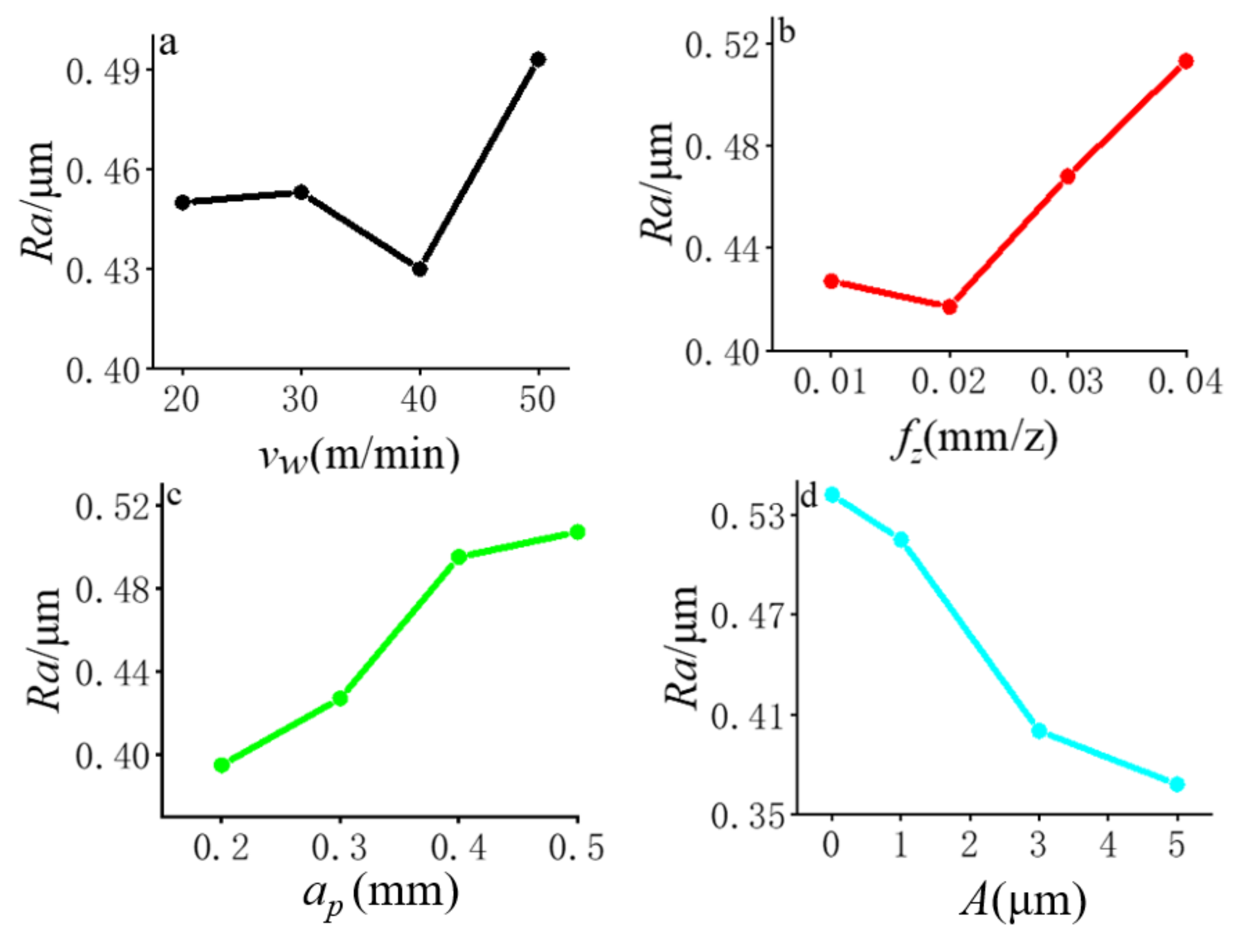
3.3. Surface Roughness Analysis of Orthogonal Test Results
3.3.1. Surface Roughness Analysis
3.3.2. Effects of Various Milling Parameters on Surface Roughness
3.4. Surface Morphology
3.5. Microstructure of the Cutting Section
3.6. Experimental Verification
4. Conclusions
- (1)
- By comparing CM and LUAM, it was found that applying LUAM can reduce the peak cutting force, due to the periodic high-speed contact and separation between the tool and workpiece, which reduces the cutting force to a certain extent. The average peak cutting force was reduced by 12.28%, effectively improving cutting performance.
- (2)
- After applying LUAM, the cutting forces in the x, y, and z directions were reduced by 15.22, 20.66, and 15.11%, respectively; the average surface roughness of the workpiece was reduced by 44.23%.
- (3)
- The LUAM processing of the workpiece significantly improved its surface quality. With increasing ultrasonic amplitude, a regular “sine/cosine” texture appeared on the surface of the workpiece. When this amplitude was increased to a certain degree, a “fish scale-like” texture appeared on the workpiece surface. The increase in ultrasonic amplitude improved the chip separation effect.
- (4)
- At higher milling/cutting speeds, the crystal lattice of the subprocessed surface material was distorted under the high stress of milling friction, and the grains became elongated and refined along the cutting direction. The irregular microstructure formed a directional plastic deformation layer of a certain depth. Under the same rotation speed, the thickness of the deformation layer of the LUAM-processed workpieces exceeded those of the CM-processed ones.
- (5)
- Ultrasonic-assisted machining forms regularly distributed surface microstructures, which can effectively store lubricating oil and have great significance for reducing the wear and lubrication of components with mutually moving working surfaces, such as in the manufacturing of high-performance bearings. Precision microtextured surfaces with special functions can be achieved by adjusting parameters such as frequency and amplitude of ultrasonic processing, which is of great significance for constructing wear-resistant and high-strength superhydrophobic surfaces.
Author Contributions
Funding
Institutional Review Board Statement
Informed Consent Statement
Data Availability Statement
Conflicts of Interest
References
- Yang, Z.C.; Zhu, L.D.; Zhang, G.X.; Ni, C.B.; Lin, B. Review of ultrasonic vibration-assisted machining in advanced materials. Int. J. Mach. Tools Manuf. 2020, 156, 103594. [Google Scholar] [CrossRef]
- Bai, W.; Gao, Y.; Sun, R.L. Vibration Assisted Machining: Fundamentals, Modelling and Applications; Springer: Singapore, 2023. [Google Scholar]
- Zheng, L.; Chen, W.Q.; Huo, D.H. Vibration Assisted Machining: Theory, Modelling and Applications; John Wiley & Sons Ltd.: Hoboken, NJ, USA; ASME Press: Hoboken, NJ, USA, 2021. [Google Scholar]
- Llanos, I.; Campa, Á.; Iturbe, A.; Iturbe, A.; Arrazola, P.J.; Zelaieta, O. Experimental analysis of cutting force reduction during ultrasonic assisted turning of Ti6Al4V. Procedia CIRP 2018, 77, 86–89. [Google Scholar] [CrossRef]
- Ali, M.H.; Khidhir, B.A.; Ansari, M.; Mohamed, B. FEM to predict the effect of feed rate on surface roughness with cutting force during face milling of titanium alloy. HBRC J. 2019, 9, 263–269. [Google Scholar] [CrossRef]
- Li, X.; Yang, S.L.; Lu, Z.H.; Zhang, D.Y.; Zhang, X.Y.; Jiang, X.G. Effect of ultrasonic peening cutting on surface integrity and fatigue behavior of Ti-6Al-4 V specimens. J. Mater. Process. Technol. 2019, 275, 116386. [Google Scholar] [CrossRef]
- Liang, X.L.; Liu, Z.Q.; Wang, B.; Cai, Y.K.; Ren, X.P. Progressive mapping surface integrity and multi-objective optimizing surface quality of machining Ti-6Al-4V based novel tool failure criterion. CIRP J. Manuf. Sci. Technol. 2023, 42, 81–94. [Google Scholar] [CrossRef]
- Zhu, L.D.; Ni, C.B.; Yang, Z.C.; Liu, C.F. Investigations of micro-textured surface generation mechanism and tribological properties in ultrasonic vibration-assisted milling of Ti-6Al-4V. Precis. Eng. 2019, 57, 229–243. [Google Scholar] [CrossRef]
- Liu, J.J.; Jiang, X.G.; Gao, Z.; Zhang, M.L.; Zhang, D.Y. Investigation of the effect of vibration amplitude on the surface integrity in high-speed rotary ultrasonic elliptical machining for side milling of Ti-6Al-4V. J. Mech. Eng. 2019, 55, 215–223. [Google Scholar] [CrossRef]
- Liu, J.J.; Jiang, X.G.; Han, X.; Gao, Z.; Zhang, D.Y. Effects of rotary ultrasonic elliptical machining for side milling on the surface integrity of Ti-6Al-4 V. Int. J. Adv. Manuf. Technol. 2019, 101, 1451–1465. [Google Scholar] [CrossRef]
- Kurpiel, S.; Zagórski, K.; Cieślik, J.; Skrzypkowski, K. Investigation of selected surface topography parameters and deformation during milling of vertical thin-walled structures from titanium alloy Ti6Al4V. Materials 2023, 16, 3182. [Google Scholar] [CrossRef]
- Peng, Z.L.; Zhang, X.Y.; Zhang, D.Y. Improvement of Ti-6Al-4V surface integrity through the use of high-speed ultrasonic vibration cutting. Tribol. Int. 2021, 160, 107025. [Google Scholar] [CrossRef]
- Zhao, X.F.; Jiang, X.T.; Shi, H.Y.; Zou, Z.C. Effect of cutting speed on chip shape and shear band of titanium alloy. Mach. Des. Manuf. 2020, 10, 171–175. [Google Scholar]
- Zhang, Z.M.; Tong, J.L.; Zhao, J.S.; Jiao, F.; Zai, P.H.; Liu, Z.Q. Experimental study on surface residual stress of titanium alloy curved thin-walled parts by ultrasonic longitudinal-torsional composite milling. Int. J. Adv. Manuf. Technol. 2021, 115, 1021–1035. [Google Scholar] [CrossRef]
- Wei, W.H. Fundamental Research on Machinability of Titanium Alloy by Thermo Hydrogen Treatment. Master Thesis, Nanjing University of Aeronautics and Astronautics, Nanjing, China, 2010. [Google Scholar]
- Li, F.Q.; Zhao, B.; Hao, W.S.; Wang, X.B. Surface morphology characteristics and effectiveness analysis of ultrasonic longitudinal torsion assisted milling of titanium alloys. China Mech. Eng. 2023, 34, 677–684. [Google Scholar]
- Lomaeva, T.V.; Kugultinov, S.D. Investigation of cutting modes effect on cutting force while machining titanium alloy BT6 (Russian State Standard GOST 19807-91). Mater. Today Proc. 2021, 38, 1307–1309. [Google Scholar] [CrossRef]
- He, Z.; Li, G.H.; Sun, Y. Development of experimental study on high-speed cutting of titanium alloys. Tool Eng. 2021, 55, 11–23. [Google Scholar]
- Shah, D.R.; Pancholi, N.; Gajera, H.; Patel, B. Investigation of cutting temperature, cutting force and surface roughness using multi-objective optimization for turning of Ti-6Al-4V(ELI). Mater. Today Proc. 2021, 50, 1379–1388. [Google Scholar] [CrossRef]
- Gao, H.H.; Ma, B.J.; Zhu, Y.P.; Yang, H. Enhancement of machinability and surface quality of Ti-6Al-4V by longitudinal ultrasonic vibration-assisted milling under dry conditions. Measurement 2022, 187, 110324. [Google Scholar] [CrossRef]
- Ni, C.B.; Zhu, L.D.; Ning, J.S.; Yang, Z.C.; Liu, C.F. Research on the characteristics of cutting force signal and chip in ultrasonic vibration-assisted milling of titanium alloys. J. Mech. Eng. 2019, 55, 207–216. [Google Scholar] [CrossRef]
- Hu, W.J.; Du, P.F.; Qiu, X.; Zhao, X.S.; Hu, Z.J.; Zhang, J.J.; Liu, Y.A. Enhanced dry machinability of TC4 titanium alloy by longitudinal-bending hybrid ultrasonic vibration-assisted milling. J. Clean. Prod. 2022, 379, 134866. [Google Scholar] [CrossRef]
- Sun, Y.J.; Li, J.; Li, J.F. Finite element analysis on prediction of tool wear in milling titanium. J. Mech. Eng. 2016, 52, 193–201. [Google Scholar] [CrossRef]
- Wang, Q.C.; Ming, W.W.; An, Q.L.; Chen, M. Wear mechanism of tool in milling high-strength titanium alloy TC18. J. Shanghai Jiaotong Univ. 2011, 45, 19–24. [Google Scholar]
- Tan, R.K.; Zhao, X.S.; Guo, S.S.; Zou, X.C.; He, Y.; Geng, Y.Q.; Hu, Z.J.; Sun, T. Sustainable production of dry-ultra-precision machining of Ti-6Al-4V alloy using PCD tool under ultrasonic elliptical vibration-assisted cutting. J. Clean. Prod. 2020, 248, 119254. [Google Scholar] [CrossRef]
- Gao, G.F.; Xia, Z.W.; Su, T.T.; Xiang, D.H.; Zhao, B. Cutting force model of longitudinal-torsional ultrasonic-assisted millingTi-6Al-4V based on tool flank wear. J. Mater. Process. Tech. 2021, 291, 117042. [Google Scholar] [CrossRef]
- Liu, Q.M.; Xu, J.K.; Yu, H.D. Experimental study of tool wear and its effects on cutting process of ultrasonic-assisted milling of Ti6Al4V. Int. J. Adv. Manuf. Technol. 2020, 108, 2917–2928. [Google Scholar] [CrossRef]
- Tian, Y.J.; Zou, P.; Kang, D.; Fan, F. Study on tool wear in longitudinal-torsional composite ultrasonic vibration–assisted drilling of Ti-6Al-4V alloy. Int. J. Adv. Manuf. Technol. 2021, 113, 1989–2002. [Google Scholar] [CrossRef]
- Zhang, M.L.; Zhang, D.Y.; Geng, D.X.; Liu, J.J.; Shao, Z.Y.; Jiang, X.G. Surface and sub-surface analysis of rotary ultrasonic elliptical end milling of Ti-6Al-4V. Mater. Des. 2020, 191, 108658. [Google Scholar] [CrossRef]
- Tao, C.H.; Liu, X.L. Evauation on Materials and Technics of Aviation Engine. Fail. Anal. Prev. 2007, 2, 14–20. [Google Scholar]
- la Monaca, A.; Murray, J.W.; Liao, Z.; Speidel, A.; Robles Linares, J.A.; Axinte, D.A.; Hardy, M.C.; Clare, A.T. Surface integrity in metal machining–Part II: Functional performance. Int. J. Mach. Tools Manuf. 2021, 164, 103718. [Google Scholar] [CrossRef]
- Bai, W.; Sun, R.L.; Leopold, J.; Silberschmidt Vadim, V. Microstructural evolution of Ti6Al4V in ultrasonically assisted cutting: Numerical modelling and experimental analysis. Ultrasonics 2017, 78, 70–82. [Google Scholar] [CrossRef]
- Velásquez, J.D.P.; Tidu, A.; Bolle, B.; Chevrier, P.; Fundenberger, J.J. Sub-surface and surface analysis of high speed machined Ti-6Al-4V alloy. Mater. Sci. Eng. A 2010, 527, 2572–2578. [Google Scholar] [CrossRef]
- Xu, J.; Feng, P.; Feng, F.; Zha, H.; Liang, G. Subsurface damage and burr improvements of aramid fiber reinforced plastics by using longitudinal-torsional ultrasonic vibration milling. J. Mater. Process. Technol. 2021, 297, 117265. [Google Scholar] [CrossRef]
- Tej, P.; Karali, P.; Dyakonov, A.A. Modeling Cutting Force in Micro-Milling of Ti-6Al-4V Titanium Alloy. Procedia Eng. 2015, 129, 134–139. [Google Scholar]
- Niu, Y.; Jiao, F.; Zhao, B.; Tong, J.L. Experiment of Machining Induced Residual Stress in Longitudinal Torsional Ultrasonic Assisted Milling of Ti-6Al-4V. Surf. Technol. 2019, 48, 41–51. [Google Scholar]
- Wang, X.M.; Han, J. Study on Surface Roughness of High Speed Milling of TC4 Titanium Alloy. Mach. Des. Manuf. 2019, 5, 232–240. [Google Scholar]
- Huang, B.Y. Chinese Materials Engineering Ceremony (Non-Ferrous Metal Materials Engineering); Chemical Industry Press: Beijing, China, 2006. [Google Scholar]
- Zhao, Y.Q.; Xin, S.W.; Chen, Y.N.; Mao, X.N. New Alloy Material-Titanium Alloy; China Railway Publishing House: Beijing, China, 2017. [Google Scholar]
- Grzesik, W. Advanced Machining Processes of Metallic Materials: Theory, Modelling, and Applications, 2nd ed.; Elsevier B.V. Press: Amsterdam, the Netherlands, 2017. [Google Scholar]
- Xie, W.B. Study on Cutting Force and Surface Integrity of TC18 Titanium Alloy by Longitudinal-Torsional Ultrasonic Vibration-Assisted Milling. Master Thesis, Chongqing University, Chongqing, China, 2022. [Google Scholar]
- Cheng, K.; Huo, D.H. Micro-Cutting Fundamentals and Applications; John Wiley & Sons Press: Hoboken, NJ, USA, 2013. [Google Scholar]
- Dong, R.H.; Xiao, B.H.; Fang, Y.S. The Theoretical Analysis of Orthogonal Test Designs. J. Anhui Institvte Archit. Ind. 2004, 12, 103–106. [Google Scholar]







| Tensile Strength (MPa) | Yield Strength (MPa) | Elongation (%) | Section Shrinkage (%) |
|---|---|---|---|
| 967 | 860 | 16.2 | 44.1 |
| Levels | A—Cutting Speed vw (m/min) | B—Feed Rate fz (mm/z) | C—Cutting Depth ap (mm) | D—Ultrasonic Amplitude A (μm) |
|---|---|---|---|---|
| 1 | 20 | 0.01 | 0.2 | 0 |
| 2 | 30 | 0.02 | 0.3 | 1 |
| 3 | 40 | 0.03 | 0.4 | 3 |
| 4 | 50 | 0.04 | 0.5 | 5 |
| No. | A— vw (m/min) | B— fz (mm/z) | C— ap (mm) | D— A (μm) | Fx (N) | Fy (N) | Fz (N) | Ra (μm) |
|---|---|---|---|---|---|---|---|---|
| 1 | 20 | 0.01 | 0.2 | 0 | 8.67 | 3.63 | 15.62 | 0.52 |
| 2 | 20 | 0.02 | 0.3 | 1 | 17.99 | 5.38 | 24.59 | 0.4 |
| 3 | 20 | 0.03 | 0.4 | 3 | 29.33 | 7.81 | 32.00 | 0.48 |
| 4 | 20 | 0.04 | 0.5 | 5 | 40.69 | 12.21 | 32.66 | 0.51 |
| 5 | 30 | 0.01 | 0.3 | 3 | 11.67 | 4.44 | 17.72 | 0.38 |
| 6 | 30 | 0.02 | 0.2 | 5 | 10.68 | 3.20 | 16.37 | 0.30 |
| 7 | 30 | 0.03 | 0.5 | 0 | 35.30 | 8.28 | 34.47 | 0.56 |
| 8 | 30 | 0.04 | 0.4 | 1 | 34.33 | 9.65 | 35.65 | 0.57 |
| 9 | 40 | 0.01 | 0.4 | 5 | 14.62 | 3.55 | 18.30 | 0.31 |
| 10 | 40 | 0.02 | 0.5 | 3 | 27.78 | 5.21 | 30.09 | 0.35 |
| 11 | 40 | 0.03 | 0.2 | 1 | 15.84 | 4.96 | 25.34 | 0.48 |
| 12 | 40 | 0.04 | 0.3 | 0 | 27.74 | 7.96 | 33.62 | 0.58 |
| 13 | 50 | 0.01 | 0.5 | 1 | 18.76 | 3.03 | 24.09 | 0.61 |
| 14 | 50 | 0.02 | 0.4 | 0 | 23.21 | 4.30 | 29.06 | 0.62 |
| 15 | 50 | 0.03 | 0.3 | 5 | 22.03 | 5.61 | 26.38 | 0.35 |
| 16 | 50 | 0.04 | 0.2 | 3 | 18.31 | 5.46 | 25.46 | 0.39 |
| Variance Source | DoF | Sum of Squared Deviations | F | Significance |
|---|---|---|---|---|
| vw (m/min) | 3 | 30.405 | 3.583 | |
| fz (mm/z) | 3 | 635.684 | 74.901 | 1 |
| ap (mm) | 3 | 657.992 | 77.529 | 1 |
| A (μm) | 3 | 10.967 | 1.292 | |
| Error | 3 | 8.49 |
| Variance Source | DoF | Sum of Squared Deviations | F | Significance |
|---|---|---|---|---|
| vw (m/min) | 3 | 15.983 | 7.129 | |
| fz (mm/z) | 3 | 64.038 | 28.563 | 1 |
| ap (mm) | 3 | 17.387 | 7.755 | |
| A (μm) | 3 | 0.519 | 0.231 | |
| Error | 3 | 2.24 |
| Variance Source | DoF | Sum of Squared Deviations | F | Significance |
|---|---|---|---|---|
| vw (m/min) | 3 | 1.412 | 0.434 | |
| fz (mm/z) | 3 | 388.881 | 119.435 | 1 |
| ap (mm) | 3 | 216.591 | 66.521 | 1 |
| A (μm) | 3 | 52.317 | 16.068 | 1 |
| Error | 3 | 3.26 |
| Measured Value | A—vw (m/min) | B—fz (mm/z) | C—ap (mm) | D—A (μm) |
|---|---|---|---|---|
| K1 | 24.173 | 13.429 | 13.375 | 23.732 |
| K2 | 22.993 | 19.916 | 19.859 | 21.730 |
| K3 | 21.496 | 25.628 | 25.373 | 21.772 |
| K4 | 20.578 | 30.267 | 30.633 | 22.006 |
| Range | 3.595 | 16.838 | 17.258 | 2.002 |
| Priorityof factors | ap > fz > vw > A | |||
| Optimal combination | A4B1C1D2 | |||
| Measured Value | A—vw (m/min) | B—fz (mm/z) | C—ap (mm) | D—A (μm) |
|---|---|---|---|---|
| K1 | 7.255 | 3.661 | 4.312 | 6.043 |
| K2 | 6.391 | 4.522 | 5.846 | 5.752 |
| K3 | 5.420 | 6.665 | 6.329 | 5.728 |
| K4 | 4.601 | 8.818 | 7.180 | 5.143 |
| Range | 2.654 | 5.157 | 2.868 | 0.415 |
| Priority of factors | fz > ap > vw > A | |||
| Optimal combination | A4B1C1D4 | |||
| Measured Value | A—vw (m/min) | B—fz (mm/z) | C—ap (mm) | D—A (μm) |
|---|---|---|---|---|
| K1 | 26.217 | 18.931 | 20.697 | 28.192 |
| K2 | 26.051 | 25.028 | 25.575 | 27.417 |
| K3 | 26.836 | 29.545 | 28.753 | 26.318 |
| K4 | 26.248 | 31.848 | 30.426 | 23.426 |
| Range | 0.785 | 12.917 | 9.631 | 4.766 |
| Priority of factors | fz > ap > A > vw | |||
| Optimal combination | A2B1C1D4 | |||
| Variance Source | Sum of Squares of Deviations | DoF | F Value | Significance |
|---|---|---|---|---|
| vw (m/min) | 0.009 | 3 | 0.500 | |
| fz (mm/z) | 0.018 | 3 | 1.000 | |
| ap (mm) | 0.024 | 3 | 1.333 | |
| A (μm) | 0.109 | 3 | 6.056 | 1 |
| Error | 0.02 | 3 |
| Measured Value | A—vw (m/min) | B—fz (mm/z) | C—ap (mm) | D—A (μm) |
|---|---|---|---|---|
| K1 | 0.450 | 0.427 | 0.395 | 0.542 |
| K2 | 0.453 | 0.417 | 0.427 | 0.515 |
| K3 | 0.430 | 0.468 | 0.495 | 0.400 |
| K4 | 0.493 | 0.513 | 0.507 | 0.368 |
| Range | 0.063 | 0.096 | 0.112 | 0.174 |
| Priority of factors | A > ap > fz > vw | |||
| Optimal combination | A3B2C1D4 | |||
| No | A— vw (m/min) | B— fz (mm/z) | C— ap (mm) | D— A (μm) | Fx (N) | Fy (N) | Fz (N) | Ra (μm) |
|---|---|---|---|---|---|---|---|---|
| V1 | 50 | 0.01 | 0.2 | 1 | 7.35 | 3.24 | 15.22 | 0.52 |
| V2 | 50 | 0.01 | 0.2 | 5 | 9.35 | 2.88 | 16.71 | 0.33 |
| V3 | 30 | 0.01 | 0.2 | 5 | 9.73 | 3.57 | 13.26 | 0.39 |
| V4 | 40 | 0.01 | 0.2 | 5 | 9.57 | 3.40 | 17.14 | 0.29 |
Disclaimer/Publisher’s Note: The statements, opinions and data contained in all publications are solely those of the individual author(s) and contributor(s) and not of MDPI and/or the editor(s). MDPI and/or the editor(s) disclaim responsibility for any injury to people or property resulting from any ideas, methods, instructions or products referred to in the content. |
© 2023 by the authors. Licensee MDPI, Basel, Switzerland. This article is an open access article distributed under the terms and conditions of the Creative Commons Attribution (CC BY) license (https://creativecommons.org/licenses/by/4.0/).
Share and Cite
Lü, Q.; Chai, Y.; Yang, L.; Liu, X.; Li, G.; Xiang, D. Experimental Study on Cutting Force and Surface Integrity of TC4 Titanium Alloy with Longitudinal Ultrasonic-Assisted Milling. Coatings 2023, 13, 1725. https://doi.org/10.3390/coatings13101725
Lü Q, Chai Y, Yang L, Liu X, Li G, Xiang D. Experimental Study on Cutting Force and Surface Integrity of TC4 Titanium Alloy with Longitudinal Ultrasonic-Assisted Milling. Coatings. 2023; 13(10):1725. https://doi.org/10.3390/coatings13101725
Chicago/Turabian StyleLü, Qingqing, Yongbo Chai, Liquan Yang, Xiaodong Liu, Guangxi Li, and Daohui Xiang. 2023. "Experimental Study on Cutting Force and Surface Integrity of TC4 Titanium Alloy with Longitudinal Ultrasonic-Assisted Milling" Coatings 13, no. 10: 1725. https://doi.org/10.3390/coatings13101725
APA StyleLü, Q., Chai, Y., Yang, L., Liu, X., Li, G., & Xiang, D. (2023). Experimental Study on Cutting Force and Surface Integrity of TC4 Titanium Alloy with Longitudinal Ultrasonic-Assisted Milling. Coatings, 13(10), 1725. https://doi.org/10.3390/coatings13101725
