High-Performance Polyimide Films Derived from Biomass-Based Furfural: Fabrication and Properties
Abstract
:1. Introduction
2. Experimental Section
2.1. Materials
2.2. Preparation of MAH by Oxidation of HFMA
2.3. Preparation of PA by Diels–Alder Reaction of MAH with Furan
2.4. Preparation of BPDA by PA Coupling
2.5. Preparation of PI by Polymerization of BPDA with PPD
3. Results and Discussion
3.1. FTIR Spectra Analysis
3.2. Tensile Strength
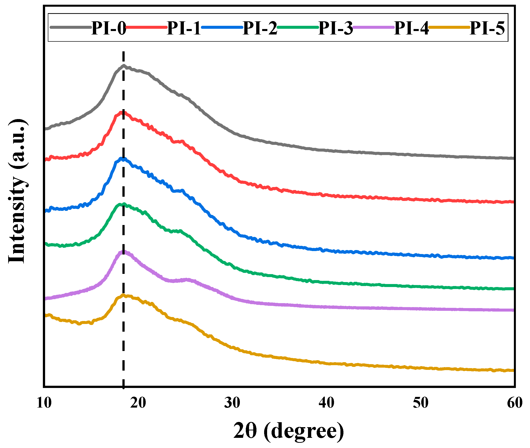
3.3. X-ray Diffraction Analysis
3.4. Thermal Properties
3.5. Mechanical Properties
3.6. Dielectric Properties
3.7. Hydrophobic
3.8. Comprehensive Performance
4. Conclusions
Supplementary Materials
Author Contributions
Funding
Institutional Review Board Statement
Informed Consent Statement
Data Availability Statement
Acknowledgments
Conflicts of Interest
References
- Sezer Hicyilmaz, A.; Celik Bedeloglu, A. Applications of polyimide coatings: A review. SN Appl. Sci. 2021, 3, 363. [Google Scholar] [CrossRef]
- Yamashita, T. Photosensitive Polyimides: Fundamentals and Applications; CRC Press: Boca Raton, FL, USA, 2017. [Google Scholar]
- Ji, D.; Li, T.; Hu, W.; Fuchs, H. Recent progress in aromatic polyimide dielectrics for organic electronic devices and circuits. Adv. Mater. 2019, 31, 1806070. [Google Scholar] [CrossRef] [PubMed]
- Jiang, L.Y.; Wang, Y.; Chung, T.-S.; Qiao, X.Y.; Lai, J.-Y. Polyimide membranes for pervaporation and biofuels separation. Prog. Polym. Sci. 2009, 34, 1135–1160. [Google Scholar] [CrossRef]
- Li, Y.; Sun, G.; Zhou, Y.; Liu, G.; Wang, J.; Han, S. Progress in low dielectric polyimide film—A review. Prog. Org. Coat. 2022, 172, 107103. [Google Scholar] [CrossRef]
- Weng, M.; Luo, X.; Jian, L.; Liang, J.; Hu, J.; Liu, Y.; Zhang, J.; Feng, X.; Min, Y. Lutidine catalyzed highly thermal conductive graphite polyimide films via controlling grain size. Appl. Surf. Sci. 2022, 578, 152029. [Google Scholar] [CrossRef]
- Kabir, G.; Hameed, B.H. Recent progress on catalytic pyrolysis of lignocellulosic biomass to high-grade bio-oil and bio-chemicals. Renew. Sustain. Energy Rev. 2016, 70, 1131–1154. [Google Scholar] [CrossRef]
- Isikgor, F.H.; Becer, C.R. Lignocellulosic biomass: A sustainable platform for the production of bio-based chemicals and polymers. Polym. Chem. 2015, 6, 4485–4500. [Google Scholar] [CrossRef]
- Kirtika, K.; Ravindra, P.; Sharma, B.K. Bio-Based Chemicals from Renewable Biomass for Integrated Biorefineries. Energies 2019, 12, 244. [Google Scholar]
- Long, H.; Li, X.; Wang, H.; Jia, J. Biomass resources and their bioenergy potential estimation: A review. Renew. Sustain. Energy Rev. 2013, 26, 344–352. [Google Scholar] [CrossRef]
- Ferreira, S.; Monteiro, E.; Brito, P.; Vilarinho, C. Biomass resources in Portugal: Current status and prospects. Renew. Sustain. Energy Rev. 2017, 78, 1221–1235. [Google Scholar] [CrossRef]
- Tursi, A. A review on biomass: Importance, chemistry, classification, and conversion. Biofuel Res. J. 2019, 6, 961–980. [Google Scholar] [CrossRef]
- Zhu, J.; Cai, J.; Xie, W.; Chen, P.-H.; Gazzano, M.; Scandola, M.; Gross, R.A. Poly(butylene 2,5-furan dicarboxylate), a biobased alternative to PBT: Synthesis, physical properties, and crystal structure. Macromolecules 2013, 46, 907–915. [Google Scholar] [CrossRef]
- Okuda, T.; Ishimoto, K.; Ohara, H.; Kobayashi, S. Renewable biobased polymeric materials: Facile synthesis of itaconic anhydride-based copolymers with poly(l-lactic acid) grafts. Macromolecules 2012, 45, 4313–4321. [Google Scholar] [CrossRef]
- Gallezot, P. Conversion of biomass to selected chemical products. Chem. Soc. Rev. 2012, 41, 1538–1558. [Google Scholar] [PubMed]
- Feng, L.; Iroh, J. Polyimide-b-polysiloxane Copolymers: Synthesis and Properties. Inorg. Organomet. Polym. Mater. 2013, 23, 477–488. [Google Scholar] [CrossRef]
- Zhang, Y.; Huang, Z.; Ruan, B.; Zhang, X.; Jiang, T.; Ma, N.; Tsai, F.-C. Design and Synthesis of Polyimide Covalent Organic Frameworks. Macromol. Rapid Commun. 2020, 41, 2000356. [Google Scholar] [CrossRef]
- Li, N.; Zong, M. (Chemo)biocatalytic Upgrading of Biobased Furanic Platforms to Chemicals, Fuels, and Materials: A Comprehensive Review. ACS Catal. 2022, 12, 10080–10114. [Google Scholar] [CrossRef]
- Ma, K.; Chen, G.; Wang, W.; Zhang, A.; Zhong, Y.; Zhang, Y.; Fang, X. Partially bio-based aromatic polyimides derived from 2,5-furandicarboxylic acid with high thermal and mechanical properties. J. Polym. Sci. Part A Polym. Chem. 2018, 60, 646–656. [Google Scholar] [CrossRef]
- Jang, H.; Jang, H.W.; Kim, A.Y.; Youk, J.H. Partially Bio-based Colorless and Transparent Poly(amide-imide)s Derived from 2,5-Furandicarboxylic Acid. Fibers Polym. 2020, 21, 2159–2166. [Google Scholar] [CrossRef]
- Milas, N.A. Catalytic oxidations in aqueous solutions I. The oxidation of furfural. J. Am. Chem. Soc. 1927, 49, 2149–2152. [Google Scholar] [CrossRef]
- Mariscal, R.; Maireles-Torres, P.; Ojeda, M.; Sádaba, I.; Granados, M.L. Furfural: A renewable and versatile platform molecule for the synthesis of chemicals and fuels. Energy Environ. Sci. 2016, 9, 1144–1189. [Google Scholar]
- Li, X.; Ko, J.; Zhang, Y. Highly Efficient Gas-Phase Oxidation of Renewable Furfural to Maleic Anhydride over Plate Vanadium Phosphorus Oxide Catalyst. ChemSusChem 2018, 11, 612–618. [Google Scholar]
- Tachibana, Y.; Kimura, S.; Kasuya, K. Synthesis and verification of biobased terephthalic acid from furfural. Sci. Rep. 2015, 5, 8249. [Google Scholar]
- Windmon, N.; Dragojlovic, V. Diels-Alder reactions in the presence of a minimal amount of water. Green Chem. Lett. Rev. 2008, 1, 155–163. [Google Scholar]
- Mahmoud, E.; Watson, D.A.; Lobo, R.F. Renewable production of phthalic anhydride from biomass-derived furan and maleic anhydride. Green Chem. 2014, 16, 167–175. [Google Scholar] [CrossRef]
- Xiong, Y.; Ouyang, W. Synthesis and application of 4-bromo-phthalic anhydride. Fine Chem. Intermed. 2001, 2, 10–12. (In Chinese) [Google Scholar]
- Li, X.J.; Li, C.Y.; Chen, W.; Wang, Y.F. Synthesis of 3,3’,4,4’-biphenyltetracarboxylic dianhydride. J. Hebei Univ. Technol. 2007, 1, 64–67. (In Chinese) [Google Scholar]
- Ballard, C.E. Green reductive homocoupling of bromobenzene. J. Chem. Educ. 2011, 88, 1148–1151. [Google Scholar]
- Soták, T.; Hronec, M.; Gál, M.; Dobročka, E.; Škriniarová, J. Aqueous-phase oxidation of furfural to maleic acid catalyzed by copper phosphate catalysts. Catal. Lett. 2017, 147, 2714–2723. [Google Scholar]
- Li, X.; Ho, B.; Zhang, Y. Selective aerobic oxidationof furfural to maleic anhydride with heterogeneous Mo-V-O catalysts. Green Chem. 2016, 18, 2942–2950. [Google Scholar] [CrossRef]
- Tachibana, Y.; Yamahata, M.; Ichihara, H.; Kasuya, K.-I. Biodegradability of polyesters comprising a bio-based monomer derived from furfural. Polym. Degrad. Stab. 2017, 146, 121–125. [Google Scholar] [CrossRef]
- Xie, K.; Wang, X.; Dai, L.; Chen, Y. Synthesis process of 3,3’,4,4’-biphenyltetracarboxylic dianhydride. Chem. Ind. Eng. Prog. 2005, 9, 1805–1808. (In Chinese) [Google Scholar]
- Diaham, S.; Locatelli, M.; Lebey, T.; Malec, D. Thermal imidization optimization of polyimide thin films using Fourier transform infrared spectroscopy and electrical measurements. Thin Solid Film. 2011, 519, 1851–1856. [Google Scholar] [CrossRef]
- Xu, Z.; Croft, Z.L.; Guo, D.; Cao, K.; Liu, G. Recent development of polyimides: Synthesis, processing, and application in gas separation. J. Polym. Sci. 2021, 59, 943–962. [Google Scholar] [CrossRef]
- Gupta, A.K.; Bajpai, R.; Keller, J.M. PVDF: PI nano composite films: Mechanical, FT-IR, XRD, AFM and hydraulic study. J. Polym. Res. 2008, 15, 275–283. [Google Scholar] [CrossRef]
- Weng, M.; Jian, L.; Feng, X.; Luo, X.; Hu, J.; Zhang, J.; Liu, Y.; Min, Y. High oriented graphite film with high thermal conductivity prepared by pure polyimide film formed with catalyst pyridine. Ceram. Int. 2021, 47, 25436–25444. [Google Scholar] [CrossRef]
- Hergenrother, P.M. The use, design, synthesis, and properties of high performance/high temperature polymers: An overview. High Perform. Polym. 2003, 15, 3–45. [Google Scholar] [CrossRef]
- Liu, X.-J.; Zheng, M.-S.; Chen, G.; Dang, Z.-M.; Zha, J.-W. High-temperature polyimide dielectric materials for energy storage: Theory, design, preparation and properties. Energy Environ. Sci. 2022, 15, 56–81. [Google Scholar] [CrossRef]
- Lee, K.; Jing, Y.; Wang, Y.; Yan, N. A unified view on catalytic conversion of biomass and waste plastics. Nat. Rev. Chem. 2022, 6, 668–686. [Google Scholar] [CrossRef]
- Ando, S.; Sekiguchi, K.; Mizoroki, M.; Okada, T.; Ishige, R. Anisotropic Linear and Volumetric Thermal-Expansion Behaviors of Self-Standing Polyimide Films Analyzed by Thermomechanical Analysis (TMA) andOptical Interferometry. Macromol. Chem. Phys. 2018, 219, 1700354. [Google Scholar] [CrossRef]
- Shi, S.; Yao, L.; Ma, P.; Jiao, Y.; Zheng, X.; Ning, D.; Chen, M.; Sui, F.; Liu, H.; Yang, C.; et al. Recent progress in the high-temperature-resistant PI substrate with low CTE for CIGS thin-film solar cells. Mater. Today Energy 2021, 20, 100640. [Google Scholar] [CrossRef]
- Luo, J.; Liu, Y.; Liu, H.; Chen, W.; Cui, T.; Xiao, L.; Min, Y. Synthesis and Characterization of Polyimides with Naphthalene Ring Structure Introduced in the Main Chain. Materials 2022, 15, 6908. [Google Scholar] [CrossRef] [PubMed]
- Constantin, C.P.; Aflori, M.; Damian, R.F.; Rusu, R.D. Biocompatibility of polyimides: A mini-review. Materials 2019, 12, 3166. [Google Scholar] [CrossRef] [PubMed]








| Sample | Mw (Da) | Mn (Da) | Mw/Mn | σt (MPa) |
|---|---|---|---|---|
| PI-0 | 525,795 | 459,602 | 1.144 | 116.67 |
| PI-1 | 476,620 | 471,362 | 1.011 | 101.20 |
| PI-2 | 607,368 | 494,040 | 1.229 | 117.34 |
| PI-3 | 594,446 | 471,668 | 1.260 | 123.02 |
| PI-4 | 460,682 | 390,995 | 1.178 | 109.34 |
| PI-5 | 421,903 | 373,583 | 1.129 | 106.90 |
| Sample | 2θ (°) | FWHM (°) | d002 (nm) | D (nm) |
|---|---|---|---|---|
| PI-0 | 18.60 | 0.163 | 0.4765 | 48.819 |
| PI-1 | 18.46 | 0.153 | 0.4801 | 52.000 |
| PI-2 | 18.32 | 0.167 | 0.4837 | 47.631 |
| PI-3 | 18.36 | 0.168 | 0.4826 | 47.350 |
| PI-4 | 18.44 | 0.158 | 0.4806 | 50.353 |
| PI-5 | 18.48 | 0.155 | 0.4795 | 51.330 |
| Sample | CTE (ppm/K) | Tg (°C) |
|---|---|---|
| PI-0 | 30.77 | 365.71 |
| PI-1 | 27.16 | 371.77 |
| PI-2 | 28.46 | 368.56 |
| PI-3 | 26.41 | 373.92 |
| PI-4 | 25.49 | 375.86 |
| PI-5 | 31.50 | 365.63 |
| Sample | Dielectric Constant | Dielectric Loss |
|---|---|---|
| PI-0 | 3.26 | 0.0119 |
| PI-1 | 3.30 | 0.0133 |
| PI-2 | 3.31 | 0.0127 |
| PI-3 | 3.36 | 0.0155 |
| PI-4 | 3.28 | 0.0144 |
| PI-5 | 3.38 | 0.0150 |
| Sample | Contact Angle (°) | Absorbent (%) |
|---|---|---|
| PI-0 | 67.8 | 0.73% |
| PI-1 | 69.1 | 0.66% |
| PI-2 | 69.6 | 0.67% |
| PI-3 | 70.8 | 0.58% |
| PI-4 | 66.3 | 0.70% |
| PI-5 | 65.8 | 0.80% |
Disclaimer/Publisher’s Note: The statements, opinions and data contained in all publications are solely those of the individual author(s) and contributor(s) and not of MDPI and/or the editor(s). MDPI and/or the editor(s) disclaim responsibility for any injury to people or property resulting from any ideas, methods, instructions or products referred to in the content. |
© 2023 by the authors. Licensee MDPI, Basel, Switzerland. This article is an open access article distributed under the terms and conditions of the Creative Commons Attribution (CC BY) license (https://creativecommons.org/licenses/by/4.0/).
Share and Cite
Chen, L.; Luo, W.; He, Y.; Huang, L.; Xu, J.; Li, K.; Min, Y. High-Performance Polyimide Films Derived from Biomass-Based Furfural: Fabrication and Properties. Coatings 2023, 13, 1726. https://doi.org/10.3390/coatings13101726
Chen L, Luo W, He Y, Huang L, Xu J, Li K, Min Y. High-Performance Polyimide Films Derived from Biomass-Based Furfural: Fabrication and Properties. Coatings. 2023; 13(10):1726. https://doi.org/10.3390/coatings13101726
Chicago/Turabian StyleChen, Lei, Weiyu Luo, Yima He, Lizhen Huang, Jinjie Xu, Kaixin Li, and Yonggang Min. 2023. "High-Performance Polyimide Films Derived from Biomass-Based Furfural: Fabrication and Properties" Coatings 13, no. 10: 1726. https://doi.org/10.3390/coatings13101726
APA StyleChen, L., Luo, W., He, Y., Huang, L., Xu, J., Li, K., & Min, Y. (2023). High-Performance Polyimide Films Derived from Biomass-Based Furfural: Fabrication and Properties. Coatings, 13(10), 1726. https://doi.org/10.3390/coatings13101726

