Friction Sensitivity Test Experiment and Desensitization Mechanism of Nitrocellulose-Coated DNTF Explosive Crystals
Abstract
1. Introduction
2. Materials and Methods
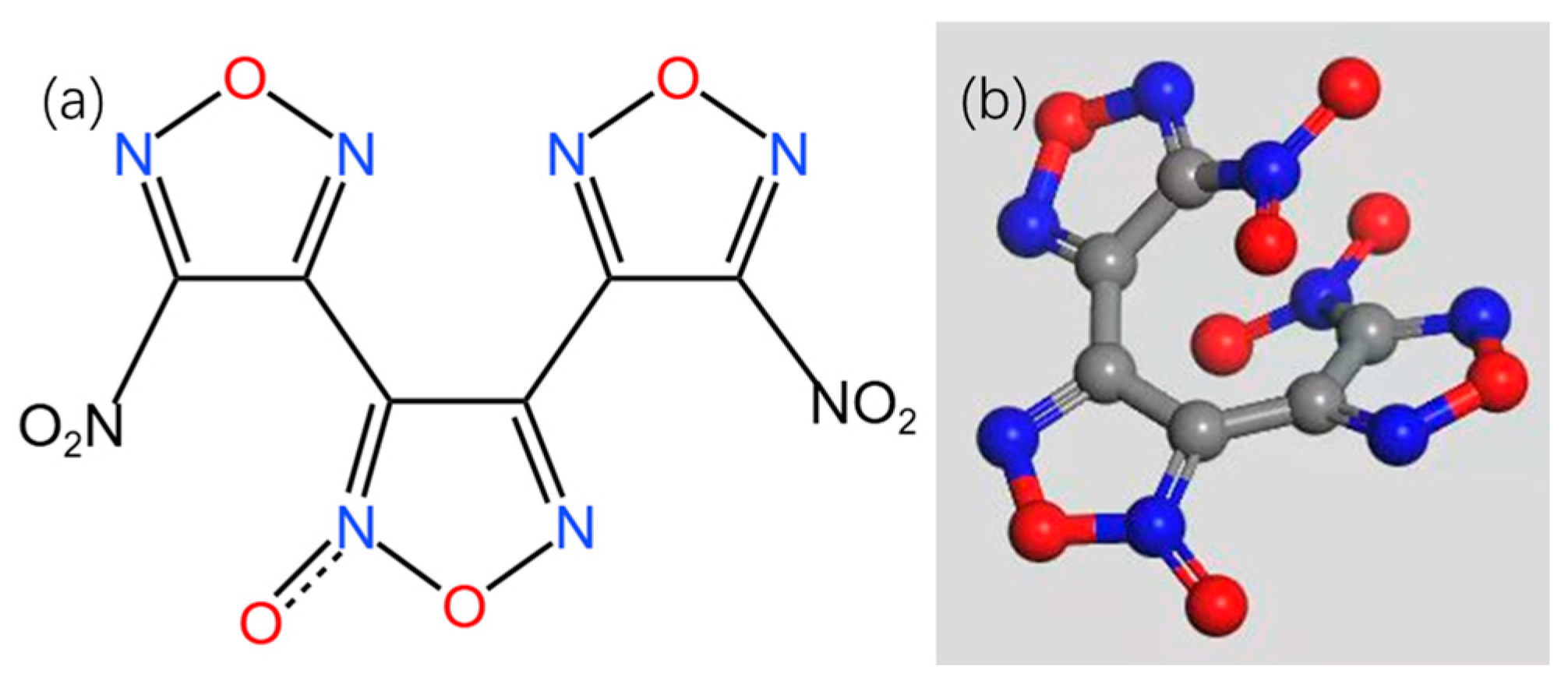
2.1. Materials and Instruments
2.2. Preparation Experiment of NC-Coated DNTF
2.3. Performance Characterization
2.4. Molecular Dynamic Simulation
3. Results and Discussion
3.1. Electron Microscopy Morphology Characterization
3.2. Friction Sensitivity Test and Friction Response Analysis
3.3. DSC Analysis
3.4. Theoretical Calculation of Binding Energy
3.5. Mechanical Performance Calculation
3.6. Analysis on Desensitization Mechanism of Friction Sensitivity of NC-coated DNTF
4. Conclusions
- (1)
- The surface of pure DNTF is relatively smooth and flat, and the surface of DNTF coated with NC has a layer of white gel. With the increase in NC content, the white gel becomes more obvious, and the coverage and thickness of the coating increase, indicating that NC has a good coating effect on DNTF crystals.
- (2)
- NC can significantly reduce the sensitivity of DNTF, and with the growth of the NC content, the friction sensitivity of the NC/DNTF explosive material exponentially decreases. This desensitization mechanism is that, as the NC content of the coating layer increases, NC-coated DNTF grains can effectively absorb energy, reduce frictional tearing between interfaces, and play a buffering role when subjected to external mechanical stimulus for optimizing the safety performance of DNTF explosives.
- (3)
- The binding energy of the NC/DNTF (011) system is higher than that of the NC/DNTF (101) and NC/DNTF (002) systems, revealing that NC has better compatibility with DNTF (011) and binds more firmly and stably. With the rise in NC content, the binding energy value of the composite material increases, and this is consistent with the numerical value of single-layer NC binding energy. The large binding energy of the NC/DNTF interface is one of the primary internal reasons for the significant decrease in its explosion rate of friction sensitivity.
- (4)
- The molecular dynamics calculation results indicate that the binder NC apparently updates the isotropic material modulus of DNTF explosive materials, reducing their rigidity and enhancing their flexibility. DNTF has good ductility and toughness, making it beneficial for reducing the sliding friction heat generated between DNTF and the contact interface. Therefore, the explosion rate of the friction sensitivity test will be significantly lower.
Author Contributions
Funding
Institutional Review Board Statement
Informed Consent Statement
Data Availability Statement
Conflicts of Interest
References
- Hu, H.X.; Zhang, Z.Z.; Zhao, F.Q.; Xiao, C.; Wang, Q.H.; Yuan, B.H. A Study on the Properties and Application of High Energy Density Material DNTF. Acta Armamentarii 2004, 25, 155. [Google Scholar]
- Zheng, W.; Wang, J.N.; Ren, X.N.; Zhang, L.Y.; Zhou, Y.S. An Investigation on Thermal Decomposition of DNTF-CMDB Propellants. Propellants Explos. Pyrotech. 2010, 32, 520–524. [Google Scholar] [CrossRef]
- Zou, Z.; Zhao, F.; Zhang, M.; Tian, J.; Wang, X. Research Progress of 3,4-Dinitrofurazanfuroxan Performances and Its Applications. Explos. Mater. 2019, 48, 11–16. [Google Scholar]
- Li, Y.; Yuan, J.M.; Zhao, W.; Qu, Y.; Xing, X.W.; Meng, J.W.; Liu, Y.C. Application and Development of 3, 4-Bis (3-nitrofurazan-4-yl) furoxan (DNTF). Russ. J. Gen. Chem. 2021, 91, 445–455. [Google Scholar] [CrossRef]
- Chen, P.; Ding, Y. Mechanical behaviour and deformation and failure mechanisms of polymer bonded explosives. Energy Mater. 2000, 8, 161–164. [Google Scholar]
- Liu, C.; Zhang, L.H.; Yang, P.H. Effect of macromolecule toughening agent on the anti-impact properties of nitramine gun propellant. Chin. J. Explos. Propellants 2015, 38, 82–86. [Google Scholar]
- Zhang, W.; Fan, X.Z.; Wei, H.J.; Li, J.Z. Application of Nitramines Coated with Nitrocellulose in Minimum Signature Isocyanate-Cured Propellants. Propellants Explos. Pyrotech. 2008, 33, 279–285. [Google Scholar] [CrossRef]
- Chelouche, S.; Trache, D.; Tarchoun, A.F.; Abdelaziz, A.; Khimeche, K. Compatibility assessment and decomposition kinetics of nitrocellulose with eutectic mixture of organic stabilizers. J. Energetic Mater. 2020, 38, 48–67. [Google Scholar] [CrossRef]
- Liang, T.; Zhang, Y.; Ma, Z.; Guo, M.; Liu, C. Energy characteristics and mechanical properties of cyclotrimethylenetrinitramine (RDX)-based insensitive high-energy propellant. J. Mater. Res. Technol. 2020, 9, 15313–15323. [Google Scholar] [CrossRef]
- Tappan, B.C.; Brill, T.B. Thermal Decomposition of Energetic Materials 86. Cryogel Synthesis of Nanocrystalline CL-20 Coated with Cured Nitrocellulose. Propellants Explos. Pyrotech. 2003, 28, 223–230. [Google Scholar] [CrossRef]
- Dong, Q.; Jiang, R.Z.; Cui, S.M.; Dong, G. A study on coating technology of ammonium nitrate with nitrocellulose. Chin. J. Energetic Mater. 2011, 5, 114–120. [Google Scholar]
- Liu, X.G.; Wang, K.Q.; Shao, C.B.; Yu, H.J.; Fan, X.Z. A New Method of RDX coated with Nitrocellulose. Chin. J. Energetic Mater. 2011, 11, 153–154. [Google Scholar]
- Shi, X.F.; Wang, J.Y.; Li, X.D.; Wang, J. Preparation and properties of RDX-based composite energetic microspheres. Chin. J. Energetic Mater. 2015, 23, 428–432. [Google Scholar]
- Shi, X.; Wang, J.; Li, X. Preparation and properties of RDX-nitrocellulose microspheres. Cent. Eur. J. Energetic Mater. 2016, 13, 871–881. [Google Scholar]
- Zhang, Y.J.; Bai, Y.; Li, J.Z.; Fu, X.L.; Yang, Y.J.; Tang, Q.F. Energetic nitrocellulose coating: Effective way to decrease sensitivity and modify surface property of HMX particles. J. Energetic Mater. 2019, 37, 212–221. [Google Scholar] [CrossRef]
- Liu, S.S.; Ye, M.Q.; Han, A.J.; Chen, X. Preparation and characterization of energetic materials coated superfine aluminum particles. Appl. Surf. Sci. 2014, 288, 349–355. [Google Scholar] [CrossRef]
- Dai, J.; Xu, J.B.; Wang, F.; Tai, Y.; Shen, Y.; Shen, R.Q.; Ye, Y.H. Facile formation of nitrocellulose-coated Al/Bi2O3 nanothermites with excellent energy output and improved electrostatic discharge safety. Mater. Des. 2018, 143, 93–103. [Google Scholar] [CrossRef]
- Jiang, H.Y.; Yu, J.; Wang, X.J.; Jiao, X.Y.; Mu, X.G. Preparation, Characterization and Properties of NC-coated Zirconium Composite Particles. J. Phys. Conf. Ser. 2023, 2478, 032063. [Google Scholar] [CrossRef]
- Tisdale, J.T.; Hill, L.G.; Duque, A.L. Production of desensitized, ultrafine PETN powder. Powder Technol. 2022, 396, 152–157. [Google Scholar] [CrossRef]
- Xu, C.; Liu, M.Y.; Ma, J.J.; Hou, C.H. Effect of magnesium sulfate heptahydrate micro-encapsulated on HMX safety performance. J. Ordnance Equip. Eng. 2022, 43, 6. [Google Scholar]
- Song, Y.L.; Huang, Q.; Jin, B.; Peng, R.F. Electrostatic self-assembly desensitization of CL-20 by enhanced interface interaction. J. Alloys Compd. 2022, 900, 163504. [Google Scholar] [CrossRef]
- Zhang, W.P.; Huang, Y.F.; Du, J.F.; Guo, H.L. Research on influencing mechanical sensitivity of dihydroxylammonium 5,5’-bistetrazole-1,1’-diolate(HATO). Appl. Chem. Ind. 2022, 51, 706–709. [Google Scholar]
- Phillips, J.J.; Ching, M.L. A comparative study of two BAM designs for friction sensitivity testing of explosives. Propellants Explos. Pyrotech. 2020, 45, 628–636. [Google Scholar] [CrossRef]
- Chang, S.J.; Xu, J.J.; Chen, S.L.; Luo, X.C.; Zhang, Z.G.; Bai, J. Approach to the force characterization of the friction sensitivity of the insensitive single explosives. J. Saf. Environ. 2020, 20, 2218–2222. [Google Scholar]
- Song, Y.L.; Huang, Q.; Zhang, J.H.; Zhang, Y.J.; Jin, B.; Peng, R.F. Interaction-Enhanced Coating of Energetic Material: A Generally Applicable Method for the Desensitization. Propellants Explos. Pyrotech. 2022, 47, e202100256. [Google Scholar] [CrossRef]
- Qin, Y.; Yuan, J.M.; Sun, H.; Liu, Y.; Zhou, H.P.; Wu, R.Q.; Chen, J.F.; Li, X.X. Experiment and Molecular Dynamic Simulation on Performance of 3, 4-Bis (3-nitrofurazan-4-yl) furoxan (DNTF) Crystals Coated with Energetic Binder GAP. Crystals 2023, 13, 327. [Google Scholar] [CrossRef]
- Gao, J.; Wang, H.; Luo, Y.M.; Wang, H.X.; Wang, W. Study on binary phase diagram of DNAN/DNTF mixed system and its mechanical sensitivity. Chin. J. Explos. Propellants 2020, 43, 213–218. [Google Scholar]
- Kou, Y.; Song, X.L.; Guo, K.G.; Wang, Y. New Method to Prepare the Lowest Eutectic Mixture of MTNP/DNTF and Its Properties. Combust. Explos. Shock. Waves 2022, 58, 68–76. [Google Scholar] [CrossRef]
- Xiao, C.; Yu, Q.; Zheng, X.Y.; Zheng, B.H.; Guo, Y.; Luo, G.; Jin, B.; Li, J.S. High-Performance and Insensitive DNTF-DFTNAN Eutectic: Binary Phase Diagram and Characterization. Propellants Explos. Pyrotech. 2022, 47, e202200166. [Google Scholar] [CrossRef]
- Yu, Z.H.; Song, X.L.; Kou, Y.; Wang, Y.; An, C.W. Characterization and Testing for Lowest Eutectic Mixture of TNBA/DNTF. Propellants Explos. Pyrotech. 2023, 48, e202200201. [Google Scholar] [CrossRef]
- Wang, H.; Gao, J.; Tao, J.; Luo, Y.M.; Jiang, Q.L. Safety and molecular dynamics simulations of DNTF/HATO hybrid systems. Chin. J. Energetic Mater. 2019, 27, 897–901. [Google Scholar]
- Xiao, J.J.; Wang, W.R.; Chen, J.; Ji, G.F.; Zhu, W.; Xiao, H.M. Study on structure, sensitivity and mechanical properties of HMX and HMX-based PBXs with molecular dynamics simulation. Comput. Theor. Chem. 2012, 999, 21–27. [Google Scholar] [CrossRef]
- Eslami, H.; Khanjari, N.; Müller-Plathe, F. A local order parameter-based method for simulation of free energy barriers in crystal nucleation. J. Chem. Theory Comput. 2017, 13, 1307–1316. [Google Scholar] [CrossRef] [PubMed]
- Ma, S.; Li, Y.J.; Li, Y.; Luo, Y.J. Research on structures, mechanical properties, and mechanical responses of TKX-50 and TKX-50 based PBX with molecular dynamics. J. Mol. Model. 2016, 22, 1–11. [Google Scholar] [CrossRef]
- Weiner, J.H. Statistical Mechanics of Elasticity. J. Appl. Mech. 1984, 51, 707–708. [Google Scholar] [CrossRef][Green Version]
- Xiao, J.J.; Huang, Y.C.; Hu, Y.J.; Xiao, H.M. Molecular dynamics simulation of mechanical properties of TATB/fluorine-polymer PBXs along different surfaces. Sci. China Ser. B Chem. 2005, 48, 504–510. [Google Scholar] [CrossRef]
- Wang, K.; Li, H.; Li, J.Q.; Xu, H.X.; Zhang, C.; Lu, Y.Y.; Fan, X.Z.; Pang, W.Q. Molecular dynamic simulation of performance of modified BAMO/AMMO copolymers and their effects on mechanical properties of energetic materials. Sci. Rep. 2020, 10, 18140. [Google Scholar] [CrossRef]
- Xin, D.R.; Han, Q. Study on thermomechanical properties of cross-linked epoxy resin. Mol. Simul. 2015, 41, 1081–1085. [Google Scholar] [CrossRef]
- Hu, Y.Y.; Chen, C.Y.; Chen, K. Molecular Dynamics Simulation of Mechanical Properties of Single-base and Double-base Propellants. J. Nanjing Xiaozhuang Univ. 2007, 23, 47–50. [Google Scholar]
- Ma, Y.X.; Liu, C.; Wang, H.; Zhang, G.X.; Chen, H.; Zhang, W.B. Mechanical Property of the Single TATB Granule by Uniaxial Compression. Chin. J. Energetic Mater. 2020, 28, 960–968. [Google Scholar]














| Sample | Friction Sensitivity |
|---|---|
| DNTF | 100% |
| : = 99:1 | 72% |
| : = 99:2 | 52% |
| : = 99:3 | 40% |
| : = 99:4 | 32% |
| : = 99:5 | 28% |
| Compound System | Etotal/(kcal·mol−1) | Eexplosive/(kcal·mol−1) | Ebinder/(kcal·mol−1) | Ebinding/(kcal·mol−1) | |
|---|---|---|---|---|---|
| NC/DNTF (011) | E | −6011.8 | −13,019.3 | 908.4 | −6099.1 |
| vdw | −1608.1 | −1880.9 | 118.3 | −391.1 | |
| Electrostatic | −4418.9 | −5739.4 | 1276.6 | −2597.1 | |
| E | −3989.7 | −13,019.3 | 1780.6 | −7249 | |
| vdw | −1533.5 | −1880.9 | 220.4 | −567.8 | |
| Electrostatic | −3271.6 | −5739.4 | 2559.9 | −5027.7 | |
| NC/DNTF (101) | E | −1971.8 | −6318.6 | 690.0 | −3656.8 |
| vdw | −683.2 | −800.9 | 98.6 | −216.3 | |
| Electrostatic | −1700.9 | −2822.3 | 1108.3 | −2229.7 | |
| E | 225.2 | −6318.6 | 1355.8 | −5188 | |
| vdw | −537.3 | −800.9 | 172.5 | −436.1 | |
| Electrostatic | −481.4 | −2822.3 | 2225.1 | −4566 | |
| NC/DNTF (002) | E | −593.3 | −4113.6 | 774.6 | −2745.7 |
| vdw | −419.6 | −337.8 | 89.6 | −7.8 | |
| Electrostatic | −782.9 | −1723.0 | 1165.9 | −2106 | |
| E | 1523.3 | −4113.6 | 1489.2 | −4147.7 | |
| vdw | −384.4 | −337.8 | 133.4 | −86.8 | |
| Electrostatic | 351.0 | −1723.0 | 2342.2 | −4416.2 |
| Modules/GPa | NC/DNTF (011) | NC/DNTF (101) | NC/DNTF (002) | DNTF |
|---|---|---|---|---|
| C11 | 0.5030 | 0.7275 | 0.3631 | 12.8557 |
| C22 | 1.8968 | 1.0453 | 1.8536 | 10.6884 |
| C33 | −0.4392 | 0.7669 | 0.5203 | 9.1765 |
| C44 | −0.3052 | 0.5386 | 0.2328 | 2.1781 |
| C55 | −0.0539 | 0.7014 | 0.3603 | 2.0604 |
| C66 | −0.3401 | 0.5203 | −0.2340 | 8.0035 |
| C12 | 0.6586 | 0.8909 | 0.5465 | 3.2970 |
| C13 | −0.1685 | 0.2640 | −0.2296 | 1.1050 |
| C23 | 0.9194 | 0.1659 | 1.3602 | 3.2776 |
| E | 0.8917 | 1.3836 | 0.3410 | 10.4586 |
| Γ | 0.4138 | 0.1789 | 0.4245 | 0.1531 |
| K | 1.2751 | 0.7182 | 0.7526 | 5.0247 |
| G | 0.2331 | 0.5868 | 0.1197 | 4.5350 |
| K/G | 5.4702 | 1.2239 | 6.2874 | 1.1080 |
| Ν | 0.3834 | 0.1789 | 0.4244 | 0.1531 |
| C12–C44 | 0.9638 | 0.3523 | 0.3137 | 1.1189 |
| Modules/GPa | NC/DNT (011) | NC/DNT (101) | NC/DNT (002) | DNTF |
|---|---|---|---|---|
| E | 0.5641 | 0.9435 | 0.6997 | 10.4586 |
| Γ | 0.1972 | 0.3353 | 0.3158 | 0.1531 |
| K | 0.3105 | 0.9548 | 0.6330 | 5.0247 |
| G | 0.2356 | 0.3533 | 0.2659 | 4.5350 |
| K/G | 1.3179 | 2.7025 | 2.3806 | 1.1080 |
| Ν | 0.1972 | 0.3353 | 0.3157 | 0.1531 |
| C12–C44 | 0.2964 | 0.3090 | 0.3534 | 1.1189 |
Disclaimer/Publisher’s Note: The statements, opinions and data contained in all publications are solely those of the individual author(s) and contributor(s) and not of MDPI and/or the editor(s). MDPI and/or the editor(s) disclaim responsibility for any injury to people or property resulting from any ideas, methods, instructions or products referred to in the content. |
© 2023 by the authors. Licensee MDPI, Basel, Switzerland. This article is an open access article distributed under the terms and conditions of the Creative Commons Attribution (CC BY) license (https://creativecommons.org/licenses/by/4.0/).
Share and Cite
Yuan, J.; Qin, Y.; Liu, Y.; Sun, H.; Huang, R.; Wang, J.; Han, T.; Wu, R. Friction Sensitivity Test Experiment and Desensitization Mechanism of Nitrocellulose-Coated DNTF Explosive Crystals. Coatings 2023, 13, 1721. https://doi.org/10.3390/coatings13101721
Yuan J, Qin Y, Liu Y, Sun H, Huang R, Wang J, Han T, Wu R. Friction Sensitivity Test Experiment and Desensitization Mechanism of Nitrocellulose-Coated DNTF Explosive Crystals. Coatings. 2023; 13(10):1721. https://doi.org/10.3390/coatings13101721
Chicago/Turabian StyleYuan, Junming, Yue Qin, Yan Liu, Hu Sun, Runsheng Huang, Jing Wang, Tao Han, and Ruiqiang Wu. 2023. "Friction Sensitivity Test Experiment and Desensitization Mechanism of Nitrocellulose-Coated DNTF Explosive Crystals" Coatings 13, no. 10: 1721. https://doi.org/10.3390/coatings13101721
APA StyleYuan, J., Qin, Y., Liu, Y., Sun, H., Huang, R., Wang, J., Han, T., & Wu, R. (2023). Friction Sensitivity Test Experiment and Desensitization Mechanism of Nitrocellulose-Coated DNTF Explosive Crystals. Coatings, 13(10), 1721. https://doi.org/10.3390/coatings13101721
