Synthesis of Magnetron-Sputtered TiN Thin-Films on Fiber Structures for Pulsed-Laser Emission and Refractive-Index Sensing Applications at 1550 nm
Abstract
1. Introduction
- (a)
- For saturable absorber (SA) application, a fiber microball lens coated with a thin film of titanium nitride by RF is used for generation of short high-energy pulses within a linear fiber laser configuration. The coating acts as an SA, modulating the losses inside the cavity by means of a passive Q-switching technique. Then, short pulses with a repetition rate in the kHz order are obtained depending on the variation of the pumping power of the laser.
- (b)
- As a fiber refractometer, a multimode NCF fiber structure coated with a film of titanium nitride by DC is used to generate electromagnetic resonances at the fiber–material interface from the light energy transferred to a plasma wave along the material surface by lossy mode resonance phenomenon. The NCF fiber coated with the film material is highly sensitive to refractive index variations on the medium surrounding the fiber structure.
2. Deposition of Films by RF for Saturable Absorber Application
2.1. Fiber Ball Lens Deposition
- (a)
- Metallic circular target (Ti target, by Kurt-Lesker, Jefferson Hills, PA, USA)—The depositions were made inside a glass bell chamber, with a base pressure of 7.5 × 10−5 Torr. A mixture of high purity gases, Ar and N, was used in the reaction with a flow rate of 20 and 5 sccm, respectively. The gas flow is monitored with mass flow meters. Plasma was generated by applying 300-watt RF power and a working pressure of 70 mTorr. The target was pre-sputtered for 5 min to remove any contamination. The deposition rate was controlled with a quartz crystal sensor connected to an external computer. The deposition time was 15 min. In this case, in a single substrate, two optical fibers were placed. The fibers were labeled F04 (Fiber of 300 µm) and F05 (Fiber of 350 µm). The substrate used as template was then characterized with XPS and UV–Vis spectroscopy and labeled as F0405.
- (b)
- Ceramic circular target (TiN target, by Plasmaterials)—The depositions were made inside a glass bell chamber, with a base pressure of 7.5 × 10−5 Torr. A supply of Ar was used in the reaction, with a flow rate of 20 sccm. Plasma was generated by applying 300-watt RF power and a working pressure of 70 mTorr. With the shutter activated, the target was first pre-sputtered for 5 min to remove any contamination. The deposition rate was controlled with a quartz crystal sensor connected to an external computer. The deposition time was 15 min. In this case, in a single substrate, two optical fibers were placed. Fibers were labeled F06 (fiber of 300 µm) and F07 (fiber of 350 µm). The substrate used as a template was then characterized with XPS and UV–Vis spectroscopy and labeled as F0607.
2.2. Optoelectronical Characterization
2.3. Passive Q-Switched Laser Pulse Generation
3. Deposition of Films by DC for LMR Refractometer Application
3.1. No-Core Fiber Structure and Deposition
3.2. LMR Refractometer Results
4. Conclusions
Supplementary Materials
Author Contributions
Funding
Institutional Review Board Statement
Informed Consent Statement
Data Availability Statement
Acknowledgments
Conflicts of Interest
References
- Ponja, S.D.; Williamson, B.A.; Sathasivam, S.; Scanlon, D.O.; Parkin, I.P.; Carmalt, C.J. Enhanced electrical properties of antimony doped tin oxide thin films deposited via aerosol assisted chemical vapour deposition. J. Mater. Chem. C 2018, 6, 7257–7266. [Google Scholar] [CrossRef]
- Mohammed, M.A.; Salman, S.R.; Wasna’a, M.A. Structural, optical, electrical and gas sensor properties of ZrO2 thin films prepared by sol-gel technique. NeuroQuantology 2020, 18, 22. [Google Scholar] [CrossRef]
- Ashok, A.; Regmi, G.; Romero, N.A.; Solis, L.M.; Velumani, S.; Castaneda, H. Comparative studies of CdS thin films by chemical bath deposition techniques as a buffer layer for solar cell applications. J. Mater. Sci. Mater. Electron. 2020, 31, 7499–7518. [Google Scholar] [CrossRef]
- Ricardo, I.Á.T.; Omar, G.R.; Patricia, P.C.; Manuel, G.M.; Antonio, B.P. TiOxNy Thin Film Sputtered on a Fiber Ball Lens as Saturable Absorber for Passive Q-Switched Generation of a Single-Tunable/Dual-Wavelength Er-Yb Double Clad Fiber Laser. Nanomaterials 2020, 10, 923. [Google Scholar]
- Nikhil, K.P.; Daniel, J.R.A.; Erhan, A.; King, P.J.; Srinivas, G.; Kelvin, S.K.K.; Anthony, O.N. Effect of deposition conditions and post deposition anneal on reactively sputtered titanium nitride thin films. Thin Solid Film 2015, 578, 31–37. [Google Scholar]
- Swann, S. Magnetron sputtering. Phys. Technol. 1988, 19, 67. [Google Scholar] [CrossRef]
- Jarosław, J.; Piotr, W.; Paweł, P.M.; Monika, O.; Bartłomiej, W.; Aleksandra, S.; Michał, S.; Cezariusz, J.; Krzysztof, Z. Titanium Nitride as a Plasmonic Material from Near-Ultraviolet to Very-Long-Wavelength Infrared Range. Materials 2021, 14, 7095. [Google Scholar]
- Luca, M.; Tapan, B.; Beatrice, R.B.; Filip, M.; Andrea, L.B.; Stepan, K.; Alberto, N. Controlling the plasmonic properties of titanium nitride thin films by radiofrequency substrate biasing in magnetron sputtering. Appl. Surf. Sci. 2021, 554, 149543. [Google Scholar]
- Chun, C.C.; John, N.; Yang, Z.P.; Wilton, J.M.K.-P.; Willard, R.; Ting, S.L.; Diego, A.R.D.; Abul, K.A.; Hou-Tong, C. Highly Plasmonic Titanium Nitride by Room-Temperature Sputtering. Sci. Rep. 2019, 9, 15287. [Google Scholar]
- Gururaj, V.N.; Jeremy, L.S.; Xingjie, N.; Alexander, V.K.; Timothy, D.S.; Alexandra, B. Titanium nitride as a plasmonic material for visible and near-infrared wavelengths. Optical Materials Express 2012, 2, 478–489. [Google Scholar]
- Jiachang, B.; Ruyi, Z.; Shaoqin, P.; Jie, S.; Xinming, W.; Wei, C.; Liang, W.; Junhua, G.; Hongtao, C.; Yanwei, C. Robust plasmonic properties of epitaxial TiN films on highly lattice-mismatched complex oxides. Physical Review Materials 2021, 5, 075201. [Google Scholar]
- Barhai, P.K.; Neelam, K.; Banerjee, I.; Pabi, S.K.; Mahapatra, S.K. Study of the effect of plasma current density on the formation of titanium nitride and titanium oxynitride thin films prepared by reactive DC magnetron sputtering. Vacuum 2010, 84, 896–901. [Google Scholar] [CrossRef]
- White, N.; Campbell, A.L.; Grant, J.T.; Pachter, R.; Eyink, K.; Jakubiak, R.; Martinez, G.; Ramana, C.V. Surface/interface analysis and optical properties of RF sputter-deposited nanocrystalline titanium nitride thin films. Appl. Surf. Sci. 2014, 292, 74–85. [Google Scholar] [CrossRef]
- Available online: https://www.thermofisher.com/mx/es/home/materials-science/learning-center/periodic-table.html (accessed on 13 November 2022).
- Solovana, M.N.; Brusa, V.V.; Maistruka, E.V.; Maryanchuk, P.D. Electrical and Optical Properties of TiN Thin Films. Inorg. Mater. 2014, 50, 40–45. [Google Scholar] [CrossRef]
- Van Bui, H.; Groenland, A.W.; Aarnink, A.A.I.; Wolters, R.A.M.; Schmitz, J.; Kovalgin, A.Y. Growth kinetics and oxidation mechanism of ALD TiN thin films monitored by in situ spectroscopic ellipsometry. J. Electrochem. Soc. 2011, 158, H214–H220. [Google Scholar] [CrossRef]
- Saha, N.C.; Tompkins, H.G. Titanium nitride oxidation chemistry: An x-ray photoelectron spectroscopy study. J. Appl. Phys. 1992, 72, 3072–3079. [Google Scholar] [CrossRef]
- Solis Pomar, F.; Nápoles, O.; Vázquez Rbaina, O.; Gutierrez Lazos, C.; Fundora, A.; Colin, A.; Pérez Tijerina, E.; Melendrez, M.F. Preparation and characterization of nanostructured titanium nitride thin films at room temperature. Ceram. Int. 2016, 42, 7571–7575. [Google Scholar] [CrossRef]
- Wemple, S.H.; DiDomenico Jr, M. Behavior of the electronic dielectric constant in covalent and ionic materials. Phys. Rev. B 1971, 3, 1338–1351. [Google Scholar] [CrossRef]
- Manuel, G.M.; Alvaro, B.C.; Ricardo, R.S.; Víctor, C. Investigation of the annealing effects on the structural and opto-electronical properties of RF-sputtered ZnO films studied by the Drude-Lorentz model. Appl. Phys. A 2015, 120, 1375–1382. [Google Scholar]
- Arnaud, V.; Maria Alejandra, U.H.; Gaylord, G.; Nicolas, C.M.; Damien, J.; Marion, H.; Jean, Y.M.; Stéphanie, R.; Francis, V.; Carmen, J.; et al. Optical, electrical and mechanical properties of TiN thin film obtained from a TiO2 sol-gel coating and rapid thermal nitridation. Surf. Coat. Technol. 2021, 413, 127089. [Google Scholar]
- Hengyong, W.; Mingming, W.; Zhanliang, D.; Ying, C.; Jinglong, B.; Jian, L.; Yun, Y.; Yingna, W.; Yi, C.R.W. Composition, microstructure and SERS properties of titanium nitride thin film prepared via nitridation of sol–gel derived titania thin films. J. Or Raman Spectrosc. 2017, 48, 578–585. [Google Scholar]
- Dwivedi, Y.S.; Sharma, A.K.; Gupta, B.D. Influence of skew rays on the sensitivity and signal-to-noise ratio of a fiber-optic surface-plasmon-resonance sensor: A theoretical study. Appl. Opt. 2007, 46, 4563–4569. [Google Scholar] [CrossRef] [PubMed]
- Ricardo Iván, Á.T.; Patricia, P.C.; Manuel, G.M.; Abel, F.C. Lossy mode resonance refractometer operating in the 1.55 µm waveband based on TiOxNy thin films deposited onto no-core multimode fiber by DC magnetron sputtering. Opt. Fiber Technol. 2022, 71, 102929. [Google Scholar]
- Lubinda, L. Debate over Mapostori use of open spaces. Harare News 2015, 16, 10–17. [Google Scholar]

















| Sample | Binding Energy (eV) | Ti Percentage (%) | Empirical Formula | ||
|---|---|---|---|---|---|
| Ti-N | Ti-O | TiN | Ti-O | ||
| F01 | 456.19 | 457.7 | 20 | 80 | Ti0.6N0.4 |
| F02 | 454.8 | 456.3 | 33 | 67 | Ti0.8N0.2 |
| F03 | 454.52 | 456.19 | 12 | 88 | Ti0.4N0.6 |
| Sample | Deposition Time (min) | Thickness (nm) | Eg (eV) | ε∞ | εL |
|---|---|---|---|---|---|
| F01 | 15 | 20 | 3.7 | 1.9 | 2.0 |
| F02 | 20 | 22 | 3.6 | 2.2 | 2.3 |
| F03 | 25 | 20 | 3.6 | 2.1 | 2.4 |
| F0405 | 15 | 20 | 3.4 | 1.9 | 2.1 |
| F0607 | 15 | 20 | 3.5 | 2.1 | 2.1 |
| Sample | MBL Diameter (µm) |
|---|---|
| F01 | 300 |
| F02 | 350 |
| F03 | 400 |
| F04 | 300 |
| F05 | 350 |
| F06 | 300 |
| F07 | 350 |
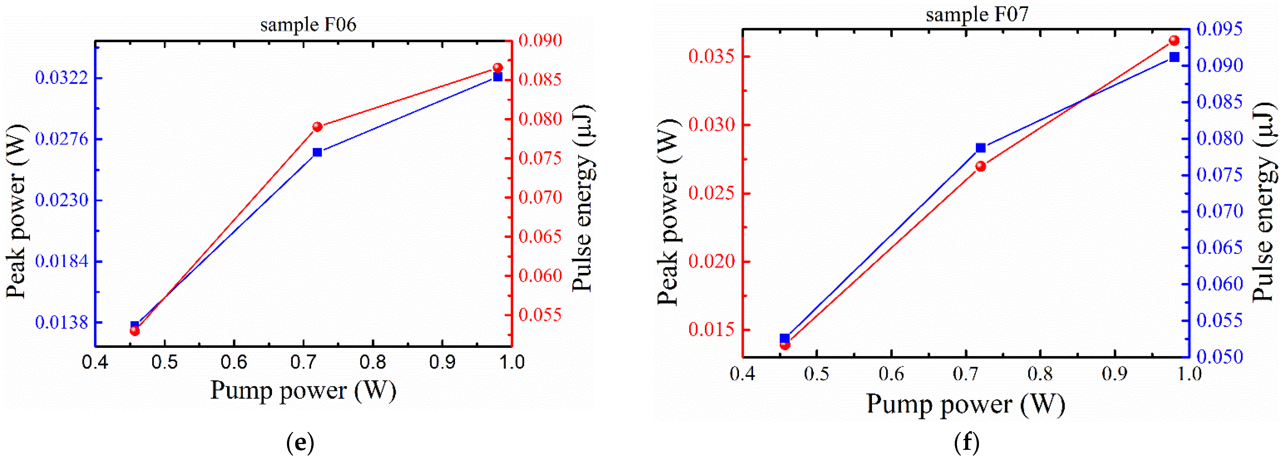
| Sample | Pump Power (W) | Repetition Rate (kHz) | Pulse Width (μs) | Peak Power (W) | Pulse Energy (μJ) |
|---|---|---|---|---|---|
| F01 | 0.457 | 26.12 | 4.19 | 0.01115 | 0.04671 |
| 0.72 | 41.98 | 2.85 | 0.02624 | 0.0748 | |
| 0.98 | 59.24 | 2.6 | 0.03363 | 0.08744 | |
| F02 | 0.457 | 28.24 | 4.15 | 0.01126 | 0.04674 |
| 0.72 | 42.45 | 3.03 | 0.02433 | 0.07373 | |
| 0.98 | 59.38 | 2.55 | 0.03474 | 0.08858 | |
| F04 | 0.457 | 28.24 | 8.58 | 0.00582 | 0.04993 |
| 0.72 | 43.1 | 5.94 | 0.01297 | 0.07703 | |
| 0.98 | 60.97 | 4.92 | 0.0179 | 0.08808 | |
| F05 | 0.457 | 28.53 | 4.02 | 0.01186 | 0.04767 |
| 0.72 | 46.06 | 2.92 | 0.02387 | 0.06969 | |
| 0.98 | 66.69 | 2.61 | 0.03091 | 0.08067 | |
| F06 | 0.457 | 28.49 | 3.91 | 0.01356 | 0.053 |
| 0.72 | 43.4 | 2.97 | 0.02661 | 0.07903 | |
| 0.98 | 64.24 | 2.68 | 0.03229 | 0.08655 | |
| F07 | 0.457 | 27.58 | 3.78 | 0.01391 | 0.05257 |
| 0.72 | 42.43 | 2.92 | 0.02696 | 0.07872 | |
| 0.98 | 60.97 | 2.52 | 0.03619 | 0.09119 |
| Transition | BE (Before Sputtering) | BE (After Sputtering) |
|---|---|---|
| Ti2p3/2 | 457.98 eV | 453.98 eV |
| O1s | 531.4 eV | 529.8 eV |
| N1s | 395.3 eV | 395.7 eV |
Disclaimer/Publisher’s Note: The statements, opinions and data contained in all publications are solely those of the individual author(s) and contributor(s) and not of MDPI and/or the editor(s). MDPI and/or the editor(s) disclaim responsibility for any injury to people or property resulting from any ideas, methods, instructions or products referred to in the content. |
© 2023 by the authors. Licensee MDPI, Basel, Switzerland. This article is an open access article distributed under the terms and conditions of the Creative Commons Attribution (CC BY) license (https://creativecommons.org/licenses/by/4.0/).
Share and Cite
Ramírez, O.G.; Méndez, M.G.; Tamayo, R.I.Á.; Cortés, P.P. Synthesis of Magnetron-Sputtered TiN Thin-Films on Fiber Structures for Pulsed-Laser Emission and Refractive-Index Sensing Applications at 1550 nm. Coatings 2023, 13, 95. https://doi.org/10.3390/coatings13010095
Ramírez OG, Méndez MG, Tamayo RIÁ, Cortés PP. Synthesis of Magnetron-Sputtered TiN Thin-Films on Fiber Structures for Pulsed-Laser Emission and Refractive-Index Sensing Applications at 1550 nm. Coatings. 2023; 13(1):95. https://doi.org/10.3390/coatings13010095
Chicago/Turabian StyleRamírez, Omar Gaspar, Manuel García Méndez, Ricardo Iván Álvarez Tamayo, and Patricia Prieto Cortés. 2023. "Synthesis of Magnetron-Sputtered TiN Thin-Films on Fiber Structures for Pulsed-Laser Emission and Refractive-Index Sensing Applications at 1550 nm" Coatings 13, no. 1: 95. https://doi.org/10.3390/coatings13010095
APA StyleRamírez, O. G., Méndez, M. G., Tamayo, R. I. Á., & Cortés, P. P. (2023). Synthesis of Magnetron-Sputtered TiN Thin-Films on Fiber Structures for Pulsed-Laser Emission and Refractive-Index Sensing Applications at 1550 nm. Coatings, 13(1), 95. https://doi.org/10.3390/coatings13010095

