Structure, Mechanical and Thermal Properties of TiSiWN Coatings
Abstract
1. Introduction
2. Materials and Methods
2.1. Coating Deposition
2.2. Heat Treatment
2.3. Material Characterization
3. Results and Discussion
3.1. Structure and Morphology
3.2. Mechanical Properties
3.3. Thermal Stability
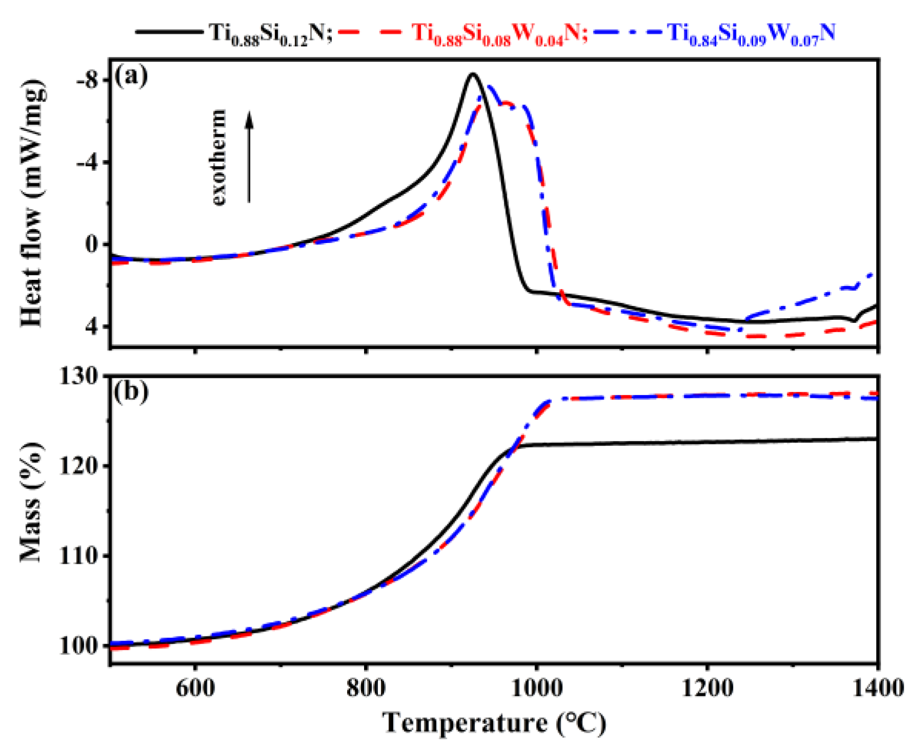
3.4. Oxidation Resistance
4. Conclusions
- Ti0.88Si0.12N coating behaves as a single-phase fcc structure, whereas Ti0.88Si0.08W0.04N and Ti0.84Si0.09W0.07N coatings reveal an fcc and bcc dual-phase structure. The hardness of our W-containing coatings with values of 41.6 ± 1.1 GPa (Ti0.88Si0.08W0.04N) and 42.0 ± 1.0 GPa (Ti0.84Si0.09W0.07N) are slightly higher than Ti0.88Si0.12N coating with value of 40.0 ± 0.5 GPa on account of the solid solution strengthening and grain refining effect, which surpasses the weakening effect of softer bcc-W phase;
- Detailed surface morphologies studies indicate that the amount and the size of the droplets decrease with increasing W content, and thus leads to a smoother surface;
- XRD analyses of the annealed coatings show a high thermal stability with a dominant fcc structure being stable up to 1300 °C. Meanwhile, the hardness of Ti0.88Si0.12N, Ti0.88Si0.08W0.04N, and Ti0.84Si0.09W0.07N coatings can still maintain 38.3 ± 1.0, 39.1 ± 1.4, and 39.0 ± 0.8 GPa after 30 min of vacuum annealing at 1100 °C, respectively;
- Introduction of W into TiSiN inhibits the anatase to rutile TiO2 transformation, thereby improving the oxidation resistance. After 750 °C oxidation for 10 h, Ti0.88Si0.12N coating is fully oxidized, while Ti0.88Si0.08W0.04N and Ti0.84Si0.09W0.07N coatings only exhibit oxide scales of ~301.5 and 279.2 nm.
Author Contributions
Funding
Institutional Review Board Statement
Informed Consent Statement
Data Availability Statement
Acknowledgments
Conflicts of Interest
References
- Wang, H.W.; Stack, M.M. The slurry erosive wear of physically vapour deposited TiN and CrN coatings under controlled corrosion. Tribol. Lett. 1999, 6, 23–36. [Google Scholar] [CrossRef]
- Shadangi, Y.; Shivam, V.; Chattopadhyay, K.; Mukhopadhyay, N.K. Powder Metallurgical Processing of Sn-Reinforced Al-Cu-Fe Quasicrystals: Structure, Microstructure and Toughening Behavior. J. Manuf. Mater. Process. 2022, 6, 60. [Google Scholar] [CrossRef]
- Singh, N.; Shadangi, Y.; Goud, G.S.; Pandey, V.K.; Shivam, V.; Mukhopadhyay, N.K. Fabrication of MgAlSiCrFe Low-Density High-Entropy Alloy by Mechanical Alloying and Spark Plasma Sintering. Trans. Indian Inst. Met. 2021, 74, 2203–2219. [Google Scholar] [CrossRef]
- Pandey, V.K.; Shadangi, Y.; Shivam, V.; Sarma, B.N.; Mukhopadhyay, N.K. Theoretical and experimental study on phase stability of TiVZrMoW refractory high entropy alloy. Philos. Mag. 2022, 102, 480–503. [Google Scholar] [CrossRef]
- Hedenqvist, P.; Olsson, M.; Wallén, P.; Kassman, Å.; Hogmark, S.; Jacobson, S. How TiN coatings improve the performance of high speed steel cutting tools. Surf. Coat. Technol. 1990, 41, 243–256. [Google Scholar] [CrossRef]
- Su, Y.L.; Yao, S.H. On the performance and application of CrN coating. Wear 1997, 205, 112–119. [Google Scholar] [CrossRef]
- Vepřek, S.; Nesládek, P.; Niederhofer, A.; Glatz, F. Search for superhard materials: Nanocrystalline composites with hardness exceeding 50 GPa. Nanostruct. Mater. 1998, 10, 679–689. [Google Scholar] [CrossRef]
- Veprek, S.; Veprek-Heijman, M.G.J.; Karvankova, P.; Prochazka, J. Different approaches to superhard coatings and nanocomposites. Thin Solid Film. 2005, 476, 1–29. [Google Scholar] [CrossRef]
- Veprek, S.; Veprek-Heijman, M.J.G. Industrial applications of superhard nanocomposite coatings. Surf. Coat. Technol. 2008, 202, 5063–5073. [Google Scholar] [CrossRef]
- Bouzakis, K.D.; Bouzakis, E.; Kombogiannis, S.; Paraskevopoulou, R.; Skordaris, G.; Makrimallakis, S.; Katirtzoglou, G.; Pappa, M.; Gerardis, S.; M’Saoubi, R.; et al. Effect of silicon content on PVD film mechanical properties and cutting performance of coated cemented carbide inserts. Surf. Coat. Technol. 2013, 237, 379–389. [Google Scholar] [CrossRef]
- Moritz, Y.; Saringer, C.; Tkadletz, M.; Stark, A.; Schell, N.; Letofsky-Papst, I.; Czettl, C.; Pohler, M.; Schalk, N. Oxidation behavior of arc evaporated TiSiN coatings investigated by in-situ synchrotron X-ray diffraction and HR-STEM. Surf. Coat. Technol. 2020, 404, 126632. [Google Scholar] [CrossRef]
- Tian, C.X.; Yang, B.; Wan, Q.; Ding, H.; Hong, M.Q.; Wang, R.Y.; Liu, H.D.; Chen, Y.M.; Yan, S.J.; Ren, F.; et al. Effects of SiH4 flow rate on microstructure and mechanical properties of TiSiN nanocomposite coatings by cathodic arc ion plating. Vacuum 2015, 117, 12–16. [Google Scholar] [CrossRef]
- Flink, A.; Beckers, M.; Sjolen, J.; Larsson, T.; Braun, S.; Karlsson, L.; Hultman, L. The location and effects of Si in (Ti1-xSix)Ny thin films. J. Mater. Res. 2009, 24, 2483–2498. [Google Scholar] [CrossRef]
- Pei, F.; Xu, Y.X.; Chen, L.; Du, Y.; Zou, H.K. Structure, mechanical properties and thermal stability of Ti1-xSixN coatings. Ceram. Int. 2018, 44, 15503–15508. [Google Scholar] [CrossRef]
- Diserens, M.; Patscheider, J.; Lévy, F. Mechanical properties and oxidation resistance of nanocomposite TiN–SiNx physical-vapor-deposited thin films. Surf. Coat. Technol. 1999, 120–121, 158–165. [Google Scholar] [CrossRef]
- Vaz, F.; Rebouta, L.; Goudeau, P.; Pacaud, J.; Garem, H.; Rivière, J.P.; Cavaleiro, A.; Alves, E. Characterisation of Ti1−xSixNy nanocomposite films. Surf. Coat. Technol. 2000, 133–134, 307–313. [Google Scholar] [CrossRef]
- Greczynski, G.; Bakhit, B.; Hultman, L.; Odén, M. High Si content TiSiN films with superior oxidation resistance. Surf. Coat. Technol. 2020, 398, 126087. [Google Scholar] [CrossRef]
- Cheng, Y.H.; Browne, T.; Heckerman, B.; Meletis, E.I. Mechanical and tribological properties of nanocomposite TiSiN coatings. Surf. Coat. Technol. 2010, 204, 2123–2129. [Google Scholar] [CrossRef]
- Sperr, M.; Zhang, Z.L.; Ivanov, Y.P.; Mayrhofer, P.H.; Bartosik, M. Correlating elemental distribution with mechanical properties of TiN/SiNx nanocomposite coatings. Scr. Mater. 2019, 170, 20–23. [Google Scholar] [CrossRef]
- Nose, M.; Deguchi, Y.; Mae, T.; Honbo, E.; Nagae, T.; Nogi, K. Influence of sputtering conditions on the structure and properties of Ti–Si–N thin films prepared by r.f.-reactive sputtering. Surf. Coat. Technol. 2003, 174–175, 261–265. [Google Scholar] [CrossRef]
- Zhu, J.Q.; Johansson-Jöesaar, M.P.; Polcik, P.; Jensen, J.; Greczynski, G.; Hultman, L.; Odén, M. Influence of Ti–Si cathode grain size on the cathodic arc process and resulting Ti–Si–N coatings. Surf. Coat. Technol. 2013, 235, 637–647. [Google Scholar] [CrossRef]
- Niederhofer, A.; Bolom, T.; Nesladek, P.; Moto, K.; Eggs, C.; Patil, D.S.; Veprek, S. The role of percolation threshold for the control of the hardness and thermal stability of super- and ultrahard nanocomposites. Surf. Coat. Technol. 2001, 146–147, 183–188. [Google Scholar] [CrossRef]
- Männling, H.D.; Patil, D.S.; Moto, K.; Jilek, M.; Veprek, S. Thermal stability of superhard nanocomposite coatings consisting of immiscible nitrides. Surf. Coat. Technol. 2001, 146–147, 263–267. [Google Scholar] [CrossRef]
- Wang, H.T.; Xu, Y.X.; Chen, L. Optimization of Cr-Al-N coating by multilayer architecture with TiSiN insertion layer. J. Alloys Comp. 2017, 728, 952–958. [Google Scholar] [CrossRef]
- Sahul, M.; Smyrnova, K.; Haršáni, M.; Čaplovič, Ľ.; Pogrebnjak, A.; Sahul, M.; Kusý, M.; Babincová, P.; Vopát, T. Effect of lanthanum addition on the structure evolution and mechanical properties of the nanocomposite Ti-Si-N coatings. Mater. Lett. 2020, 276, 128180. [Google Scholar] [CrossRef]
- Fernandes, F.; Oliveira, J.C.; Cavaleiro, A. Self-lubricating TiSi(V)N thin films deposited by deep oscillation magnetron sputtering (DOMS). Surf. Coat. Technol. 2016, 308, 256–263. [Google Scholar] [CrossRef]
- Fernandes, F.; Polcar, T.; Cavaleiro, A. Tribological properties of self-lubricating TiSiVN coatings at room temperature. Surf. Coat. Technol. 2015, 267, 8–14. [Google Scholar] [CrossRef]
- Fernandes, F.; Loureiro, A.; Polcar, T.; Cavaleiro, A. The effect of increasing V content on the structure, mechanical properties and oxidation resistance of Ti–Si–V–N films deposited by DC reactive magnetron sputtering. Appl. Surf. Sci. 2014, 289, 114–123. [Google Scholar] [CrossRef]
- Takahashi, K.; Oka, N.; Yamaguchi, M.; Seino, Y.; Hattori, K.; Nakamura, S.-i.; Sato, Y.; Shigesato, Y. Oxidation Resistance of Ti-Si-N and Ti-Al-Si-N Films Deposited by Reactive Sputtering Using Alloy Targets. Jpn. J. Appl. Phys. 2011, 50, 075802. [Google Scholar] [CrossRef]
- Marchin, N.; Ashrafizadeh, F. Effect of carbon addition on tribological performance of TiSiN coatings produced by cathodic arc physical vapour deposition. Surf. Coat. Technol. 2021, 407, 126781. [Google Scholar] [CrossRef]
- Xu, J.; Wang, G.d.; Lu, X.; Liu, L.; Munroe, P.; Xie, Z.-H. Mechanical and corrosion-resistant properties of Ti–Nb–Si–N nanocomposite films prepared by a double glow discharge plasma technique. Ceram. Int. 2014, 40, 8621–8630. [Google Scholar] [CrossRef]
- Dang, C.; Li, J.; Wang, Y.; Yang, Y.; Wang, Y.; Chen, J. Influence of Ag contents on structure and tribological properties of TiSiN-Ag nanocomposite coatings on Ti–6Al–4V. Appl. Surf. Sci. 2017, 394, 613–624. [Google Scholar] [CrossRef]
- Cavaleiro, D.; Carvalho, S.; Cavaleiro, A.; Fernandes, F. TiSiN(Ag) films deposited by HiPIMS working in DOMS mode: Effect of Ag content on structure, mechanical properties and thermal stability. Appl. Surf. Sci. 2019, 478, 426–434. [Google Scholar] [CrossRef]
- Yang, J.F.; Yuan, Z.G.; Zhang, G.G.; Wang, X.P.; Fang, Q.F. Manufacture, microstructure and mechanical properties of Mo–W–N nanostructured hard films. Mater. Res. Bull. 2009, 44, 1948–1953. [Google Scholar] [CrossRef]
- Buchinger, J.; Koutná, N.; Kirnbauer, A.; Holec, D.; Mayrhofer, P.H. Heavy-element-alloying for toughness enhancement of hard nitrides on the example Ti-W-N. Acta Mater. 2022, 231, 117897. [Google Scholar] [CrossRef]
- Sangiovanni, D.G.; Hultman, L.; Chirita, V.; Petrov, I.; Greene, J.E. Effects of phase stability, lattice ordering, and electron density on plastic deformation in cubic TiWN pseudobinary transition-metal nitride alloys. Acta Mater. 2016, 103, 823–835. [Google Scholar] [CrossRef]
- Dubey, P.; Srivastava, S.; Chandra, R.; Ramana, C.V. Toughness enhancement in zirconium-tungsten-nitride nanocrystalline hard coatings. AIP Adv. 2016, 6, 075211. [Google Scholar] [CrossRef]
- Kindlund, H.; Sangiovanni, D.G.; Lu, J.; Jensen, J.; Chirita, V.; Petrov, I.; Greene, J.E.; Hultman, L. Effect of WN content on toughness enhancement in V1−xWxN/MgO(001) thin films. J. Vac. Sci. Technol. A 2014, 32, 030603. [Google Scholar] [CrossRef]
- Gassner, G.; Mayrhofer, P.H.; Kutschej, K.; Mitterer, C.; Kathrein, M. Magnéli phase formation of PVD Mo–N and W–N coatings. Surf. Coat. Technol. 2006, 201, 3335–3341. [Google Scholar] [CrossRef]
- Severo, V.; Vilhena, L.; Silva, P.N.; Dias, J.P.; Becker, D.; Wagner, S.; Cavaleiro, A. Tribological behaviour of W–Ti–N coatings in semi-industrial strip-drawing tests. J. Mater. Process. Technol. 2009, 209, 4662–4667. [Google Scholar] [CrossRef]
- Tian, B.; Yue, W.; Fu, Z.; Gu, Y.; Wang, C.; Liu, J. Microstructure and tribological properties of W-implanted PVD TiN coatings on 316L stainless steel. Vacuum 2014, 99, 68–75. [Google Scholar] [CrossRef]
- Li, X.; Bakhit, B.; Johansson Jõesaar, M.P.; Petrov, I.; Hultman, L.; Greczynski, G. Towards energy-efficient physical vapor deposition: Mapping out the effects of W+ energy and concentration on the densification of TiAlWN thin films grown with no external heating. Surf. Coat. Technol. 2021, 424, 127639. [Google Scholar] [CrossRef]
- Li, X.; Bakhit, B.; Joesaar, M.P.J.; Petrov, I.; Hultman, L.; Greczynski, G. Dense, single-phase, hard, and stress-free Ti0.32Al0.63W0.05N films grown by magnetron sputtering with dramatically reduced energy consumption. Sci. Rep. 2022, 12, 2166. [Google Scholar] [CrossRef]
- Glatz, S.A.; Bolvardi, H.; Kolozsvári, S.; Koller, C.M.; Riedl, H.; Mayrhofer, P.H. Arc evaporated W-alloyed Ti-Al-N coatings for improved thermal stability, mechanical, and tribological properties. Surf. Coat. Technol. 2017, 332, 275–282. [Google Scholar] [CrossRef]
- Szkliniarz, A.; Moskal, G.; Szkliniarz, W.; Swadźba, R. Improvement of oxidation resistance of Ti–47Al–2W–0.5Si alloy modified by aluminizing method. Surf. Coat. Technol. 2015, 277, 270–277. [Google Scholar] [CrossRef]
- Oliver, W.C.; Pharr, G.M. An improved technique for determining hardness and elastic modulus using load and displacement sensing indentation experiments. J. Mater. Res. 1992, 7, 1564–1583. [Google Scholar] [CrossRef]
- Mayrhofer, P.H.; Mitterer, C. High-temperature properties of nanocomposite TiBxNy and TiBxCy coatings. Surf. Coat. Technol. 2000, 133–134, 131–137. [Google Scholar] [CrossRef]
- Eriksson, A.O.; Zhu, J.Q.; Ghafoor, N.; Johansson, M.P.; Sjölen, J.; Jensen, J.; Odén, M.; Hultman, L.; Rosén, J. Layer formation by resputtering in Ti–Si–C hard coatings during large scale cathodic arc deposition. Surf. Coat. Technol. 2011, 205, 3923–3930. [Google Scholar] [CrossRef]
- Li, X.; Bakhit, B.; Jõesaar, M.P.J.; Hultman, L.; Petrov, I.; Greczynski, G. Toward energy-efficient physical vapor deposition: Routes for replacing substrate heating during magnetron sputter deposition by employing metal ion irradiation. Surf. Coat. Technol. 2021, 415, 127120. [Google Scholar] [CrossRef]
- Wan, Q.; Ding, H.; Yousaf, M.I.; Chen, Y.M.; Liu, H.D.; Hu, L.; Yang, B. Corrosion behaviors of TiN and Ti-Si-N (with 2.9at.% and 5.0at.% Si) coatings by electrochemical impedance spectroscopy. Thin Solid Film. 2016, 616, 601–607. [Google Scholar] [CrossRef]
- Panjan, P.; Drnovsek, A.; Gselman, P.; Cekada, M.; Panjan, M. Review of Growth Defects in Thin Films Prepared by PVD Techniques. Coatings 2020, 10, 447. [Google Scholar] [CrossRef]
- Hollerweger, R.; Zhou, L.; Holec, D.; Koller, C.M.; Rachbauer, R.; Polcik, P.; Mayrhofer, P.H. Controlling microstructure, preferred orientation, and mechanical properties of Cr-Al-N by bombardment and alloying with Ta. J. Appl. Phys. 2016, 119, 065304. [Google Scholar] [CrossRef]
- Mayrhofer, P.H.; Mitterer, C.; Wen, J.G.; Petrov, I.; Greene, J.E. Thermally induced self-hardening of nanocrystalline Ti-B-N thin films. J. Appl. Phys. 2006, 100, 044301. [Google Scholar] [CrossRef]
- Chen, L.; Paulitsch, J.; Du, Y.; Mayrhofer, P.H. Thermal stability and oxidation resistance of Ti–Al–N coatings. Surf. Coat. Technol. 2012, 206, 2954–2960. [Google Scholar] [CrossRef]
- Hanaor, D.A.H.; Sorrell, C.C. Review of the anatase to rutile phase transformation. J. Mater. Sci. 2011, 46, 855–874. [Google Scholar] [CrossRef]
- Muscat, J.; Swamy, V.; Harrison, N.M. First-principles calculations of the phase stability of TiO2. Phys. Rev. B 2002, 65, 224112. [Google Scholar] [CrossRef]
- Detor, A.J.; Hodge, A.M.; Chason, E.; Wang, Y.; Xu, H.; Conyers, M.; Nikroo, A.; Hamza, A. Stress and microstructure evolution in thick sputtered films. Acta Mater. 2009, 57, 2055–2065. [Google Scholar] [CrossRef]
- Kacsich, T.; Nicolet, M.A. Moving species in Ti34Si23N43 oxidation. Thin Solid Film. 1999, 349, 1–3. [Google Scholar] [CrossRef]
- Kacsich, T.; Gasser, S.; Tsuji, Y.; Dommann, A.; Nicolet, M.A.; Nicolet, A. Wet oxidation of Ti34Si23B43. J. Appl. Phys. 1999, 85, 1871–1875. [Google Scholar] [CrossRef]









| Coatings | FWHM, Deg | Ra, μm | Rz, μm | |
|---|---|---|---|---|
| (111) | (200) | |||
| Ti0.88Si0.12N | 0.782 | 0.876 | 0.279 | 3.106 |
| Ti0.88Si0.08W0.04N | 0.788 | 0.901 | 0.229 | 2.763 |
| Ti0.84Si0.09W0.07N | 0.908 | 0.963 | 0.181 | 2.631 |
Disclaimer/Publisher’s Note: The statements, opinions and data contained in all publications are solely those of the individual author(s) and contributor(s) and not of MDPI and/or the editor(s). MDPI and/or the editor(s) disclaim responsibility for any injury to people or property resulting from any ideas, methods, instructions or products referred to in the content. |
© 2023 by the authors. Licensee MDPI, Basel, Switzerland. This article is an open access article distributed under the terms and conditions of the Creative Commons Attribution (CC BY) license (https://creativecommons.org/licenses/by/4.0/).
Share and Cite
Hu, W.; Du, J.; Liu, Z.; Sun, X.; Chen, L. Structure, Mechanical and Thermal Properties of TiSiWN Coatings. Coatings 2023, 13, 119. https://doi.org/10.3390/coatings13010119
Hu W, Du J, Liu Z, Sun X, Chen L. Structure, Mechanical and Thermal Properties of TiSiWN Coatings. Coatings. 2023; 13(1):119. https://doi.org/10.3390/coatings13010119
Chicago/Turabian StyleHu, Wen, Jianwei Du, Zheren Liu, Xu Sun, and Li Chen. 2023. "Structure, Mechanical and Thermal Properties of TiSiWN Coatings" Coatings 13, no. 1: 119. https://doi.org/10.3390/coatings13010119
APA StyleHu, W., Du, J., Liu, Z., Sun, X., & Chen, L. (2023). Structure, Mechanical and Thermal Properties of TiSiWN Coatings. Coatings, 13(1), 119. https://doi.org/10.3390/coatings13010119
