Experimental Research on Properties of UHPC Based on Composite Cementitious Materials System
Abstract
:1. Introduction
2. Experimental Program
2.1. Materials
2.2. Preparation of Geopolymer Recycled-Aggregate Pervious Concrete
2.2.1. Mixture Proportions
2.2.2. Specimen Preparation
2.2.3. Testing Methods
- (1)
- Working performance and mechanical properties
- (2)
- Shrinkage and hydration temperature
- (3)
- Mineralogical compositions and microstructure
3. Results
3.1. Working Performance
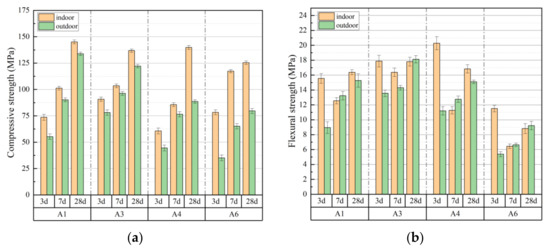
3.2. Mechanical Performance
3.3. Mineralogical Compositions and Microstructure
3.4. Shrinkage and Hydration Temperature
4. Conclusions
- (1)
- In UHPC based on composite cementitious materials system, SAC can contribute to improving the working performance, PC and SAC can promote their hydration process mutually, so as to greatly shorten the setting time. In the PC-SAC composite cementing material system, the effect of shortening the setting time with the ratio of SAC of 0.1 is far better with the ratio of SAC of 0.2;
- (2)
- When the ratio of SAC is between 0.1 and 0.2 in PC-SAC composite cement material system, its flexural strength has a certain degree of decrease with excellent mechanical properties still remaining. UHPC based on composite cementitious materials system has potential to apply in repair of highway and bridge. Depending on the actual requirements of the different application, the ratio of SAC can be varied in the PC-SAC composite cement material system;
- (3)
- The micro analysis of UHPC based on composite cementitious materials system can further prove that SAC plays a role in promoting the hydration of the system. The relatively dense microstructure assures the mechanical properties of UHPC based on composite cementitious materials system. However, more SAC is not better for the properties of UHPC based on composite cementitious materials system. The experimental results showed that UHPC based on composite cementitious materials system would have better properties when the ratio of SAC is 0.1~0.2;
- (4)
- UHPC will provide excellent mechanical performance indoors. However, the flexural strength of UHPC is not decreased outdoors. The rate of hydration is faster in UHPC outdoor so that more C-S-H gel produced will wrap in some extent. The decomposition of is promoted so that more C-A-H gel and other products are produced due to the unstable temperature outdoors. Moreover, C-A-H gel will also wrap in some extent. So, there was more C-S-H gel, C-A-H gel, in UHPC outdoor. The hydration of UHPC was not complete outdoors. The outdoor performance of UHPC will be optimized by the proper ratio of SAC in PC-SAC composite cement system;
- (5)
- The macroscopic properties and micro analysis of UHPC based on composite cementitious materials system could verify the influence of SAC on PC-SAC composite cement system and the influence of curing conditions on UHPC. It can also be the basic method on the analysis of the composite cementitious materials system. In the research, there are no comprehensive investigations of the UHPC based on composite cementitious materials system in the numerical simulation method. In the future, the research of UHPC based on composite cementitious materials system can be investigated in the numerical simulation method so that the research can be improved and universal in the research of UHPC for repair of highway and bridge.
Author Contributions
Funding
Institutional Review Board Statement
Informed Consent Statement
Data Availability Statement
Conflicts of Interest
References
- Chen, W.; Zheng, Y.B.; Tang, C.H.; Zhunge, W.J.; Xu, Y.D. Fatigue performance of epoxy-based concrete for bridge expansion joint rapid and the repaired concrete members. Ceram-Silikaty 2021, 65, 326–333. [Google Scholar] [CrossRef]
- Zhang, K. Research on the Preparation and Properties of Epoxy Resin Concrete in Bridge Expansion Joint Transition Zone. Master’s Thesis, Hebei University of Engineering, Handan, China, 15 December 2021. [Google Scholar]
- Cui, B.L. Research on the application of steel fiber epoxy concrete in repairing bridge expansion joints. Transp. World 2019, 12, 96–97. [Google Scholar]
- Zhang, T. Study on the Properties of New Polyurethane Elastic Concrete Expansion Joints. Master’s Thesis, Chongqing Jiaotong University, Chongqing, China, 12 June 2017. [Google Scholar]
- Yang, Y. Research of Rapid Repair Materials for Bridge Expansion Joints Rehabilitation. Master’s Thesis, Chongqing Jiaotong University, Chongqing, China, 14 June 2017. [Google Scholar]
- Zheng, X.G. Research on Highway Bridge Expansion Joint Transition Zone Rapid Repair Material. Master’s Thesis, Chongqing Jiaotong University, Chongqing, China, 16 June 2016. [Google Scholar]
- Li, Y. Study on Preparation and Properties of Self-Compacting Concrete Toughened with Fiber Polymer for Bridge Expansion Joint. Master’s Thesis, Chongqing Jiaotong University, Chongqing, China, 10 June 2019. [Google Scholar]
- Mao, Q.; Zhang, Z.G.; Ma, H. Flexural performance of emulsified-asphalt-modified ECC for expansion joint use. Adv. Civ. Eng. 2021, 2021, 6640167. [Google Scholar] [CrossRef]
- Liu, S.G.; Chang, Z.H.; Zhang, D.X.; Zhang, G.C.; Chai, Y.B. Application of high ductility fiber reinforced cementitious composites (PVA-ECC) material in bridge expansion joints engineering. China Concr. Cem. Prod. 2016, 2, 80–82. [Google Scholar]
- Wang, K.; Ge, C.C.; Li, B.D.; Ren, L.; Zhao, G.G. Repair technology for concrete in highway bridge expansion joint transition zone. Chin. Ceram. Soc. 2017, 8, 2838–2843. [Google Scholar]
- Cui, Y. Research and Application of Rapid Repair Material System for Bridge Expansion Joints. Master’s Thesis, Lanzhou Jiaotong University, Lanzhou, China, 17 September 2018. [Google Scholar]
- Ma, K.Y. Research and Application of Rapid Repairing Materials for Bridge Expansion Joints. Master’s Thesis, Lanzhou Jiaotong University, Lanzhou, China, 20 June 2019. [Google Scholar]
- Zhang, Z.T. Study on the performance of polycarboxylate water reducer on ordinary Portland cement-sulfoaluminate cement composite system. Concrete 2020, 1, 115–118. [Google Scholar]
- Yang, C.; Li, J.H.; Zhu, Z.; Wang, S.H.; Liu, Y.P. Characterization of sulphoaluminate cement-asphalt emulsion mortar for cement and asphalt mortar repair. Front. Mater. 2020, 7, 101. [Google Scholar] [CrossRef]
- Gan, Y.G.; Zhang, X.D.; Jiang, Z.L.; Lu, D.; Xu, N.; Han, L.J.; Han, X. Cementitious fillers in cement asphalt emulsion mixtures: Long-term performance and microstructure. Arab. J. Sci. Eng. 2022, 47, 4943–4953. [Google Scholar] [CrossRef]
- Zhao, C.Y.; Du, X.Y.; Sang, G.C. Development and performance characterization of ultra-light foam thermal insulation material based on ordinary Portland cement modified by sulphoaluminate cement. In Proceedings of the Asia Conference on Geological Research and Environmental Technology (GRET), Kamakura City, Japan, 10–11 October 2020. [Google Scholar]
- Cai, L.X.; Li, X.G.; Ma, B.G.; Lv, Y. Effect of binding materials on carbide slag based high utilization solid-wastes autoclaved aerated concrete (HUS-AAC): Slurry, physic-mechanical property and hydration products. Constr. Build. Mater. 2018, 188, 221–236. [Google Scholar] [CrossRef]
- Liu, Y.; Hao, W.R.; He, W.; Meng, X.; Shen, Y.L.; Du, T.; Wang, H. Influence of dolomite rock powder and iron tailings powder on the electrical resistivity, strength and microstructure of cement pastes and concrete. Coatings 2022, 12, 95. [Google Scholar] [CrossRef]
- Lu, D.; Zhong, J.; Yan, B.B.; Gong, J.; He, Z.Y.; Zhang, G.H.; Song, C.Z. Effects of curing conditions on the mechanical and microstructural properties of ultra-high-performance concrete (UHPC) incorporating iron tailing powder. Materials 2021, 14, 215. [Google Scholar] [CrossRef]
- Cai, Z.J.; Wang, H. Influence of NaCl freeze–thaw cycles on the mechanical strength of reactive powder concrete with the assembly unit of sulphoaluminate cement and ordinary Portland cement. Coatings 2021, 11, 1238. [Google Scholar] [CrossRef]
- Huang, G.P.; Wang, H.; Shi, F.T. Coupling effect of salt freeze-thaw cycles and carbonation on the mechanical performance of quick hardening sulphoaluminate cement-based reactive powder concrete with basalt fibers. Coatings 2021, 11, 1142. [Google Scholar] [CrossRef]
- Ren, L.; Liang, M.Y.; Wang, K.; He, Y.; Zhao, G.G. Key performance and application of ultra high performance concrete in bridge expansion joint. Bull. Chin. Ceram. Soc. 2018, 37, 2048–2052. [Google Scholar]
- Xu, W.; Zhang, B.H.; Chen, L.P. Application of UHPC in bridge expansion joint disease treatment project. China Constr. Soc. 2020, 6, 142–143. [Google Scholar]
- Zhou, M.; Lu, W.; Song, J.W.; Lee, G.C. Application of Ultra-High Performance Concrete in bridge engineering. Constr. Build. Mater. 2018, 186, 1256–1267. [Google Scholar] [CrossRef]
- Shi, C.J.; Wu, Z.M.; Xiao, J.F.; Wang, D.H. A review on ultra high performance concrete: Part I. Raw materials and mixture design. Constr. Build. Mater. 2015, 101, 741–751. [Google Scholar] [CrossRef]
- Du, J.; Meng, W.N.; Khayat, H.K.; Bao, Y.; Guo, P.W.; Lyu, Z.H.; Abu-obeidah, A.; Nassif, H.; Wang, H. New development of ultra-high-performance concrete (UHPC). Compos. Part. B Eng. 2021, 224, 109220. [Google Scholar] [CrossRef]
- Zhao, D.; Lian, L.Z.; Jin, J.L. A new mode of steel-concrete composite-UHPC: Part IV. Engineering and product application, value, potential and sustainable development. China Concr. 2014, 1, 48–64. [Google Scholar]
- Zhao, D.; Lian, L.Z.; Jin, J.L. A new mode of steel-concrete composite-UHPC: Part I. Present situation, problems and countermeasures of steel-concrete composite mode and development of UHPC. China Concr. 2013, 10, 56–69. [Google Scholar]
- Suleiman, M.T.; Vande, T.V.; Sritharan, S. Behavior of driven ultrahigh-performance concrete H-Piles subjected to vertical and lateral loadings. J. Geotech. Geoenviron. 2010, 136, 1403–1413. [Google Scholar] [CrossRef]
- Li, Y.; Jin, Z.R.; Ruan, X.; Ma, B.; Shi, X.F. A laboratory test of UHPC connection for precast bridge deck. In High Tech Concrete—Where Technology and Engineering Meet; Springer: Maastricht, The Netherlands, 2017; Volume 6, pp. 12–14. [Google Scholar]
- Kruszewski, D.; Wille, K.; Zaghi, A.E. Design considerations for headed shear studs embedded in ultra-high performance concrete as part of a novel bridge repair method. J. Constr. Steel Res. 2018, 149, 180–194. [Google Scholar] [CrossRef]
- Kruszewski, D.; Zaghi, A.E.; Wille, K. Durability evaluation of headed shear studs embedded in ultrahigh-performance concrete via electrochemical corrosion. J. Constr. Steel Res. 2019, 24, 04019038. [Google Scholar] [CrossRef]
- Zmetra, K.M.; McMullen, K.F.; Zaghi, A.E.; Wille, K. Experimental study of UHPC repair for corrosion-damaged steel girder ends. J. Bridge Eng. 2017, 22. [Google Scholar] [CrossRef]
- McMullen, K.F.; Zaghi, A.E. Experimental evaluation of full-scale corroded steel plate girders repaired with UHPC. J. Bridge Eng. 2020, 25, 04020011. [Google Scholar] [CrossRef]
- Zou, X.X.; Wang, J.Q. Experimental study on joints and flexural behavior of FRP truss-UHPC hybrid bridge. Compos. Struct. 2018, 203, 414–424. [Google Scholar] [CrossRef]
- Yuan, Y.; Wu, C.; Jiang, X. Experimental study on the fatigue behavior of the orthotropic steel deck rehabilitated by UHPC overlay. J. Constr. Steel Res. 2019, 157, 1–9. [Google Scholar] [CrossRef]
- Shah, Y.I.; Hu, Z.J.; Yin, B.S.; Li, X. Flexural performance analysis of UHPC wet joint of prefabricated bridge deck. Arab. J. Sci. Eng. 2021, 46, 11253–11266. [Google Scholar] [CrossRef]
- Khosravani, M.R.; Silani, M.; Weinberg, K. Fracture studies of ultra-high performance concrete using dynamic Brazilian tests. Theor. Appl. Fract. Mech. 2018, 93, 302–310. [Google Scholar] [CrossRef]
- Ding, B.; Ouyang, L.J.; Fang, Y.K. Review and prospect of early strength performance of concrete. China Concr. Cem. Prod. 2020, 9, 24–29. [Google Scholar]
- Li, Y.; Tan, H.K.; Yang, E.H. Influence of aggregate size and inclusion of polypropylene and steel fibers on the hot permeability of ultra-high performance concrete (UHPC) at elevated temperature. Constr. Build. Mater. 2018, 169, 629–637. [Google Scholar] [CrossRef]
- Lu, L.C.; Chen, X. Development of composite cement materials on Portland and sulphoaluminate minerals. J. Jinan Univ. Sci. Technol. 2004, 1, 24–27. [Google Scholar]
- Cui, S.P. Investigation on the Ailicate-Sulphoaluminate Compound System Cement. Ph.D. Thesis, Beijing University of Technology, Beijing, China, 1 March 2005. [Google Scholar]
- Nie, G.L.; Sun, S.B.; Yao, X.D.; Tian, Y.L. Performance research on mortar with ordinary Portland cement mixed with rapid hardening sulphoaluminate cement. China Concr. Cement. Prod. 2014, 3, 10–13. [Google Scholar]
- EN-480-2; Admixtures for Concrete, Mortar and Grout-Test Methods-Part 2: Determination of Setting Time. Institution-BSI CEN: London, UK, 2006.
- EN-1015-3; Methods of Test for Mortar for Masonry-Part 3: Determination of Consistence of Fresh Mortar (by Flow Table). Institution-BSI CEN: London, UK, 2007.
- EN 12390-3; Testing Hardened Concrete-Part 3: Compressive Strength of Test Specimens. Institution-BSI CEN: London, UK, 2009.
- EN-196-1; Methods of Testing Cement-Part 1: Determination of Strength. Institution-BSI CEN: London, UK, 2005.
- DIN 52-450; Determination of Shrinkage and Expansion of Small Test Specimens. Beuth Verlag: Berlin, Germany, 1985.
- Zhou, S.H. Effect of Ultra-Fine Powder (CaCO3 and SiO2) on Performance of Sulphoaluminate Cement. Master’s Thesis, Chongqing University, Chongqing, China, 8 April 2005. [Google Scholar]
- Fan, J.P. The Preparation and Performance of Super High Early Strength Cement-Based Materials. Master’s Thesis, Southeast University, Nanjing, China, 1 March 2015. [Google Scholar]
- Ding, X.Q.; Zhao, X.Y.; Xu, X.W.; Fang, Y.F. Effect of admixtures on properties of sulphoaluminate cement-common Portland cement composite system. New Build. Mater. 2020, 47, 40–44. [Google Scholar]
- Chen, B.C.; Li, C.; Huang, W.; An, M.Z.; Han, S.; Ding, Q.J. Review of ultra-high performance concrete shrinkage. J. Traffic Transp. Eng. 2018, 18, 13–28. [Google Scholar]

















| Material | SiO2 | Al2O3 | Fe2O3 | CaO | MgO | SO3 | Loss |
|---|---|---|---|---|---|---|---|
| PC 1 | 27.94 | 6.85 | 2.53 | 53.65 | 6.85 | / | 3.02 |
| SAC 2 | 7.64 | 26.63 | 4.28 | 45.88 | 0.84 | 4.97 | 4.08 |
| SF 3 | 98.74 | 0.64 | 0.05 | 0.13 | 0.43 | / | 6.02 |
| FA 4 | 62.66 | 21.73 | 4.45 | 4.98 | 1.47 | / | 1.11 |
| Specimen | W/B Ratio | PC | SAC | SF | FA | F | QS | SP |
|---|---|---|---|---|---|---|---|---|
| A1 | 0.18 | 1.00 | / | 0.23 | 0.24 | 0.16 | 1.32 | 0.05 |
| A2 | 0.95 | 0.05 | ||||||
| A3 | 0.90 | 0.10 | ||||||
| A4 | 0.80 | 0.20 | ||||||
| A5 | 0.70 | 0.30 | ||||||
| A6 | / | 1.00 |
Publisher’s Note: MDPI stays neutral with regard to jurisdictional claims in published maps and institutional affiliations. |
© 2022 by the authors. Licensee MDPI, Basel, Switzerland. This article is an open access article distributed under the terms and conditions of the Creative Commons Attribution (CC BY) license (https://creativecommons.org/licenses/by/4.0/).
Share and Cite
Kong, F.; Xu, F.; Xiong, Q.; Xu, S.; Li, X.; Fu, W.; Guo, Z. Experimental Research on Properties of UHPC Based on Composite Cementitious Materials System. Coatings 2022, 12, 1219. https://doi.org/10.3390/coatings12081219
Kong F, Xu F, Xiong Q, Xu S, Li X, Fu W, Guo Z. Experimental Research on Properties of UHPC Based on Composite Cementitious Materials System. Coatings. 2022; 12(8):1219. https://doi.org/10.3390/coatings12081219
Chicago/Turabian StyleKong, Fansheng, Fang Xu, Qiuyang Xiong, Songji Xu, Xiang Li, Wenxiang Fu, and Zhijiong Guo. 2022. "Experimental Research on Properties of UHPC Based on Composite Cementitious Materials System" Coatings 12, no. 8: 1219. https://doi.org/10.3390/coatings12081219
APA StyleKong, F., Xu, F., Xiong, Q., Xu, S., Li, X., Fu, W., & Guo, Z. (2022). Experimental Research on Properties of UHPC Based on Composite Cementitious Materials System. Coatings, 12(8), 1219. https://doi.org/10.3390/coatings12081219
