The Fabrication of a High-Precision Rotational Symmetric Hyperboloid Mirror by Magnetron Sputtering with Film Thickness Correction
Abstract
1. Introduction
2. Simulation of Surface Correction Figure
3. Method
3.1. Planetary Motion Magnetron Sputtering Coating System
3.2. Principles of Profile-Coating Method
3.3. Mask Design
4. Experiment
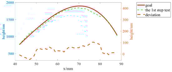
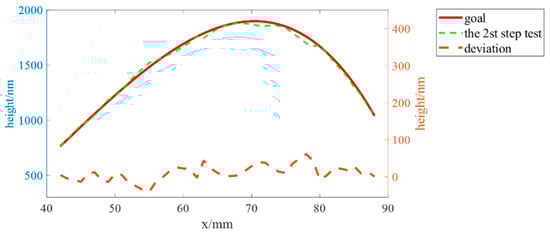
4.1. Film Thickness Calibration
4.2. Spherical Mirror Coating
5. Conclusions
Author Contributions
Funding
Institutional Review Board Statement
Informed Consent Statement
Data Availability Statement
Conflicts of Interest
References
- Heynacher, E. Aspheric optics. How they are made and why they are needed. Phys. Technol. 1979, 10, 124. [Google Scholar] [CrossRef]
- Linfoot, E. On some optical systems employing aspherical surfaces. Mon. Not. R. Astron. Soc. 1943, 103, 210–221. [Google Scholar] [CrossRef][Green Version]
- Sharma, R.; Mishra, V.; Khatri, N.; Garg, H.; Karar, V. A hybrid fabrication approach and profile error compensation for silicon aspheric optics. Proc. Inst. Mech. Eng. Part B J. Eng. Manuf. 2017, 233, 1600–1607. [Google Scholar] [CrossRef]
- Wynne, C.G. Ritchey-Chretien telescopes and extended field systems. Astrophys. J. 1968, 152, 675. [Google Scholar] [CrossRef]
- Wetherell, W.B.; Rimmer, M.P. General analysis of aplanatic Cassegrain, Gregorian, and Schwarzschild telescopes. Appl. Opt. 1972, 11, 2817–2832. [Google Scholar] [CrossRef]
- Aspden, R.; McDonough, R.; Nitchie, F.R. Computer assisted optical surfacing. Appl. Opt. 1972, 11, 2739–2747. [Google Scholar] [CrossRef]
- Jones, R.A. Optimization of computer controlled polishing. Appl. Opt. 1977, 16, 218–224. [Google Scholar] [CrossRef]
- Jones, R.A. Fabrication using the computer controlled polisher. Appl. Opt. 1978, 17, 1889–1892. [Google Scholar] [CrossRef]
- Allen, L.N.; Keim, R.E.; Lewis, T.S.; Ullom, J.R. Surface error correction of a Keck 10-m telescope primary mirror segment by ion figuring. Proc. SPIE 1991, 1531, 195–204. [Google Scholar]
- Jacobs, S.D.; Golini, D.; Hsu, Y.; Puchebner, B.E.; Strafford, D.; Prokhorov, I.V.; Fess, E.M.; Pietrowski, D.; Kordonski, W.I. Magnetorheological finishing: A deterministic process for optics manufacturing. Proc. SPIE 1995, 2576, 372–382. [Google Scholar]
- Yamauchi, K.; Mimura, H.; Inagaki, K.; Mori, Y. Figuring with subnanometer-level accuracy by numerically controlled elastic emission machining. Rev. Sci. Instrum. 2002, 73, 4028–4033. [Google Scholar] [CrossRef]
- Ice, G.E.; Chung, J.S.; Tischler, J.Z.; Lunt, A.; Assoufid, L. Elliptical X-ray microprobe mirrors by differential deposition. Rev. Sci. Instrum. 2000, 71, 2635–2639. [Google Scholar] [CrossRef]
- Liu, C.; Assoufid, L.; Macrander, A.T.; Ice, G.E.; Tischler, J.Z. Profile coating for KB mirror applications at the Advanced Photon Source. Proc. SPIE 2002, 4782, 104–112. [Google Scholar]
- Liu, C. Profile coating and its application for Kirkpatrick-Baez mirrors. Opt. Eng. 2003, 42, 3622–3628. [Google Scholar] [CrossRef]
- NTRS-NASA Technical Reports Server. Available online: https://ntrs.nasa.gov/citations/20120002986 (accessed on 27 October 2020).
- Kilaru, K.; Atkins, C.; Ramsey, B.D.; Kolodziejczak, J.K.; Lis, T.M.; Gubarev, M.V.; O’Dell, S.L.; Gaskin, J.A.; Broadway, D.M. Progress in differential deposition for improving the figures of full-shell astronomical grazing incidence X-ray optics. In Optics for Euv, X-ray, and Gamma-Ray Astronomy Vii; SPIE: Bellingham, WA, USA, 2015; Volume 9603, p. 96031F. [Google Scholar]
- Morawe, C.; Bras, P.; Labouré, S.; Perrin, F.; Vivo, A. Mirror figure correction on variable length scales. Int. Soc. Opt. Photonics 2021, 11837, 118370C. [Google Scholar]
- Kim, J.; Kim, J.S.; Kim, H.Y.; Ryu, C.K.; Jeong, D.; Chae, B.; Lim, J.; Kim, J.H.; Rah, S. Development of a one-dimensional differential deposition system for X-ray mirror figure correction. Precis Eng. 2021, 71, 1–6. [Google Scholar] [CrossRef]
- Huang, H.; Jiang, L.; Yao, Y.; Zhang, Z.; Wang, Z.; Qi, R. Controlling Film Thickness Distribution by Magnetron Sputtering with Rotation and Revolution. Coatings 2021, 11, 599. [Google Scholar] [CrossRef]
- Shi, Y.; Qi, R.; Feng, Y.; Huang, Q.; Shen, Z.; Wang, Z. Microstructure, roughness, and stress properties of silicon coatings for shape correction of Kirkpatrick–Baez mirrors. Opt. Eng. 2019, 58, 015103. [Google Scholar] [CrossRef]
- Benediktovitch, A.; Feranchuk, I.; Ulyanenkov, A. X-ray Reflectivity. In Theoretical Concepts of X-ray Nanoscale Analysis; Springer: Berlin/Heidelberg, Germany, 2014; pp. 71–118. [Google Scholar]
- Wormington, M.; Panaccione, C.; Matney, K.M.; Bowen, D.K. Characterization of structures from X-ray scattering data using genetic algorithms. Philosophical Transactions of the Royal Society of London Series A: Mathematical. Phys. Eng. Sci. 1999, 357, 2827–2848. [Google Scholar] [CrossRef]
- Reimer, L. Transmission Electron Microscopy: Physics of Image Formation and Microanalysis; Springer: Berlin/Heidelberg, Germany, 2013. [Google Scholar]
- Freund, L.B.; Suresh, S. Thin Film Materials: Stress, Defect Formation and Surface Evolution; Cambridge University Press: Cambridge, UK, 2004. [Google Scholar]
- Nadimpalli, S.P.; Sethuraman, V.A.; Bucci, G.; Srinivasan, V.; Bower, A.F.; Guduru, P.R. On plastic deformation and fracture in Si films during electrochemical lithiation/delithiation cycling. J. Electrochem. Soc. 2013, 160, A1885. [Google Scholar] [CrossRef]
- Yu, B.; Jin, C.; Yao, S.; Li, C.; Liu, Y.; Zhou, F.; Guo, B.; Wang, H.; Xie, Y.; Wang, L. Low-stress and high-reflectance Mo/Si multilayers for extreme ultraviolet lithography by magnetron sputtering deposition with bias assistance. Appl. Opt. 2017, 56, 7462–7468. [Google Scholar] [CrossRef] [PubMed]



















| Background Pressure | Working Gas | Working Pressure | Target Material | Sputtering Power | Target–Substrate Distance |
|---|---|---|---|---|---|
| 1.5 × 10−6 Torr | 99.999% Ar | 1 mTorr | Si | 300 W | 115 mm |
Publisher’s Note: MDPI stays neutral with regard to jurisdictional claims in published maps and institutional affiliations. |
© 2022 by the authors. Licensee MDPI, Basel, Switzerland. This article is an open access article distributed under the terms and conditions of the Creative Commons Attribution (CC BY) license (https://creativecommons.org/licenses/by/4.0/).
Share and Cite
Huang, H.; Feng, Y.; Yu, J.; Qi, R.; Wang, Z. The Fabrication of a High-Precision Rotational Symmetric Hyperboloid Mirror by Magnetron Sputtering with Film Thickness Correction. Coatings 2022, 12, 1055. https://doi.org/10.3390/coatings12081055
Huang H, Feng Y, Yu J, Qi R, Wang Z. The Fabrication of a High-Precision Rotational Symmetric Hyperboloid Mirror by Magnetron Sputtering with Film Thickness Correction. Coatings. 2022; 12(8):1055. https://doi.org/10.3390/coatings12081055
Chicago/Turabian StyleHuang, Handan, Yufei Feng, Jun Yu, Runze Qi, and Zhanshan Wang. 2022. "The Fabrication of a High-Precision Rotational Symmetric Hyperboloid Mirror by Magnetron Sputtering with Film Thickness Correction" Coatings 12, no. 8: 1055. https://doi.org/10.3390/coatings12081055
APA StyleHuang, H., Feng, Y., Yu, J., Qi, R., & Wang, Z. (2022). The Fabrication of a High-Precision Rotational Symmetric Hyperboloid Mirror by Magnetron Sputtering with Film Thickness Correction. Coatings, 12(8), 1055. https://doi.org/10.3390/coatings12081055
