Mechanical Properties and Thermal Stability of CrZrN/CrZrSiN Multilayer Coatings with Different Bilayer Periods
Abstract
:1. Introduction
2. Experimental Details
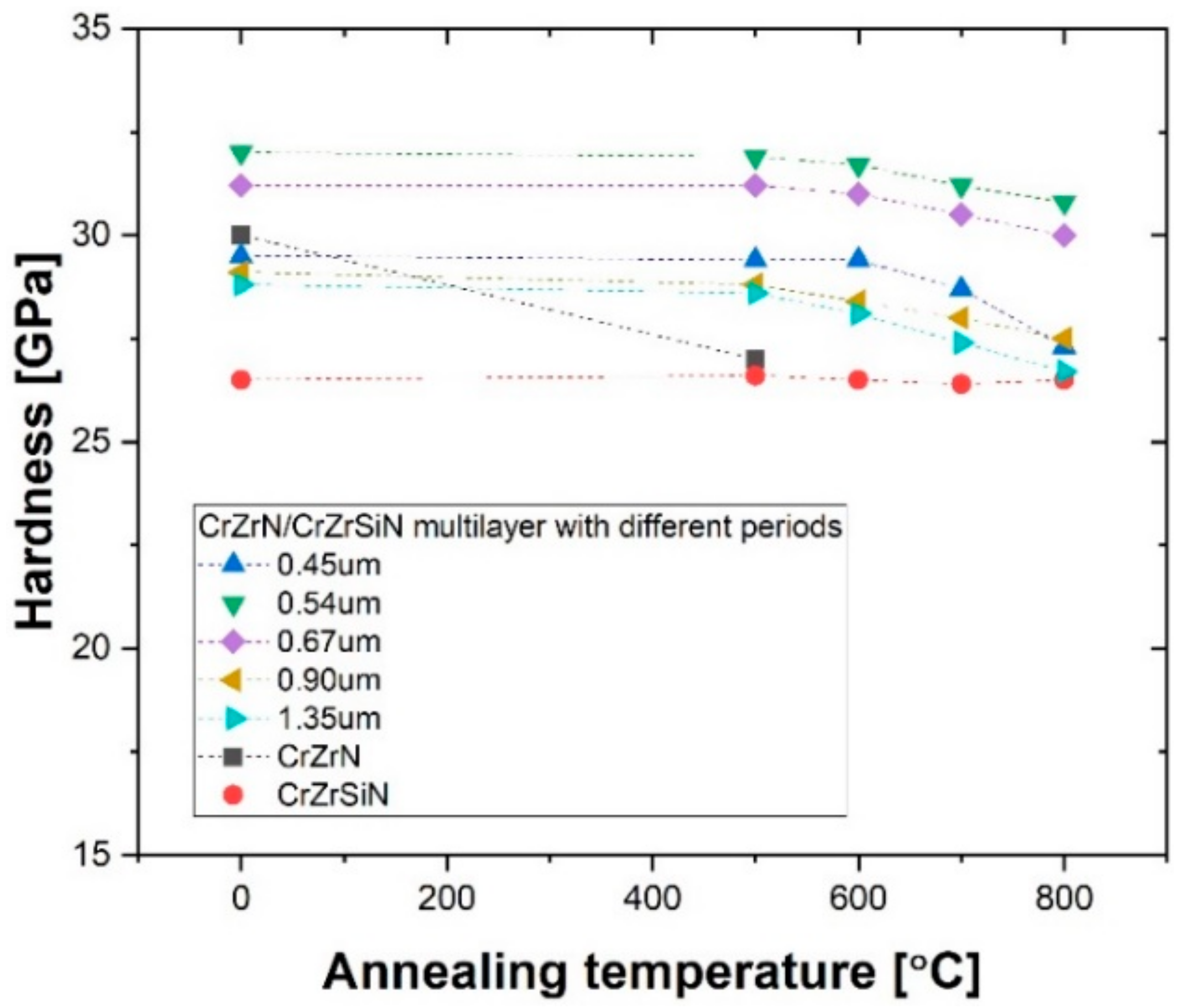
3. Results and Discussion
4. Conclusions
Author Contributions
Funding
Institutional Review Board Statement
Informed Consent Statement
Data Availability Statement
Conflicts of Interest
References
- Chen, L.; Paulitsch, J.; Du, Y.; Mayrhofer, P.H. Thermal Stability and Oxidation Resistance of Ti-Al-N Coatings. Surf. Coat. Technol. 2012, 206, 2954–2960. [Google Scholar] [CrossRef] [Green Version]
- Wang, S.; Ji, W.; Wang, Y.; Wei, J.; Qiu, L.; Chen, C.; Jiang, X.; Ran, Q.; Han, R. Comparative Study of Corrosion Behavior of LPCVD-Ti0.17Al0.83N and PVD-Ti1−xAlxN Coatings. Coatings 2022, 12, 835. [Google Scholar] [CrossRef]
- Tung, H.M.; Wu, P.H.; Yu, G.P.; Huang, J.H. Microstructures, Mechanical Properties and Oxidation Behavior of Vacuum Annealed TiZrN Thin Films. Vacuum 2015, 115, 12–18. [Google Scholar] [CrossRef]
- Volosova, M.; Grigoriev, S.; Metel, A.; Shein, A. The Role of Thin-Film Vacuum-Plasma Coatings and Their Influence on the Efficiency of Ceramic Cutting Inserts. Coatings 2018, 8, 287. [Google Scholar] [CrossRef] [Green Version]
- Lomello, F.; Sanchette, F.; Schuster, F.; Tabarant, M.; Billard, A. Influence of Bias Voltage on Properties of AlCrN Coatings Prepared by Cathodic Arc Deposition. Surf. Coat. Technol. 2013, 224, 77–81. [Google Scholar] [CrossRef]
- Warcholinski, B.; Gilewicz, A.; Myslinski, P.; Dobruchowska, E.; Murzynski, D. Structure and Properties of AlCrN Coatings Deposited Using Cathodic Arc Evaporation. Coatings 2020, 10, 793. [Google Scholar] [CrossRef]
- Kim, S.M.; Kim, B.S.; Kim, G.S.; Lee, S.Y.; Lee, B.Y. Evaluation of the High Temperature Characteristics of the CrZrN Coatings. Surf. Coat. Technol. 2008, 202, 5521–5525. [Google Scholar] [CrossRef]
- Kim, G.S.; Kim, B.S.; Lee, S.Y.; Hahn, J.H. Structure and Mechanical Properties of Cr-Zr-N Films Synthesized by Closed Field Unbalanced Magnetron Sputtering with Vertical Magnetron Sources. Surf. Coat. Technol. 2005, 200, 1669–1675. [Google Scholar] [CrossRef]
- Lin, J.; Wang, B.; Ou, Y.; Sproul, W.D.; Dahan, I.; Moore, J.J. Structure and Properties of CrSiN Nanocomposite Coatings Deposited by Hybrid Modulated Pulsed Power and Pulsed Dc Magnetron Sputtering. Surf. Coat. Technol. 2013, 216, 251–258. [Google Scholar] [CrossRef]
- Diserens, M.; Patscheider, J.; Lévy, F. Mechanical Properties and Oxidation Resistance of Nanocomposite TiN-SiNx Physical-Vapor-Deposited Thin Films. Surf. Coat. Technol. 1999, 120–121, 158–165. [Google Scholar] [CrossRef]
- Mae, T.; Nose, M.; Zhou, M.; Nagae, T.; Shimamura, K. The Effects of Si Addition on the Structure and Mechanical Properties of ZrN Thin Films Deposited by an r.f. Reactive Sputtering Method. Surf. Coat. Technol. 2001, 142–144, 954–958. [Google Scholar] [CrossRef]
- Xiang, Y.; Zou, C. Effect of Arc Currents on the Mechanical, High Temperature Oxidation and Corrosion Properties of CrSiN Nanocomposite Coatings. Coatings 2022, 12, 40. [Google Scholar] [CrossRef]
- Liu, Y.; Wang, T.G.; Lin, W.; Zhu, Q.; Yan, B.; Hou, X. Microstructure and Properties of the AlCrSi(O)N Tool Coatings by Arc Ion Plating. Coatings 2020, 10, 841. [Google Scholar] [CrossRef]
- Chang, L.C.; Zheng, Y.Z.; Chen, Y.I. Mechanical Properties of Zr-Si-N Films Fabricated through HiPIMS/RFMS Co-Sputtering. Coatings 2018, 8, 263. [Google Scholar] [CrossRef] [Green Version]
- Barshilia, H.C.; Deepthi, B.; Rajam, K.S. Deposition and Characterization of CrN/Si3N4 and CrAlN/Si3N4 Nanocomposite Coatings Prepared Using Reactive DC Unbalanced Magnetron Sputtering. Surf. Coat. Technol. 2007, 201, 9468–9475. [Google Scholar] [CrossRef]
- Araujo, J.A.; Araujo, G.M.; Souza, R.M.; Tschiptschin, A.P. Effect of Periodicity on Hardness and Scratch Resistance of CrN/NbN Nanoscale Multilayer Coating Deposited by Cathodic Arc Technique. Wear 2015, 330–331, 469–477. [Google Scholar] [CrossRef]
- Al-Bukhaiti, M.A.; Al-Hatab, K.A.; Tillmann, W.; Hoffmann, F.; Sprute, T. Tribological and Mechanical Properties of Ti/TiAlN/TiAlCN Nanoscale Multilayer PVD Coatings Deposited on AISI H11 Hot Work Tool Steel. Appl. Surf. Sci. 2014, 318, 180–190. [Google Scholar] [CrossRef]
- Bao, M.; Xu, X.; Zhang, H.; Liu, X.; Tian, L.; Zeng, Z.; Song, Y. Tribological Behavior at Elevated Temperature of Multilayer TiCN/TiC/TiN Hard Coatings Produced by Chemical Vapor Deposition. Thin Solid Film. 2011, 520, 833–836. [Google Scholar] [CrossRef]
- Ding, X.Z.; Zeng, X.T.; Liu, Y.C. Structure and Properties of CrAlSiN Nanocomposite Coatings Deposited by Lateral Rotating Cathod Arc. Thin Solid Film. 2011, 519, 1894–1900. [Google Scholar] [CrossRef]
- Kim, S.-M.; Kim, G.-S.; Lee, S.-Y.; Lee, J.-W.; Lee, J.-Y.; Lee, B.-Y. Mechanical Properties and Thermal Stability of CrSiN/AlN Multilayer Coatings Using a Closed-Field Unbalanced Magnetron Sputtering System. J. Korean Phys. Soc. 2009, 54, 1109–1114. [Google Scholar] [CrossRef]
- Kim, S.; Kim, E.; Kim, D.; La, J.; Lee, S. Effects of Bilayer Period on the Microhardness and Its Strengthening Mechanism of CrN/AlN Superlattice Coatings. J. Korean Inst. Surf. Eng. 2012, 45, 257–263. [Google Scholar] [CrossRef] [Green Version]
- Bartsch, H.; Grieseler, R.; Mánuel, J.; Pezoldt, J.; Müller, J. Magnetron Sputtered AlN Layers on LTCC Multilayer and Silicon Substrates. Coatings 2018, 8, 289. [Google Scholar] [CrossRef] [Green Version]
- Zhou, S.Y.; Yan, S.J.; Han, B.; Yang, B.; Lin, B.Z.; Zhang, Z.D.; Ai, Z.W.; Pelenovich, V.O.; Fu, D.J. Influence of Modulation Period and Modulation Ratio on Structure and Mechanical Properties of TiBN/CrN Coatings Deposited by Multi-Arc Ion Plating. Appl. Surf. Sci. 2015, 351, 1116–1121. [Google Scholar] [CrossRef]
- Chang, Y.Y.; Wu, C.J. Mechanical Properties and Impact Resistance of Multilayered TiAlN/ZrN Coatings. Surf. Coat. Technol. 2013, 231, 62–66. [Google Scholar] [CrossRef]
- Kim, D.J.; La, J.H.; Kim, K.S.; Kim, S.M.; Lee, S.Y. Tribological Properties of CrZr-Si-N Films Synthesized Using Cr-Zr-Si Segment Targets. Surf. Coat. Technol. 2014, 259, 71–76. [Google Scholar] [CrossRef]
- Kim, Y.S.; Kim, G.S.; Lee, S.Y. Thermal Stability and Electrochemical Properties of CrZr-Si-N Films Synthesized by Closed Field Unbalanced Magnetron Sputtering. Surf. Coat. Technol. 2009, 204, 978–982. [Google Scholar] [CrossRef]
- Klemm, S.O.; Schauer, J.C.; Schuhmacher, B.; Hassel, A.W. High Throughput Electrochemical Screening and Dissolution Monitoring of Mg-Zn Material Libraries. Electrochim. Acta 2011, 56, 9627–9636. [Google Scholar] [CrossRef]
- Kim, H.K.; La, J.H.; Kim, K.S.; Lee, S.Y. The Effects of the H/E Ratio of Various Cr-N Interlayers on the Adhesion Strength of CrZrN Coatings on Tungsten Carbide Substrates. Surf. Coat. Technol. 2015, 284, 230–234. [Google Scholar] [CrossRef]
- Kot, M.; Rakowski, W.A.; Major, R.; Morgiel, J. Effect of Bilayer Period on Properties of Cr/CrN Multilayer Coatings Produced by Laser Ablation. Surf. Coat. Technol. 2008, 202, 3501–3506. [Google Scholar] [CrossRef]
- Guo, J.; Wang, H.; Meng, F.; Liu, X.; Huang, F. Tuning the H/E* Ratio and E* of AlN Coatings by Copper Addition. Surf. Coat. Technol. 2013, 228, 68–75. [Google Scholar] [CrossRef]
- Leyland, A.; Matthews, A. On the Significance of the H/E Ratio in Wear Control: A Nanocomposite Coating Approach to Optimised Tribological Behaviour. Wear 2000, 246, 1–11. [Google Scholar] [CrossRef]
- Bull, S.J.; Rickerby, D.S.; Matthews, A.; Leyland, A.; Pace, A.R.; Valli, J. The Use of Scratch Adhesion Testing for the Determination of Interfacial Adhesion: The Importance of Frictional Drag. Surf. Coat. Technol. 1988, 36, 503–517. [Google Scholar] [CrossRef]
- Valli, J.; Mäkelä, U.; Matthews, A.; Murawa, V. TiN Coating Adhesion Studies Using the Scratch Test Method. J. Vac. Sci. Technol. A Vac. Surf. Film. 1985, 3, 2411–2414. [Google Scholar] [CrossRef]
- Bull, S.J. Failure Modes in Scratch Adhesion Testing. Surf. Coat. Technol. 1991, 50, 25–32. [Google Scholar] [CrossRef]
- Bai, W.Q.; Cai, J.B.; Wang, X.L.; Wang, D.H.; Gu, C.D.; Tu, J.P. Mechanical and Tribological Properties of A-C/a-C:Ti Multilayer Films with Various Bilayer Periods. Thin Solid Film. 2014, 558, 176–183. [Google Scholar] [CrossRef]
- Voevodin, A.A.; Capano, M.A.; Laube, S.J.P.; Donley, M.S.; Zabinski, J.S. Design of a Ti/TiC/DLC Functionally Gradient Coating Based on Studies of Structural Transitions in Ti-C Thin Films. Thin Solid Film. 1997, 298, 107–115. [Google Scholar] [CrossRef]
- Holleck, H.; Schier, V. Multilayer PVD Coatings for Wear Protection. Surf. Coat. Technol. 1995, 76–77, 328–336. [Google Scholar] [CrossRef]
- Kuo, Y.L.; Kencana, S.D. Mechanism of Oxygen Ion Diffusion in Gd-Doped Ceria Electrolyte Films Deposited via Reactive and Direct Sputtering. Surf. Coat. Technol. 2017, 320, 47–52. [Google Scholar] [CrossRef]







| Parameters | CrN | CrZrN | CrZrSiN |
|---|---|---|---|
| Base pressure (Pa) | 2.8 × 10−3 | 2.8 × 10−3 | 2.8 × 10−3 |
| Working pressure (Pa) | 4.2 × 10−1 | 6.0 × 10−1 | 6.0 × 10−1 |
| Ar gas flow (sccm) | 6 | 15 | 15 |
| N2 gas flow (sccm) | 10 | 8 | 10 |
| Target current (A) | Cr 1.8 | Cr 1.2/Zr 1.8 | Cr 1.2/Zr 1.6/Si 0.6 |
| Layer | Composition (at.%) | Hardness (GPa) | Elastic Modulus (GPa) | H/E Ratio |
|---|---|---|---|---|
| WC substrate | - | 19.7 ± 1.6 | 510.6 ± 8.4 | 0.045 |
| CrN | 48Cr-52N | 23.3 ± 1.8 | 305.6 ± 10.2 | 0.071 |
| CrZrN | 32Cr-16Zr-52N | 32.1 ± 1.5 | 269.3 ± 8.7 | 0.113 |
| CrZrSiN | 21Cr-9Zr-17Si-53N | 25.4 ± 1.9 | 191.5 ± 9.5 | 0.138 |
| Bilayer Periods (μm) | Hardness (GPa) | Elastic Modulus (GPa) | H/E Ratio | Critical Load (Lc2) (N) |
|---|---|---|---|---|
| 1.35 | 28.4 ± 2.1 | 255.5 ± 7.2 | 0.110 | 44 |
| 0.90 | 29.2 ± 1.7 | 256.7 ± 6.7 | 0.115 | 60 |
| 0.67 | 31.1 ± 2.2 | 263.4 ± 8.2 | 0.118 | 67 |
| 0.54 | 33.0 ± 2.0 | 265.1 ± 7.8 | 0.121 | 75 |
| 0.45 | 29.8 ± 1.9 | 258.8 ± 7.3 | 0.115 | 79 |
Publisher’s Note: MDPI stays neutral with regard to jurisdictional claims in published maps and institutional affiliations. |
© 2022 by the authors. Licensee MDPI, Basel, Switzerland. This article is an open access article distributed under the terms and conditions of the Creative Commons Attribution (CC BY) license (https://creativecommons.org/licenses/by/4.0/).
Share and Cite
Kim, H.-K.; Kim, S.-M.; Lee, S.-Y. Mechanical Properties and Thermal Stability of CrZrN/CrZrSiN Multilayer Coatings with Different Bilayer Periods. Coatings 2022, 12, 1025. https://doi.org/10.3390/coatings12071025
Kim H-K, Kim S-M, Lee S-Y. Mechanical Properties and Thermal Stability of CrZrN/CrZrSiN Multilayer Coatings with Different Bilayer Periods. Coatings. 2022; 12(7):1025. https://doi.org/10.3390/coatings12071025
Chicago/Turabian StyleKim, Hoe-Kun, Sung-Min Kim, and Sang-Yul Lee. 2022. "Mechanical Properties and Thermal Stability of CrZrN/CrZrSiN Multilayer Coatings with Different Bilayer Periods" Coatings 12, no. 7: 1025. https://doi.org/10.3390/coatings12071025
APA StyleKim, H.-K., Kim, S.-M., & Lee, S.-Y. (2022). Mechanical Properties and Thermal Stability of CrZrN/CrZrSiN Multilayer Coatings with Different Bilayer Periods. Coatings, 12(7), 1025. https://doi.org/10.3390/coatings12071025

