λ/4–λ/4 Double-Layer Broadband Antireflective Coatings with Constant High Transmittance
Abstract
:1. Introduction
2. Experimental Section
2.1. Preparation of Acid-Catalyzed Silica Sol
2.2. Preparation of Base-Catalyzed Silica Sol
2.3. Preparation of Films
2.4. Characterization of Double-Layer Coatings
3. Results and Discussion
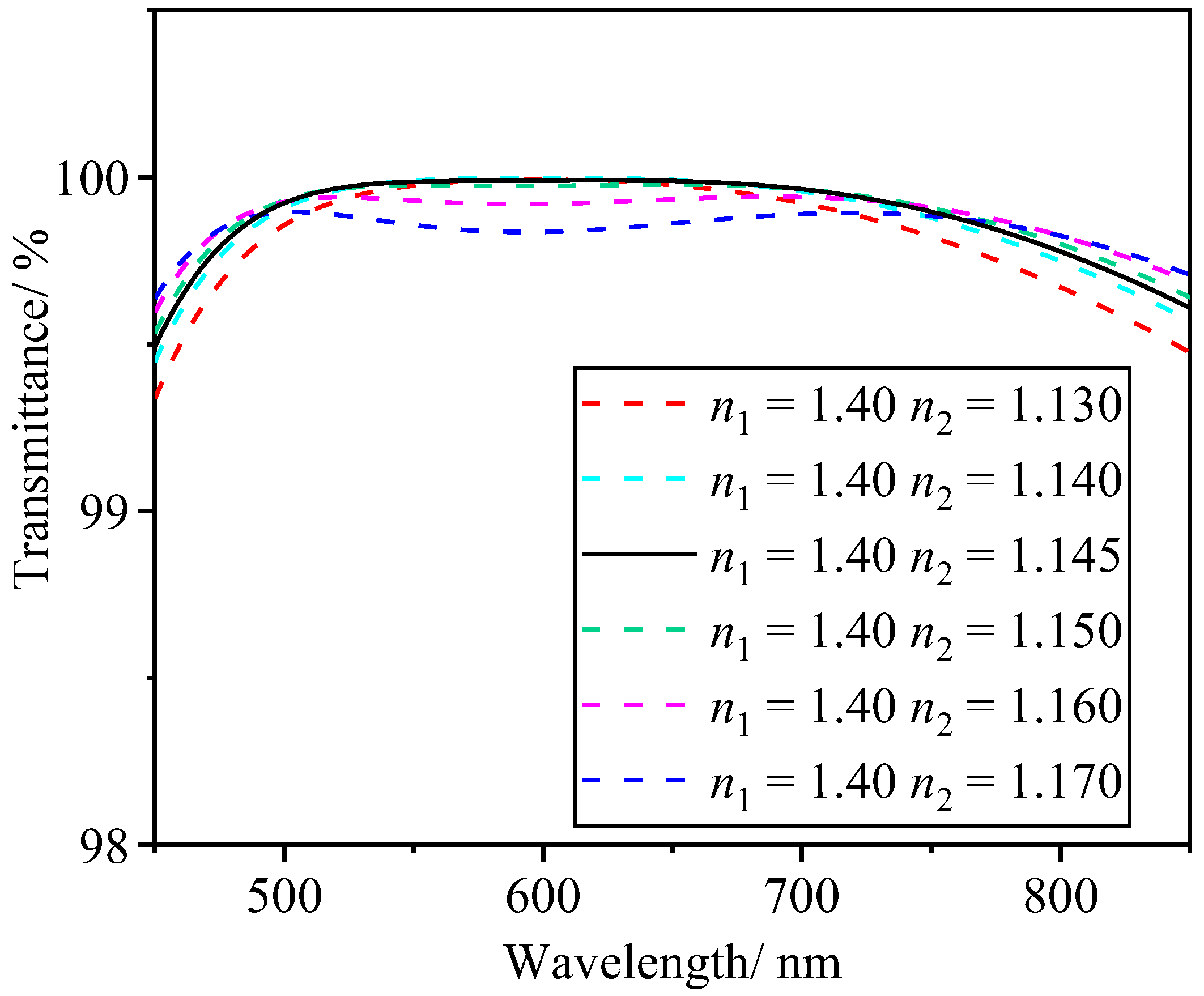
3.1. Design of Broadband ARCs with Constant High Transmittance
3.2. Preparation of Bottom Layer and Top Layer
3.3. Optical Performance of the Double-Layer ARC
3.4. Stability of Double-Layer ARC
4. Conclusions
Author Contributions
Funding
Institutional Review Board Statement
Informed Consent Statement
Data Availability Statement
Conflicts of Interest
References
- Chopra, K.L.; Paulson, P.D.; Dutta, V. Thin-film solar cells: An overview. Prog. Photovolt. 2004, 12, 69–92. [Google Scholar] [CrossRef]
- Yao, L.; Qu, Z.; Pang, Z.L.; Li, J.; Tang, S.Y.; He, J.H.; Feng, L.L. Three-Layered Hollow Nanospheres Based Coatings with Ultrahigh-Performance of Energy-Saving, Antireflection, and Self-Cleaning for Smart Windows. Small 2018, 14, 1801661. [Google Scholar] [CrossRef]
- Agustin-Saenz, C.; Machado, M.; Tercjak, A. Antireflective mesoporous silica coatings by optimization of water content in acid-catalyzed sol-gel method for application in glass covers of concentrated photovoltaic modules. J. Colloid Interface Sci. 2019, 534, 370–380. [Google Scholar] [CrossRef] [PubMed]
- Cui, X.M.; Ding, R.M.; Wang, M.C.; Zhang, C.; Zhang, C.; Zhang, J.; Xu, Y. In Situ Surface Assembly Derived Ultralow Refractive Index MgF2-SiO2 Hybrid Film for Tri-Layer Broadband Antireflective Coating. Adv. Opt. Mater. 2016, 4, 722–730. [Google Scholar] [CrossRef]
- Xing, Z.; Tay, S.W.; Ng, Y.H.; Hong, L. Porous SiO2 Hollow Spheres as a Solar Reflective Pigment for Coatings. ACS Appl. Mater. Interfaces 2017, 9, 15103–15113. [Google Scholar] [CrossRef]
- Wang, X.D.; Zhao, H.Y.; Cao, Y.Y.; Niu, Y.Y.; Shen, J. Sol-Gel Preparation of Laser Damage Resistant and Moisture-Proof Antireflective Coatings for KDP Crystals. Langmuir 2018, 34, 10262–10269. [Google Scholar] [CrossRef]
- Zhao, H.Y.; Wang, X.D.; Feng, J.B.; Liu, Y.; Huang, J.C.; Shen, J. Environmental Stable SiO2 Antireflective Coating Modified via NH3/HTMS Vapor Phase Treatment. J. Inorg. Mater. 2018, 33, 1219–1224. [Google Scholar] [CrossRef]
- Zhang, Y.L.; Zhang, X.X.; Ye, H.P.; Yan, L.H.; Jiang, B. Design, Preparation and Modification of Third-Harmonic Silica Antireflective Coatings with Different Thickness. Chin. J. Inorg. Chem. 2012, 28, 119–124. [Google Scholar]
- Zhang, S.; Xiao, P.; Wang, P.; Luo, J.; Jiang, B. Spherical-chain silica with super-hydrophobic surface and ultra-low refractive index for multi-functional broadband antireflective coatings. Sol. Energy 2020, 207, 1222–1230. [Google Scholar] [CrossRef]
- Li, Y.-Y.; Jiang, B. lambda/4-lambda/2 Double-layer Broadband Antireflective Coatings with Superhydrophilicity and Photocatalysis. J. Inorg. Mater. 2019, 34, 159–163. [Google Scholar] [CrossRef]
- Li, Y.Y.; Yang, K.; Xia, B.B.; Yang, B.W.; Yan, L.H.; He, M.Y.; Yan, H.W.; Jiang, B. Preparation of mechanically stable triple-layer interference broadband antireflective coatings with self-cleaning property by sol-gel technique. RSC Adv. 2017, 7, 14660–14668. [Google Scholar] [CrossRef] [Green Version]
- Chuang, R.W.; Fu, K.L.; Zheng, Z.Y. The integrated vertically-coupled resistive random-access memory (ReRAM) based microdisk resonator and the relevant performance evaluation. In Proceedings of the Conference on Integrated Optics—Devices, Materials, and Technologies XXIV, Pl of SPIE OPTO Conference, San Francisco, CA, USA, 3–6 February 2020. [Google Scholar]
- Mansano, R.D.; Ruas, R.; Mousinho, A.P.; Zambom, L.S.; Pinto, T.; Amoedo, L.H.; Massi, M. Use of diamond-like carbon with tungsten (W-DLC) films as biocompatible material. Surf. Coat. Technol. 2008, 202, 2813–2816. [Google Scholar] [CrossRef]
- Zhu, B.Q.; Tao, H.Z.; Zhao, X.J. Effect of buffer layer on thermochromic performances of VO2 films fabricated by magnetron sputtering. Infrared Phys. Technol. 2016, 75, 22–25. [Google Scholar] [CrossRef] [Green Version]
- Fahland, M.; Kirchhoff, V.; Schiller, N.; Schiller, S. High rate deposition of oxide layers by pulsed magnetron sputtering (PMS) for display manufacturing. ITG-Fachber 1998, 150, 179–183. [Google Scholar]
- Lee, J.H.; Eun, J.H.; Park, S.Y.; Kim, S.G.; Kim, H.J. Hydration of r.f. magnetron sputtered MgO thin films for a protective layer in AC plasma display panel. Thin Solid Film. 2003, 435, 95–101. [Google Scholar] [CrossRef]
- Kim, J.Y.; Kim, E.R.; Han, Y.K.; Nam, K.H.; Ihm, D.W. Highly transparent tin oxide films prepared by DC magnetron sputtering and its liquid crystal display application. Jpn. J. Appl. Phys. Part 1 Regul. Pap. Short Notes Rev. Pap. 2002, 41, 237–240. [Google Scholar] [CrossRef]
- Helmersson, U.; Lattemann, M.; Bohlmark, J.; Ehiasarian, A.P.; Gudmundsson, J.T. Ionized physical vapor deposition (IPVD): A review of technology and applications. Thin Solid Film. 2006, 513, 1–24. [Google Scholar] [CrossRef] [Green Version]
- Choy, K.L. Chemical vapour deposition of coatings. Prog. Mater. Sci. 2003, 48, 57–170. [Google Scholar] [CrossRef]
- Li, Y.; Lv, H.; Ye, L.; Yan, L.; Zhang, Y.; Xia, B.; Yan, H.; Jiang, B. Preparation of porous silica films in a binary template system for double-layer broadband antireflective coatings. RSC Adv. 2015, 5, 20365–20370. [Google Scholar] [CrossRef]
- Tang, X.N.; Yan, X. Dip-coating for fibrous materials: Mechanism, methods and applications. J. Sol-Gel Sci. Technol. 2017, 81, 378–404. [Google Scholar] [CrossRef]
- Zhang, S.; Zhao, X.; Wang, P.; Xiao, P.; Luo, J.; Jiang, B. Preparation of superhydrophilic silicate coating by sol-gel for double-wavelength broadband antireflective coatings. J. Sol-Gel Sci. Technol. 2019, 92, 598–606. [Google Scholar] [CrossRef]
- Meakin, P.; Jullien, R. The effects of restructuring on the geometry of clusters formed by diffusion-limited, ballistic, and reaction-limited cluster cluster aggregation. J. Chem. Phys. 1988, 89, 246–250. [Google Scholar] [CrossRef]
- Yang, J.; Chen, J.R.; Yu, R. Surface wettability and vapour stability of silica membranes modified by sol-gel method. J. Inorg. Mater. 2008, 23, 739–744. [Google Scholar] [CrossRef]
- Qu, L.; Rahimi, S.; Qian, J.; He, L.; He, Z.; Yi, S. Preparation and characterization of hydrophobic coatings on wood surfaces by a sol-gel method and post-aging heat treatment. Polym. Degrad. Stab. 2021, 183, 109429. [Google Scholar] [CrossRef]
- Vidal, K.; Gomez, E.; Martinez Goitandia, A.; Angulo-Ibanez, A.; Aranzabe, E. The Synthesis of a Superhydrophobic and Thermal Stable Silica Coating via Sol-Gel Process. Coatings 2019, 9, 627. [Google Scholar] [CrossRef] [Green Version]
- Nayar, S.K.; Ikeuchi, K.; Kanade, T. Surface reflection—Physical and geometrical perspectives. IEEE Trans. Pattern Anal. Mach. Intell. 1991, 13, 611–634. [Google Scholar] [CrossRef] [Green Version]








Publisher’s Note: MDPI stays neutral with regard to jurisdictional claims in published maps and institutional affiliations. |
© 2022 by the authors. Licensee MDPI, Basel, Switzerland. This article is an open access article distributed under the terms and conditions of the Creative Commons Attribution (CC BY) license (https://creativecommons.org/licenses/by/4.0/).
Share and Cite
Liu, H.; Wang, P.; Fan, Q.; Luo, J.; Xiao, P.; Jiang, B. λ/4–λ/4 Double-Layer Broadband Antireflective Coatings with Constant High Transmittance. Coatings 2022, 12, 435. https://doi.org/10.3390/coatings12040435
Liu H, Wang P, Fan Q, Luo J, Xiao P, Jiang B. λ/4–λ/4 Double-Layer Broadband Antireflective Coatings with Constant High Transmittance. Coatings. 2022; 12(4):435. https://doi.org/10.3390/coatings12040435
Chicago/Turabian StyleLiu, Hanxi, Pingmei Wang, Qianyang Fan, Jianhui Luo, Peiwen Xiao, and Bo Jiang. 2022. "λ/4–λ/4 Double-Layer Broadband Antireflective Coatings with Constant High Transmittance" Coatings 12, no. 4: 435. https://doi.org/10.3390/coatings12040435
APA StyleLiu, H., Wang, P., Fan, Q., Luo, J., Xiao, P., & Jiang, B. (2022). λ/4–λ/4 Double-Layer Broadband Antireflective Coatings with Constant High Transmittance. Coatings, 12(4), 435. https://doi.org/10.3390/coatings12040435
